Predictive Value of Serum Hepcidin Levels for the Risk of Incident End-Stage Kidney Disease in Patients with Chronic Kidney Disease: The KNOW-CKD.

IF 3.1 4区 医学 Q1 UROLOGY & NEPHROLOGY
Kidney Diseases Pub Date : 2024-10-16 eCollection Date: 2024-12-01 DOI:10.1159/000542057
Sang Heon Suh, Tae Ryom Oh, Hong Sang Choi, Chang Seong Kim, Eun Hui Bae, Seong Kwon Ma, Kook-Hwan Oh, Kyu-Beck Lee, Ji Yong Jung, Soo Wan Kim
{"title":"Predictive Value of Serum Hepcidin Levels for the Risk of Incident End-Stage Kidney Disease in Patients with Chronic Kidney Disease: The KNOW-CKD.","authors":"Sang Heon Suh, Tae Ryom Oh, Hong Sang Choi, Chang Seong Kim, Eun Hui Bae, Seong Kwon Ma, Kook-Hwan Oh, Kyu-Beck Lee, Ji Yong Jung, Soo Wan Kim","doi":"10.1159/000542057","DOIUrl":null,"url":null,"abstract":"<p><strong>Introduction: </strong>Despite the pivotal role of hepcidin in the development of anemia among the patients with chronic kidney disease (CKD), the association between serum hepcidin levels and CKD progression has been never investigated. We here hypothesized that elevation in serum hepcidin levels might be associated with the risk of incident end-stage kidney disease (ESKD) among the patients with pre-dialysis CKD.</p><p><strong>Methods: </strong>A total of 2,109 patients with pre-dialysis CKD at stages 1 to pre-dialysis 5 were categorized into the quartiles by serum hepcidin levels. The study outcome was incident ESKD. The median duration of follow-up was 7.9 years.</p><p><strong>Results: </strong>The analysis of the baseline characteristics revealed that unfavorable clinical features were in general associated with higher serum hepcidin levels. The cumulative incidence of ESKD was significantly differed by serum hepcidin levels, with the highest incidence in the 4th quartile (<i>p</i> < 0.001, by log-rank test). Cox regression analysis demonstrated that, compared to the 1st quartile, the risk of incident ESKD is significantly increased in the 4th quartile (adjusted hazard ratio 1.372, 95% confidence interval 1.070-1.759). Penalized spline curve analysis illustrated a linear, positive correlation between serum hepcidin levels and the risk of incident ESKD. Subgroup analyses revealed that the association is significantly more prominent in the patients with advanced CKD (i.e., estimated glomerular filtration rate <45 mL/min/1.73 m<sup>2</sup>).</p><p><strong>Conclusion: </strong>Elevation in serum hepcidin levels is significantly associated with the risk of incident ESKD among the patients with pre-dialysis CKD.</p>","PeriodicalId":17830,"journal":{"name":"Kidney Diseases","volume":"10 6","pages":"492-503"},"PeriodicalIF":3.1000,"publicationDate":"2024-10-16","publicationTypes":"Journal Article","fieldsOfStudy":null,"isOpenAccess":false,"openAccessPdf":"https://www.ncbi.nlm.nih.gov/pmc/articles/PMC11631166/pdf/","citationCount":"0","resultStr":null,"platform":"Semanticscholar","paperid":null,"PeriodicalName":"Kidney Diseases","FirstCategoryId":"3","ListUrlMain":"https://doi.org/10.1159/000542057","RegionNum":4,"RegionCategory":"医学","ArticlePicture":[],"TitleCN":null,"AbstractTextCN":null,"PMCID":null,"EPubDate":"2024/12/1 0:00:00","PubModel":"eCollection","JCR":"Q1","JCRName":"UROLOGY & NEPHROLOGY","Score":null,"Total":0}
引用次数: 0

Abstract

Introduction: Despite the pivotal role of hepcidin in the development of anemia among the patients with chronic kidney disease (CKD), the association between serum hepcidin levels and CKD progression has been never investigated. We here hypothesized that elevation in serum hepcidin levels might be associated with the risk of incident end-stage kidney disease (ESKD) among the patients with pre-dialysis CKD.

Methods: A total of 2,109 patients with pre-dialysis CKD at stages 1 to pre-dialysis 5 were categorized into the quartiles by serum hepcidin levels. The study outcome was incident ESKD. The median duration of follow-up was 7.9 years.

