Altered eotaxin-1 and interleukin-34 levels in obsessive-compulsive disorder: a case-control observational study in Bangladesh.

IF 1.6 Q3 PUBLIC, ENVIRONMENTAL & OCCUPATIONAL HEALTH
Syed Ishtiaque Hossain, Rapty Sarker, Sardar Mohammad Ashraful Islam, Mohiuddin Ahmed Bhuiyan, Mma Shalahuddin Qusar, Md Rabiul Islam
{"title":"Altered eotaxin-1 and interleukin-34 levels in obsessive-compulsive disorder: a case-control observational study in Bangladesh.","authors":"Syed Ishtiaque Hossain, Rapty Sarker, Sardar Mohammad Ashraful Islam, Mohiuddin Ahmed Bhuiyan, Mma Shalahuddin Qusar, Md Rabiul Islam","doi":"10.24171/j.phrp.2024.0222","DOIUrl":null,"url":null,"abstract":"<p><strong>Background: </strong>Obsessive-compulsive disorder (OCD) is a prevalent mental health condition that impacts daily life. It is thought to be associated with genetic, biological, and structural brain changes, serotonergic abnormalities, altered neuromodulation, and environmental factors. Limited observational studies have examined cytokines in Bangladeshi patients with OCD. This study aimed to assess the levels of eotaxin-1 and interleukin (IL)-34 in individuals with this disorder.</p><p><strong>Methods: </strong>This case-control observational study included 58 patients with OCD and 30 healthy controls (HCs) matched for age, sex, and body mass index. The severity of OCD was assessed using the Yale-Brown obsessive-compulsive scale (Y-BOCS). Psychiatrists evaluated participants according to the Diagnostic and Statistical Manual of Mental Disorders, Fifth Edition. Serum levels of eotaxin-1 and IL-34 were measured using enzyme-linked immunosorbent assay kits.</p><p><strong>Results: </strong>Patients with OCD exhibited significantly higher serum eotaxin-1 levels (121.13±7.84 pg/mL) than HCs (85.52±9.42 pg/mL). Conversely, IL-34 levels were considerably lower in patients than in HCs (119.02±14.53 pg/mL vs. 179.96±27.88 pg/mL). The Cohen d values for eotaxin-1 and IL-34 were 0.55 and -0.48, respectively. Among patients with OCD, a significant positive correlation was found between serum eotaxin-1 level and Y-BOCS score, along with a negative correlation between serum eotaxin-1 and IL-34 levels.</p><p><strong>Conclusion: </strong>The findings suggest that altered eotaxin-1 and IL-34 levels may be associated with OCD. These chemokines and cytokines could serve as primary tools for assessing the risk of OCD, warranting further clinical investigation. This could potentially support more extensive research and the development of diagnostic and therapeutic strategies targeting these pathways.</p>","PeriodicalId":38949,"journal":{"name":"Osong Public Health and Research Perspectives","volume":" ","pages":"72-80"},"PeriodicalIF":1.6000,"publicationDate":"2025-02-01","publicationTypes":"Journal Article","fieldsOfStudy":null,"isOpenAccess":false,"openAccessPdf":"https://www.ncbi.nlm.nih.gov/pmc/articles/PMC11917376/pdf/","citationCount":"0","resultStr":null,"platform":"Semanticscholar","paperid":null,"PeriodicalName":"Osong Public Health and Research Perspectives","FirstCategoryId":"1085","ListUrlMain":"https://doi.org/10.24171/j.phrp.2024.0222","RegionNum":0,"RegionCategory":null,"ArticlePicture":[],"TitleCN":null,"AbstractTextCN":null,"PMCID":null,"EPubDate":"2024/12/12 0:00:00","PubModel":"Epub","JCR":"Q3","JCRName":"PUBLIC, ENVIRONMENTAL & OCCUPATIONAL HEALTH","Score":null,"Total":0}
引用次数: 0

Abstract

Background: Obsessive-compulsive disorder (OCD) is a prevalent mental health condition that impacts daily life. It is thought to be associated with genetic, biological, and structural brain changes, serotonergic abnormalities, altered neuromodulation, and environmental factors. Limited observational studies have examined cytokines in Bangladeshi patients with OCD. This study aimed to assess the levels of eotaxin-1 and interleukin (IL)-34 in individuals with this disorder.

