Value of ACEF-II Score in Predicting Major Adverse Cardiac Events in Patients With Non-ST-Segment Elevation Myocardial Infarction and Unstable Angina.

IF 0.9 4区 医学
Texas Heart Institute Journal Pub Date : 2024-12-11 eCollection Date: 2024-07-01 DOI:10.14503/THIJ-23-8310
Burak Ayça, Yasin Yüksel, Cennet Yildiz
{"title":"Value of ACEF-II Score in Predicting Major Adverse Cardiac Events in Patients With Non-ST-Segment Elevation Myocardial Infarction and Unstable Angina.","authors":"Burak Ayça, Yasin Yüksel, Cennet Yildiz","doi":"10.14503/THIJ-23-8310","DOIUrl":null,"url":null,"abstract":"<p><strong>Background: </strong>A score based on age, creatinine level, and ejection fraction as well as hematocrit value and the presence of emergency surgery (ACEF-II) has been proposed to have predictive value for risk stratification in cardiac surgery. This study aimed to evaluate its utility in patients with non-ST-segment elevation myocardial infarction and unstable angina (NSTEMI-ACS) to predict 1-year major adverse cardiac events (MACE).</p><p><strong>Methods: </strong>In all, 768 patients with NSTEMI-ACS were enrolled in the study. After propensity score matching, the MACE and control groups comprised 168 patients each. Blood samples were drawn from patients during emergency department admission and hospitalization. The Global Registry of Acute Coronary Events, Acute Coronary Treatment and Intervention Outcome Network Intensive Care Unit risk, ACEF, and ACEF-II scores of each patient were evaluated.</p><p><strong>Results: </strong>Mean (SD) age of the study population was 63.07 (12.39) years; 547 (71.2%) patients were male. After propensity score matching for 7 variables, a comparison of the matched groups revealed that patients with MACE had higher heart rates and rates of ST-segment deviation, cardiac arrest, and creatinine levels and lower left ventricular ejection fraction and albumin, hemoglobin, hematocrit, systolic blood pressure, and oxygen saturation values. Multivariate logistic regression analysis revealed that ACEF-II score had the highest odds ratio of the evaluated scores, at 1.41 (95% CI, 1.12-1.81; <i>P</i> = .005). The ACEF score did not reach statistical significance for the prediction of 1-year MACE according to multivariate analysis. In addition to type of risk score, left ventricular ejection fraction and heart rate had predictive value for 1-year MACE. An ACEF-II score cutoff of 1.82 predicted 1-year MACE, with a sensitivity of 61.2% and a specificity of 76.2%.</p><p><strong>Conclusion: </strong>ACEF-II score, which is easy to calculate, could be used to predict 1-year MACE in patients with NSTEMI-ACS.</p>","PeriodicalId":48680,"journal":{"name":"Texas Heart Institute Journal","volume":"51 2","pages":"e238310"},"PeriodicalIF":0.9000,"publicationDate":"2024-12-11","publicationTypes":"Journal Article","fieldsOfStudy":null,"isOpenAccess":false,"openAccessPdf":"https://www.ncbi.nlm.nih.gov/pmc/articles/PMC11638473/pdf/","citationCount":"0","resultStr":null,"platform":"Semanticscholar","paperid":null,"PeriodicalName":"Texas Heart Institute Journal","FirstCategoryId":"3","ListUrlMain":"https://doi.org/10.14503/THIJ-23-8310","RegionNum":4,"RegionCategory":"医学","ArticlePicture":[],"TitleCN":null,"AbstractTextCN":null,"PMCID":null,"EPubDate":"2024/7/1 0:00:00","PubModel":"eCollection","JCR":"","JCRName":"","Score":null,"Total":0}
引用次数: 0

Abstract

Background: A score based on age, creatinine level, and ejection fraction as well as hematocrit value and the presence of emergency surgery (ACEF-II) has been proposed to have predictive value for risk stratification in cardiac surgery. This study aimed to evaluate its utility in patients with non-ST-segment elevation myocardial infarction and unstable angina (NSTEMI-ACS) to predict 1-year major adverse cardiac events (MACE).

Methods: In all, 768 patients with NSTEMI-ACS were enrolled in the study. After propensity score matching, the MACE and control groups comprised 168 patients each. Blood samples were drawn from patients during emergency department admission and hospitalization. The Global Registry of Acute Coronary Events, Acute Coronary Treatment and Intervention Outcome Network Intensive Care Unit risk, ACEF, and ACEF-II scores of each patient were evaluated.