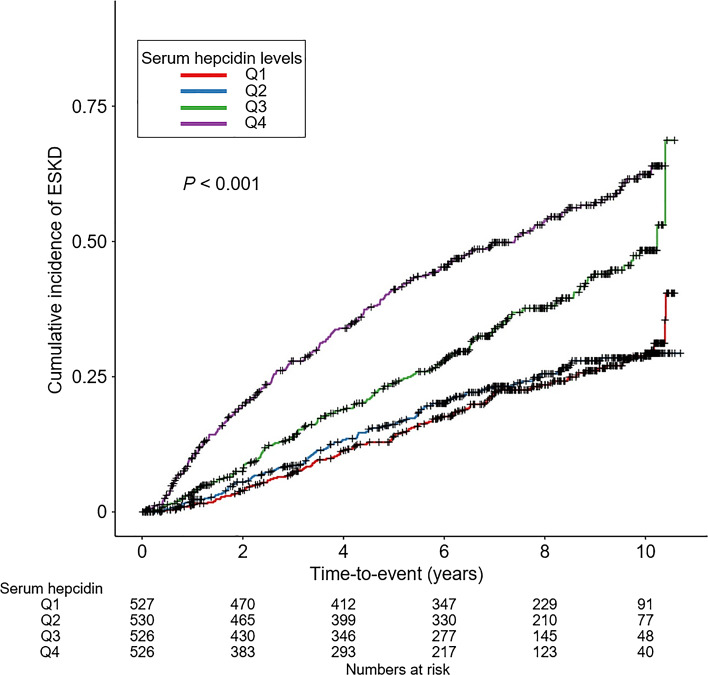
Results: The analysis of the baseline characteristics revealed that unfavorable clinical features were in general associated with higher serum hepcidin levels. The cumulative incidence of ESKD was significantly differed by serum hepcidin levels, with the highest incidence in the 4th quartile (p < 0.001, by log-rank test). Cox regression analysis demonstrated that, compared to the 1st quartile, the risk of incident ESKD is significantly increased in the 4th quartile (adjusted hazard ratio 1.372, 95% confidence interval 1.070-1.759). Penalized spline curve analysis illustrated a linear, positive correlation between serum hepcidin levels and the risk of incident ESKD. Subgroup analyses revealed that the association is significantly more prominent in the patients with advanced CKD (i.e., estimated glomerular filtration rate <45 mL/min/1.73 m2).

Conclusion: Elevation in serum hepcidin levels is significantly associated with the risk of incident ESKD among the patients with pre-dialysis CKD.

Abstract Image

Abstract Image

Abstract Image

血清Hepcidin水平对慢性肾病患者发生终末期肾病风险的预测价值:KNOW-CKD
尽管hepcidin在慢性肾脏疾病(CKD)患者贫血的发展中起着关键作用,但血清hepcidin水平与CKD进展之间的关系从未被研究过。我们在此假设血清hepcidin水平升高可能与透析前CKD患者发生终末期肾病(ESKD)的风险相关。方法:2109例透析前CKD 1期至透析前5期患者按血清hepcidin水平分为四分位数。研究结果为偶发性ESKD。中位随访时间为7.9年。结果:基线特征分析显示,不利的临床特征通常与较高的血清hepcidin水平相关。ESKD的累积发病率与血清hepcidin水平有显著差异,第4四分位数的发病率最高(经log-rank检验,p < 0.001)。Cox回归分析显示,与第1四分位数相比,第4四分位数发生ESKD的风险显著增加(校正风险比1.372,95%置信区间1.070-1.759)。惩罚样条曲线分析表明血清hepcidin水平与ESKD发生风险呈线性正相关。亚组分析显示,这种关联在晚期CKD患者(即肾小球滤过率估算值2)中更为显著。结论:血清hepcidin水平升高与透析前CKD患者发生ESKD的风险显著相关。
本文章由计算机程序翻译,如有差异,请以英文原文为准。
求助全文
约1分钟内获得全文 求助全文
来源期刊
Kidney Diseases
Kidney Diseases UROLOGY & NEPHROLOGY-
CiteScore
6.00
自引率
2.70%
发文量
33
审稿时长
27 weeks
期刊介绍: ''Kidney Diseases'' aims to provide a platform for Asian and Western research to further and support communication and exchange of knowledge. Review articles cover the most recent clinical and basic science relevant to the entire field of nephrological disorders, including glomerular diseases, acute and chronic kidney injury, tubulo-interstitial disease, hypertension and metabolism-related disorders, end-stage renal disease, and genetic kidney disease. Special articles are prepared by two authors, one from East and one from West, which compare genetics, epidemiology, diagnosis methods, and treatment options of a disease.
×
引用
GB/T 7714-2015
复制
MLA
复制
APA
复制
导出至
BibTeX EndNote RefMan NoteFirst NoteExpress
×
提示
您的信息不完整,为了账户安全,请先补充。
现在去补充
×
提示
您因"违规操作"
具体请查看互助需知
我知道了
×
提示
确定
请完成安全验证×
copy
已复制链接
快去分享给好友吧!
我知道了
右上角分享
点击右上角分享
0
联系我们:info@booksci.cn Book学术提供免费学术资源搜索服务,方便国内外学者检索中英文文献。致力于提供最便捷和优质的服务体验。 Copyright © 2023 布克学术 All rights reserved.
京ICP备2023020795号-1
ghs 京公网安备 11010802042870号
Book学术文献互助
Book学术文献互助群
群 号:604180095
Book学术官方微信