Proportions of IgA antibodies targeting glycosylated epitopes of secreted Escherichia coli mucinase YghJ in initial plasmablast response differ from salivary and intestinally secreted IgA.

IF 3 3区 医学 Q1 IMMUNOLOGY
Saman Riaz, Hans Steinsland, Ann Z Andersen, Anders Boysen, Kurt Hanevik
{"title":"Proportions of IgA antibodies targeting glycosylated epitopes of secreted Escherichia coli mucinase YghJ in initial plasmablast response differ from salivary and intestinally secreted IgA.","authors":"Saman Riaz, Hans Steinsland, Ann Z Andersen, Anders Boysen, Kurt Hanevik","doi":"10.1007/s00430-024-00812-0","DOIUrl":null,"url":null,"abstract":"<p><p>Mucosal infections normally cause an immune response including activation of antigen-specific B cells in regional mucosa-associated lymphoid tissue. After recirculation of plasmablasts, and maturation at mucosal surfaces or bone marrow, plasma cells produce secretory or systemic IgA. It remains uncertain to what extent secretory and systemic IgA share the same target specificities. For vaccine candidate optimization, it is important to know whether IgA targeting of glycosylated epitopes of a protein antigen vary between mucosal and systemic sites. We evaluated glycosylated epitope specificity of systemic and mucosally secreted IgA against YghJ, a potential vaccine candidate antigen secreted by most pathogenic Escherichia coli. IgA from intestinal lavage, saliva, serum, and blood-derived antibody in lymphocyte supernatants (ALS) were collected from 21 volunteers following experimental infection with enterotoxigenic E. coli. Methods for preparing IgA from saliva and ALS were developed, and multiplex bead flow cytometric immunoassays were used to determine levels of IgA targeting natively glycosylated YghJ and estimating what proportion of these antibodies specifically targeted glycosylated epitopes. Following infection, anti-YghJ IgA levels increased substantially for most volunteers across all four specimen types. Target specificity of ALS IgA correlated well with serum IgA, but not with mucosally secreted IgA. Furthermore, glycosylation-specific proportion of salivary IgA was higher than, and did not correlate with, intestinally secreted IgA. These results indicate a new degree of complexity to our understanding of epitope-targeting and tissue specificity of mucosal antibody responses. Our findings also suggest that all features of an intestinal IgA response may not be well reflected in serum, saliva, or ALS, which are commonly used proxy specimens for evaluating intestinal immune responses.</p>","PeriodicalId":18369,"journal":{"name":"Medical Microbiology and Immunology","volume":"214 1","pages":"2"},"PeriodicalIF":3.0000,"publicationDate":"2024-12-14","publicationTypes":"Journal Article","fieldsOfStudy":null,"isOpenAccess":false,"openAccessPdf":"https://www.ncbi.nlm.nih.gov/pmc/articles/PMC11646272/pdf/","citationCount":"0","resultStr":null,"platform":"Semanticscholar","paperid":null,"PeriodicalName":"Medical Microbiology and Immunology","FirstCategoryId":"3","ListUrlMain":"https://doi.org/10.1007/s00430-024-00812-0","RegionNum":3,"RegionCategory":"医学","ArticlePicture":[],"TitleCN":null,"AbstractTextCN":null,"PMCID":null,"EPubDate":"","PubModel":"","JCR":"Q1","JCRName":"IMMUNOLOGY","Score":null,"Total":0}
引用次数: 0

