Association of mixed polycyclic aromatic hydrocarbons exposure with cardiovascular disease and the mediating role of inflammatory indices in US adults.

IF 2.5 3区 医学 Q1 PUBLIC, ENVIRONMENTAL & OCCUPATIONAL HEALTH
Tingwei Du, Xiaoli Shen, Runqing Zhan
{"title":"Association of mixed polycyclic aromatic hydrocarbons exposure with cardiovascular disease and the mediating role of inflammatory indices in US adults.","authors":"Tingwei Du, Xiaoli Shen, Runqing Zhan","doi":"10.1265/ehpm.24-00091","DOIUrl":null,"url":null,"abstract":"<p><strong>Background: </strong>Cardiovascular disease (CVD) is the leading cause of death worldwide. Few studies have investigated the effects of mixed polycyclic aromatic hydrocarbon (PAH) exposure on CVD prevalence. We aimed to evaluate the association between mixed PAHs exposure and CVD and determine the extent to which these links are mediated by inflammatory indices.</p><p><strong>Methods: </strong>We used National Health and Nutrition Examination Survey (NHANES) data from 2003 to 2016. Adults with a diagnosis of CVD and seven monohydroxylated PAH metabolites (OH-PAHs) in their urine samples were included. Multivariate logistic regression and Bayesian kernel machine regression (BKMR) models were used to estimate the association between single and mixed PAHs exposure and CVD. Mediation analysis was used to evaluate the mediating effect of inflammatory indices on the association between PAHs mixtures and CVD.</p><p><strong>Results: </strong>Here, 9136 individuals were included and 10.5% had CVD. Multivariate logistic regression analysis with all the OH-PAHs included that 2-hydroxyfluorene was found positively associated with increased odds of CVD. The BKMR analysis revealed that the overall effect of the seven PAH mixtures was positively associated with CVD. The univariate exposure-response function showed that 2-hydroxyfluorene was positively associated with CVD. Moreover, mediation analysis demonstrated that neutrophil-to-lymphocyte ratio and systemic immune inflammation index mediated the association between PAHs and CVD.</p><p><strong>Conclusions: </strong>Our findings highlight the complexity of the association between mixed PAHs exposure and CVD. At the same time, our study provides insight into the potential mechanisms of inflammation as a mediator between exposure to PAH mixtures and CVD.</p>","PeriodicalId":11707,"journal":{"name":"Environmental Health and Preventive Medicine","volume":"29 ","pages":"70"},"PeriodicalIF":2.5000,"publicationDate":"2024-01-01","publicationTypes":"Journal Article","fieldsOfStudy":null,"isOpenAccess":false,"openAccessPdf":"https://www.ncbi.nlm.nih.gov/pmc/articles/PMC11652969/pdf/","citationCount":"0","resultStr":null,"platform":"Semanticscholar","paperid":null,"PeriodicalName":"Environmental Health and Preventive Medicine","FirstCategoryId":"3","ListUrlMain":"https://doi.org/10.1265/ehpm.24-00091","RegionNum":3,"RegionCategory":"医学","ArticlePicture":[],"TitleCN":null,"AbstractTextCN":null,"PMCID":null,"EPubDate":"","PubModel":"","JCR":"Q1","JCRName":"PUBLIC, ENVIRONMENTAL & OCCUPATIONAL HEALTH","Score":null,"Total":0}
引用次数: 0

Abstract

Background: Cardiovascular disease (CVD) is the leading cause of death worldwide. Few studies have investigated the effects of mixed polycyclic aromatic hydrocarbon (PAH) exposure on CVD prevalence. We aimed to evaluate the association between mixed PAHs exposure and CVD and determine the extent to which these links are mediated by inflammatory indices.

Methods: We used National Health and Nutrition Examination Survey (NHANES) data from 2003 to 2016. Adults with a diagnosis of CVD and seven monohydroxylated PAH metabolites (OH-PAHs) in their urine samples were included. Multivariate logistic regression and Bayesian kernel machine regression (BKMR) models were used to estimate the association between single and mixed PAHs exposure and CVD. Mediation analysis was used to evaluate the mediating effect of inflammatory indices on the association between PAHs mixtures and CVD.