Methods: This case-control observational study included 58 patients with OCD and 30 healthy controls (HCs) matched for age, sex, and body mass index. The severity of OCD was assessed using the Yale-Brown obsessive-compulsive scale (Y-BOCS). Psychiatrists evaluated participants according to the Diagnostic and Statistical Manual of Mental Disorders, Fifth Edition. Serum levels of eotaxin-1 and IL-34 were measured using enzyme-linked immunosorbent assay kits.

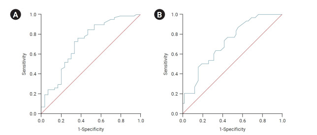
Results: Patients with OCD exhibited significantly higher serum eotaxin-1 levels (121.13±7.84 pg/mL) than HCs (85.52±9.42 pg/mL). Conversely, IL-34 levels were considerably lower in patients than in HCs (119.02±14.53 pg/mL vs. 179.96±27.88 pg/mL). The Cohen d values for eotaxin-1 and IL-34 were 0.55 and -0.48, respectively. Among patients with OCD, a significant positive correlation was found between serum eotaxin-1 level and Y-BOCS score, along with a negative correlation between serum eotaxin-1 and IL-34 levels.

Conclusion: The findings suggest that altered eotaxin-1 and IL-34 levels may be associated with OCD. These chemokines and cytokines could serve as primary tools for assessing the risk of OCD, warranting further clinical investigation. This could potentially support more extensive research and the development of diagnostic and therapeutic strategies targeting these pathways.

Abstract Image

Abstract Image

Abstract Image

强迫症患者eotaxin-1和白细胞介素-34水平的改变:孟加拉国的一项病例对照观察研究
目的:强迫症(OCD)是一种影响日常生活的普遍心理健康状况。它被认为与遗传、生物和大脑结构改变、血清素能异常、神经调节改变和环境因素有关。有限的观察性研究检查了孟加拉国强迫症患者的细胞因子。本研究旨在评估这种疾病患者中eotaxin-1和白细胞介素(IL)-34的水平。方法:本病例对照观察性研究纳入58例强迫症患者和30例年龄、性别和体重指数相匹配的健康对照(hc)。强迫症的严重程度采用耶鲁-布朗强迫症量表(Y-BOCS)进行评估。精神科医生根据《精神疾病诊断与统计手册》第五版对参与者进行评估。采用酶联免疫吸附测定试剂盒检测血清eotaxin-1和IL-34水平。结果:OCD患者血清eotaxin-1水平(121.13±7.84 pg/mL)明显高于正常人(85.52±9.42 pg/mL)。相反,患者的IL-34水平明显低于hc(119.02±14.53 pg/mL vs. 179.96±27.88 pg/mL)。eotaxin-1和IL-34的Cohen d值分别为0.55和-0.48。OCD患者血清eotaxin-1水平与Y-BOCS评分呈显著正相关,血清eotaxin-1水平与IL-34呈显著负相关。结论:eotaxin-1和IL-34水平的改变可能与强迫症有关。这些趋化因子和细胞因子可以作为评估强迫症风险的主要工具,值得进一步的临床研究。这可能会支持更广泛的研究和针对这些途径的诊断和治疗策略的发展。
本文章由计算机程序翻译,如有差异,请以英文原文为准。
求助全文
约1分钟内获得全文 求助全文
来源期刊
Osong Public Health and Research Perspectives
Osong Public Health and Research Perspectives Medicine-Public Health, Environmental and Occupational Health
CiteScore
10.30
自引率
2.30%
发文量
44
审稿时长
16 weeks
×
引用
GB/T 7714-2015
复制
MLA
复制
APA
复制
导出至
BibTeX EndNote RefMan NoteFirst NoteExpress
×
提示
您的信息不完整,为了账户安全,请先补充。
现在去补充
×
提示
您因"违规操作"
具体请查看互助需知
我知道了
×
提示
确定
请完成安全验证×
copy
已复制链接
快去分享给好友吧!
我知道了
右上角分享
点击右上角分享
0
联系我们:info@booksci.cn Book学术提供免费学术资源搜索服务,方便国内外学者检索中英文文献。致力于提供最便捷和优质的服务体验。 Copyright © 2023 布克学术 All rights reserved.
京ICP备2023020795号-1
ghs 京公网安备 11010802042870号
Book学术文献互助
Book学术文献互助群
群 号:604180095
Book学术官方微信