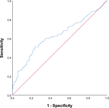
Results: Mean (SD) age of the study population was 63.07 (12.39) years; 547 (71.2%) patients were male. After propensity score matching for 7 variables, a comparison of the matched groups revealed that patients with MACE had higher heart rates and rates of ST-segment deviation, cardiac arrest, and creatinine levels and lower left ventricular ejection fraction and albumin, hemoglobin, hematocrit, systolic blood pressure, and oxygen saturation values. Multivariate logistic regression analysis revealed that ACEF-II score had the highest odds ratio of the evaluated scores, at 1.41 (95% CI, 1.12-1.81; P = .005). The ACEF score did not reach statistical significance for the prediction of 1-year MACE according to multivariate analysis. In addition to type of risk score, left ventricular ejection fraction and heart rate had predictive value for 1-year MACE. An ACEF-II score cutoff of 1.82 predicted 1-year MACE, with a sensitivity of 61.2% and a specificity of 76.2%.

Conclusion: ACEF-II score, which is easy to calculate, could be used to predict 1-year MACE in patients with NSTEMI-ACS.

Abstract Image

Abstract Image

ACEF-II评分对非st段抬高型心肌梗死合并不稳定型心绞痛患者主要心脏不良事件的预测价值
背景:一项基于年龄、肌酐水平、射血分数、血细胞比容值和是否进行过急诊手术的评分(ACEF-II)被认为对心脏手术的风险分层具有预测价值。本研究旨在评估其在非 ST 段抬高型心肌梗死和不稳定型心绞痛(NSTEMI-ACS)患者中预测 1 年主要心脏不良事件(MACE)的实用性:共有768名NSTEMI-ACS患者参与了研究。经过倾向评分匹配后,MACE组和对照组各由168名患者组成。患者在急诊科入院和住院期间抽取了血液样本。对每位患者的急性冠状动脉事件全球登记、急性冠状动脉治疗和干预结果网络重症监护室风险、ACEF和ACEF-II评分进行了评估:研究对象的平均(标清)年龄为 63.07(12.39)岁;547 名(71.2%)患者为男性。对 7 个变量进行倾向得分匹配后,对匹配组进行比较发现,MACE 患者的心率、ST 段偏离率、心脏骤停率和肌酐水平较高,而左室射血分数、白蛋白、血红蛋白、血细胞比容、收缩压和血氧饱和度值较低。多变量逻辑回归分析显示,ACEF-II 评分的几率比最高,为 1.41(95% CI,1.12-1.81;P = .005)。根据多变量分析,ACEF 评分在预测 1 年 MACE 方面没有统计学意义。除风险评分类型外,左心室射血分数和心率对1年MACE也有预测价值。ACEF-II 评分的临界值为 1.82,可预测 1 年 MACE,灵敏度为 61.2%,特异度为 76.2%:ACEF-II评分易于计算,可用于预测NSTEMI-ACS患者的1年MACE。
本文章由计算机程序翻译,如有差异,请以英文原文为准。
求助全文
约1分钟内获得全文 求助全文
来源期刊
Texas Heart Institute Journal
Texas Heart Institute Journal CARDIAC & CARDIOVASCULAR SYSTEMS-
自引率
11.10%
发文量
131
期刊介绍: For more than 45 years, the Texas Heart Institute Journal has been published by the Texas Heart Institute as part of its medical education program. Our bimonthly peer-reviewed journal enjoys a global audience of physicians, scientists, and healthcare professionals who are contributing to the prevention, diagnosis, and treatment of cardiovascular disease. The Journal was printed under the name of Cardiovascular Diseases from 1974 through 1981 (ISSN 0093-3546). The name was changed to Texas Heart Institute Journal in 1982 and was printed through 2013 (ISSN 0730-2347). In 2014, the Journal moved to online-only publication. It is indexed by Index Medicus/MEDLINE and by other indexing and abstracting services worldwide. Our full archive is available at PubMed Central. The Journal invites authors to submit these article types for review: -Clinical Investigations- Laboratory Investigations- Reviews- Techniques- Coronary Anomalies- History of Medicine- Case Reports/Case Series (Submission Fee: $70.00 USD)- Images in Cardiovascular Medicine (Submission Fee: $35.00 USD)- Guest Editorials- Peabody’s Corner- Letters to the Editor
×
引用
GB/T 7714-2015
复制
MLA
复制
APA
复制
导出至
BibTeX EndNote RefMan NoteFirst NoteExpress
×
提示
您的信息不完整,为了账户安全,请先补充。
现在去补充
×
提示
您因"违规操作"
具体请查看互助需知
我知道了
×
提示
确定
请完成安全验证×
copy
已复制链接
快去分享给好友吧!
我知道了
右上角分享
点击右上角分享
0
联系我们:info@booksci.cn Book学术提供免费学术资源搜索服务,方便国内外学者检索中英文文献。致力于提供最便捷和优质的服务体验。 Copyright © 2023 布克学术 All rights reserved.
京ICP备2023020795号-1
ghs 京公网安备 11010802042870号
Book学术文献互助
Book学术文献互助群
群 号:604180095
Book学术官方微信