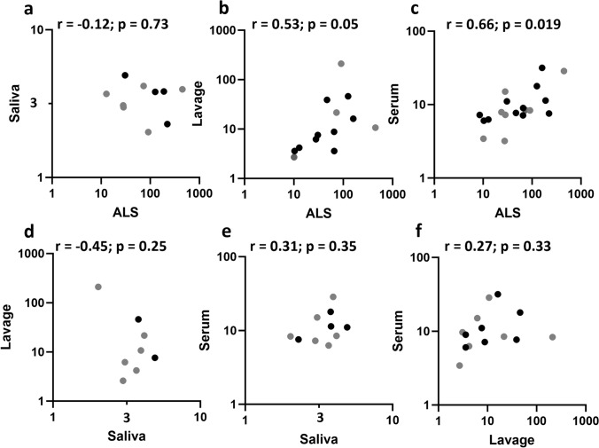
Abstract

Mucosal infections normally cause an immune response including activation of antigen-specific B cells in regional mucosa-associated lymphoid tissue. After recirculation of plasmablasts, and maturation at mucosal surfaces or bone marrow, plasma cells produce secretory or systemic IgA. It remains uncertain to what extent secretory and systemic IgA share the same target specificities. For vaccine candidate optimization, it is important to know whether IgA targeting of glycosylated epitopes of a protein antigen vary between mucosal and systemic sites. We evaluated glycosylated epitope specificity of systemic and mucosally secreted IgA against YghJ, a potential vaccine candidate antigen secreted by most pathogenic Escherichia coli. IgA from intestinal lavage, saliva, serum, and blood-derived antibody in lymphocyte supernatants (ALS) were collected from 21 volunteers following experimental infection with enterotoxigenic E. coli. Methods for preparing IgA from saliva and ALS were developed, and multiplex bead flow cytometric immunoassays were used to determine levels of IgA targeting natively glycosylated YghJ and estimating what proportion of these antibodies specifically targeted glycosylated epitopes. Following infection, anti-YghJ IgA levels increased substantially for most volunteers across all four specimen types. Target specificity of ALS IgA correlated well with serum IgA, but not with mucosally secreted IgA. Furthermore, glycosylation-specific proportion of salivary IgA was higher than, and did not correlate with, intestinally secreted IgA. These results indicate a new degree of complexity to our understanding of epitope-targeting and tissue specificity of mucosal antibody responses. Our findings also suggest that all features of an intestinal IgA response may not be well reflected in serum, saliva, or ALS, which are commonly used proxy specimens for evaluating intestinal immune responses.

Abstract Image

Abstract Image

Abstract Image

在初始的质母反应中,针对分泌的大肠杆菌黏液酶YghJ糖基化表位的IgA抗体比例与唾液分泌和肠分泌的IgA不同。
粘膜感染通常会引起免疫反应,包括局部粘膜相关淋巴组织中抗原特异性B细胞的激活。浆质母细胞循环后,在粘膜表面或骨髓成熟后,浆细胞产生分泌性或系统性IgA。目前尚不清楚分泌型和系统性IgA在多大程度上具有相同的靶标特异性。为了优化候选疫苗,了解IgA对蛋白抗原糖基化表位的靶向在粘膜和全身部位是否不同是很重要的。我们评估了全身和粘膜分泌的IgA对YghJ的糖基化表位特异性,YghJ是大多数致病性大肠杆菌分泌的一种潜在的疫苗候选抗原。从21名实验感染肠毒素大肠杆菌的志愿者的肠灌洗液、唾液、血清和淋巴细胞上清(ALS)血源性抗体中采集IgA。开发了从唾液和ALS中制备IgA的方法,并使用多重头流式细胞术免疫测定来确定靶向天然糖基化YghJ的IgA水平,并估计这些抗体特异性靶向糖基化表位的比例。感染后,在所有四种标本类型中,大多数志愿者的抗yghj IgA水平显著增加。ALS IgA靶特异性与血清IgA相关性较好,与黏膜分泌IgA相关性不强。此外,唾液IgA的糖基化特异性比例高于肠分泌IgA,但与肠分泌IgA无关。这些结果表明,我们对粘膜抗体反应的表位靶向和组织特异性的理解具有新的复杂性。我们的研究结果还表明,肠道IgA反应的所有特征可能不能很好地反映在血清,唾液或ALS中,这些通常用于评估肠道免疫反应的替代标本。
本文章由计算机程序翻译,如有差异,请以英文原文为准。
求助全文
约1分钟内获得全文 求助全文
来源期刊
CiteScore
10.60
自引率
0.00%
发文量
29
审稿时长
1 months
期刊介绍: Medical Microbiology and Immunology (MMIM) publishes key findings on all aspects of the interrelationship between infectious agents and the immune system of their hosts. The journal´s main focus is original research work on intrinsic, innate or adaptive immune responses to viral, bacterial, fungal and parasitic (protozoan and helminthic) infections and on the virulence of the respective infectious pathogens. MMIM covers basic, translational as well as clinical research in infectious diseases and infectious disease immunology. Basic research using cell cultures, organoid, and animal models are welcome, provided that the models have a clinical correlate and address a relevant medical question. The journal also considers manuscripts on the epidemiology of infectious diseases, including the emergence and epidemic spreading of pathogens and the development of resistance to anti-infective therapies, and on novel vaccines and other innovative measurements of prevention. The following categories of manuscripts will not be considered for publication in MMIM: submissions of preliminary work, of merely descriptive data sets without investigation of mechanisms or of limited global interest, manuscripts on existing or novel anti-infective compounds, which focus on pharmaceutical or pharmacological aspects of the drugs, manuscripts on existing or modified vaccines, unless they report on experimental or clinical efficacy studies or provide new immunological information on their mode of action, manuscripts on the diagnostics of infectious diseases, unless they offer a novel concept to solve a pending diagnostic problem, case reports or case series, unless they are embedded in a study that focuses on the anti-infectious immune response and/or on the virulence of a pathogen.
×
引用
GB/T 7714-2015
复制
MLA
复制
APA
复制
导出至
BibTeX EndNote RefMan NoteFirst NoteExpress
×
提示
您的信息不完整,为了账户安全,请先补充。
现在去补充
×
提示
您因"违规操作"
具体请查看互助需知
我知道了
×
提示
确定
请完成安全验证×
copy
已复制链接
快去分享给好友吧!
我知道了
右上角分享
点击右上角分享
0
联系我们:info@booksci.cn Book学术提供免费学术资源搜索服务,方便国内外学者检索中英文文献。致力于提供最便捷和优质的服务体验。 Copyright © 2023 布克学术 All rights reserved.
京ICP备2023020795号-1
ghs 京公网安备 11010802042870号
Book学术文献互助
Book学术文献互助群
群 号:604180095
Book学术官方微信