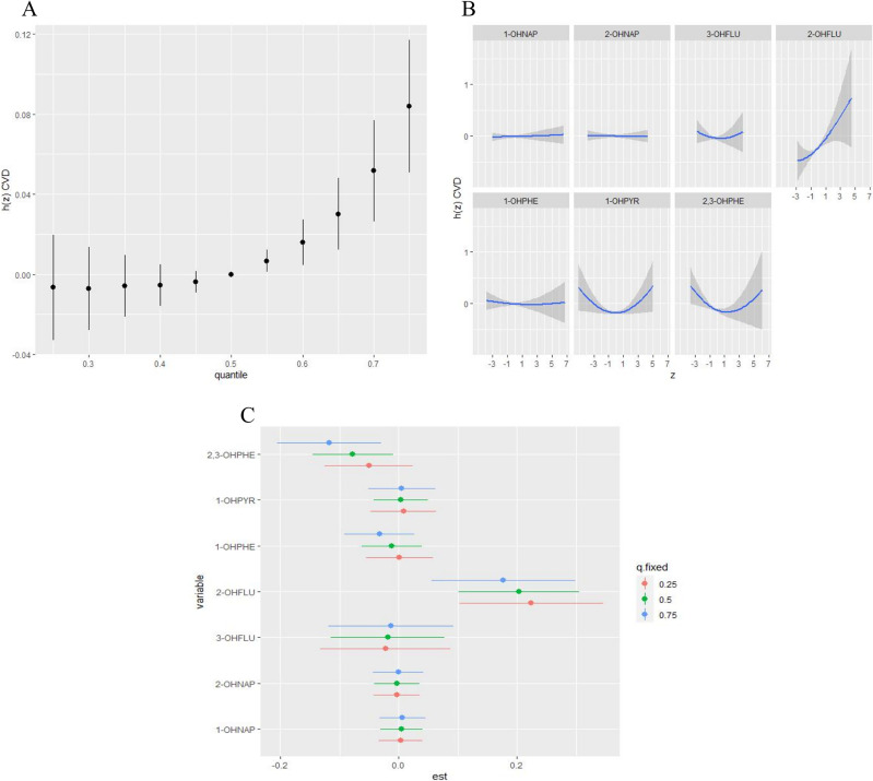
Results: Here, 9136 individuals were included and 10.5% had CVD. Multivariate logistic regression analysis with all the OH-PAHs included that 2-hydroxyfluorene was found positively associated with increased odds of CVD. The BKMR analysis revealed that the overall effect of the seven PAH mixtures was positively associated with CVD. The univariate exposure-response function showed that 2-hydroxyfluorene was positively associated with CVD. Moreover, mediation analysis demonstrated that neutrophil-to-lymphocyte ratio and systemic immune inflammation index mediated the association between PAHs and CVD.

Conclusions: Our findings highlight the complexity of the association between mixed PAHs exposure and CVD. At the same time, our study provides insight into the potential mechanisms of inflammation as a mediator between exposure to PAH mixtures and CVD.

Abstract Image

Abstract Image

Abstract Image

混合多环芳烃暴露与心血管疾病的关联以及美国成人炎症指数的中介作用
背景:心血管疾病(CVD)是世界范围内导致死亡的主要原因。很少有研究调查混合多环芳烃(PAH)暴露对心血管疾病患病率的影响。我们旨在评估混合多环芳烃暴露与心血管疾病之间的关系,并确定这些联系在多大程度上是由炎症指数介导的。方法:采用2003 - 2016年国家健康与营养检查调查(NHANES)数据。诊断为心血管疾病的成年人,其尿液样本中含有7种单羟基多环芳烃代谢物(OH-PAHs)。使用多元逻辑回归和贝叶斯核机回归(BKMR)模型来估计单一和混合多环芳烃暴露与CVD之间的关系。采用中介分析评价炎症指标对多环芳烃混合物与心血管疾病相关性的中介作用。结果:共纳入9136人,其中10.5%患有心血管疾病。对所有的OH-PAHs进行多因素logistic回归分析,发现2-羟基芴与心血管疾病的发病率增加呈正相关。BKMR分析显示,七种多环芳烃混合物的总体影响与心血管疾病呈正相关。单变量暴露-反应函数显示2-羟基芴与CVD呈正相关。此外,中介分析表明,中性粒细胞与淋巴细胞比率和全身免疫炎症指数介导了多环芳烃与CVD的关系。结论:我们的研究结果强调了混合多环芳烃暴露与CVD之间关系的复杂性。同时,我们的研究提供了炎症作为暴露于多环芳烃混合物和心血管疾病之间的中介的潜在机制。
本文章由计算机程序翻译,如有差异,请以英文原文为准。
求助全文
约1分钟内获得全文 求助全文
来源期刊
Environmental Health and Preventive Medicine
Environmental Health and Preventive Medicine PUBLIC, ENVIRONMENTAL & OCCUPATIONAL HEALTH -
CiteScore
7.90
自引率
2.10%
发文量
44
审稿时长
10 weeks
期刊介绍: The official journal of the Japanese Society for Hygiene, Environmental Health and Preventive Medicine (EHPM) brings a comprehensive approach to prevention and environmental health related to medical, biological, molecular biological, genetic, physical, psychosocial, chemical, and other environmental factors. Environmental Health and Preventive Medicine features definitive studies on human health sciences and provides comprehensive and unique information to a worldwide readership.
×
引用
GB/T 7714-2015
复制
MLA
复制
APA
复制
导出至
BibTeX EndNote RefMan NoteFirst NoteExpress
×
提示
您的信息不完整,为了账户安全,请先补充。
现在去补充
×
提示
您因"违规操作"
具体请查看互助需知
我知道了
×
提示
确定
请完成安全验证×
copy
已复制链接
快去分享给好友吧!
我知道了
右上角分享
点击右上角分享
0
联系我们:info@booksci.cn Book学术提供免费学术资源搜索服务,方便国内外学者检索中英文文献。致力于提供最便捷和优质的服务体验。 Copyright © 2023 布克学术 All rights reserved.
京ICP备2023020795号-1
ghs 京公网安备 11010802042870号
Book学术文献互助
Book学术文献互助群
群 号:604180095
Book学术官方微信