Biological characteristics of age-related changes in C57BL/6 mice sub-strains in the national center for geriatrics and gerontology aging farm.

IF 1.2 4区 农林科学 Q1 VETERINARY SCIENCES
Experimental Animals Pub Date : 2025-04-20 Epub Date: 2024-12-11 DOI:10.1538/expanim.24-0095
Noboru Ogiso, Julio A Almunia, Yoshiko Munesue, Shunsuke Yuri, Akihiko Nishikimi, Atsushi Watanabe, Morihiro Inui, Kazumichi Takano, Shumpei Niida
{"title":"Biological characteristics of age-related changes in C57BL/6 mice sub-strains in the national center for geriatrics and gerontology aging farm.","authors":"Noboru Ogiso, Julio A Almunia, Yoshiko Munesue, Shunsuke Yuri, Akihiko Nishikimi, Atsushi Watanabe, Morihiro Inui, Kazumichi Takano, Shumpei Niida","doi":"10.1538/expanim.24-0095","DOIUrl":null,"url":null,"abstract":"<p><p>Aging is a complex biological process. Several animal models, including nematodes, Drosophila, and rodents, have been used in research on aging mechanisms and the extension of healthy life expectancy. The present study investigated the physiological and anatomical changes associated with aging in two sub-strains of aged C57BL/6 mice used in aging research: C57BL/6NCrSlc (B6N) and C57BL/6J (B6J). The survival rate before 24 months old (mo) was higher in B6J mice than in B6N mice; however, after 24 mo, it was markedly lower in the former than in the latter. Body weight increased in male C57BL/6 mice until 15-18 mo and in females until 21-24 mo and then began to decrease. Body temperature was lower in B6N mice than in B6J mice until 24 mo. Food and water intakes increased from 18 mo in both strains. The incidence of alopecia was higher in female C57BL/6J mice from 3 mo. Necropsy findings showed a high rate of spontaneous tumors in both sub-strains. The incidence of cutaneous ulcerative infections and hepatic pathologies was significantly higher in the B6N strain. A high incidence of renal lesions was also observed in B6J mice, particularly in males. These results provide insights into the characteristics of these sub-strains and the phenotypic changes associated with aging, which will facilitate the use of aged mice as a quality resource for geriatric and gerontological research.</p>","PeriodicalId":12102,"journal":{"name":"Experimental Animals","volume":" ","pages":"229-238"},"PeriodicalIF":1.2000,"publicationDate":"2025-04-20","publicationTypes":"Journal Article","fieldsOfStudy":null,"isOpenAccess":false,"openAccessPdf":"https://www.ncbi.nlm.nih.gov/pmc/articles/PMC12044361/pdf/","citationCount":"0","resultStr":null,"platform":"Semanticscholar","paperid":null,"PeriodicalName":"Experimental Animals","FirstCategoryId":"3","ListUrlMain":"https://doi.org/10.1538/expanim.24-0095","RegionNum":4,"RegionCategory":"农林科学","ArticlePicture":[],"TitleCN":null,"AbstractTextCN":null,"PMCID":null,"EPubDate":"2024/12/11 0:00:00","PubModel":"Epub","JCR":"Q1","JCRName":"VETERINARY SCIENCES","Score":null,"Total":0}
引用次数: 0

Abstract

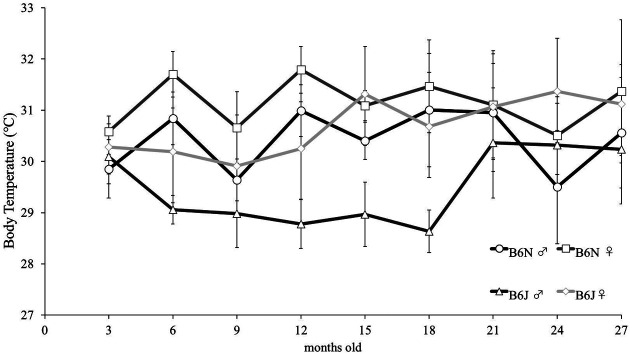
Aging is a complex biological process. Several animal models, including nematodes, Drosophila, and rodents, have been used in research on aging mechanisms and the extension of healthy life expectancy. The present study investigated the physiological and anatomical changes associated with aging in two sub-strains of aged C57BL/6 mice used in aging research: C57BL/6NCrSlc (B6N) and C57BL/6J (B6J). The survival rate before 24 months old (mo) was higher in B6J mice than in B6N mice; however, after 24 mo, it was markedly lower in the former than in the latter. Body weight increased in male C57BL/6 mice until 15-18 mo and in females until 21-24 mo and then began to decrease. Body temperature was lower in B6N mice than in B6J mice until 24 mo. Food and water intakes increased from 18 mo in both strains. The incidence of alopecia was higher in female C57BL/6J mice from 3 mo. Necropsy findings showed a high rate of spontaneous tumors in both sub-strains. The incidence of cutaneous ulcerative infections and hepatic pathologies was significantly higher in the B6N strain. A high incidence of renal lesions was also observed in B6J mice, particularly in males. These results provide insights into the characteristics of these sub-strains and the phenotypic changes associated with aging, which will facilitate the use of aged mice as a quality resource for geriatric and gerontological research.

Abstract Image

Abstract Image

Abstract Image

国家老年医学中心和老年医学农场C57BL/6小鼠亚株年龄相关变化的生物学特性
衰老是一个复杂的生物过程。包括线虫、果蝇和啮齿动物在内的几种动物模型已被用于研究衰老机制和延长健康预期寿命。本研究对衰老研究中C57BL/6小鼠的两个亚系C57BL/ 6NCrSlc (B6N)和C57BL/6J (B6J)进行了衰老相关的生理解剖变化研究。B6J小鼠24月龄前存活率高于B6N小鼠;然而,24个月后,前者明显低于后者。雄性C57BL/6小鼠体重增加至15-18月龄,雌性C57BL/6小鼠体重增加至21-24月龄后开始下降。直到24月龄,B6N小鼠的体温低于B6J小鼠。两种小鼠的食物和水摄入量从18月龄开始增加。雌性C57BL/6J小鼠3个月后脱发发生率较高,尸检结果显示两亚系自发性肿瘤发生率均较高。皮肤溃疡感染和肝脏病变的发生率在B6N菌株中明显较高。在B6J小鼠中也观察到肾脏病变的高发生率,特别是在雄性中。这些结果提供了这些亚菌株的特征和与衰老相关的表型变化的见解,这将有助于将老年小鼠作为老年医学和老年学研究的优质资源。
本文章由计算机程序翻译,如有差异,请以英文原文为准。
求助全文
约1分钟内获得全文 求助全文
来源期刊
Experimental Animals
Experimental Animals 生物-动物学
CiteScore
2.80
自引率
4.20%
发文量
2
审稿时长
3 months
期刊介绍: The aim of this international journal is to accelerate progress in laboratory animal experimentation and disseminate relevant information in related areas through publication of peer reviewed Original papers and Review articles. The journal covers basic to applied biomedical research centering around use of experimental animals and also covers topics related to experimental animals such as technology, management, and animal welfare.
×
引用
GB/T 7714-2015
复制
MLA
复制
APA
复制
导出至
BibTeX EndNote RefMan NoteFirst NoteExpress
×
提示
您的信息不完整,为了账户安全,请先补充。
现在去补充
×
提示
您因"违规操作"
具体请查看互助需知
我知道了
×
提示
确定
请完成安全验证×
copy
已复制链接
快去分享给好友吧!
我知道了
右上角分享
点击右上角分享
0
联系我们:info@booksci.cn Book学术提供免费学术资源搜索服务,方便国内外学者检索中英文文献。致力于提供最便捷和优质的服务体验。 Copyright © 2023 布克学术 All rights reserved.
京ICP备2023020795号-1
ghs 京公网安备 11010802042870号
Book学术文献互助
Book学术文献互助群
群 号:604180095
Book学术官方微信