Transoral Laser Microsurgery of Supraglottic Cancer: A Survival Analysis.

Q3 Medicine
Samaneh Abdi Sofi, Payman Dabirmoghaddam, Kayvan Aghazadeh, Ebrahim Karimi, Shadi Naderyan Fe'li
{"title":"Transoral Laser Microsurgery of Supraglottic Cancer: A Survival Analysis.","authors":"Samaneh Abdi Sofi, Payman Dabirmoghaddam, Kayvan Aghazadeh, Ebrahim Karimi, Shadi Naderyan Fe'li","doi":"10.22038/ijorl.2024.75846.3543","DOIUrl":null,"url":null,"abstract":"<p><strong>Introduction: </strong>There needs to be more unanimity in the treatment approaches for supraglottic squamous cell carcinoma. This study evaluated the survival outcomes of patients who underwent transoral laser microsurgery for this type of cancer.</p><p><strong>Materials and methods: </strong>This longitudinal study was conducted at a tertiary university hospital in Iran. Forty-one patients with supraglottic squamous cell carcinoma who underwent transoral laser microsurgery were included. The required data were extracted from medical records. Survival analysis using the Kaplan-Meier method was used to obtain the 5-year overall recurrence-free and laryngectomy-free survival rates.</p><p><strong>Results: </strong>This study included 40 males (97.6%) and one female (2.4%). The mean ± standard deviation of patients' age was 55.17±8.43 years. The 5-year overall recurrence-free survival rate in all patients was 68.0%. In contrast, 76.0% of the cases were laryngectomy-free after five years. Patients in the T1 and T3 categories had better overall and laryngectomy-free survival rates when stratifying by disease stage, respectively. The 3-year local control rates of tumor were 80.0%, 63.1%, and 82.3% for T1, T2, and T3, respectively. The larynx could be preserved in four patients (80.0%) with T1, 15 patients (57.8%) with T2, and 14 patients (82.3%) with T3.</p><p><strong>Conclusion: </strong>Our results suggest that transoral laser microsurgery may result in satisfactory recurrence-free survival and good oncologic outcomes. However, considering the indication of radiotherapy in some patients, the therapeutic effects of radiotherapy are part of the survival rate observed in this study.</p>","PeriodicalId":14607,"journal":{"name":"Iranian Journal of Otorhinolaryngology","volume":"36 6","pages":"647-654"},"PeriodicalIF":0.0000,"publicationDate":"2024-01-01","publicationTypes":"Journal Article","fieldsOfStudy":null,"isOpenAccess":false,"openAccessPdf":"https://www.ncbi.nlm.nih.gov/pmc/articles/PMC11624849/pdf/","citationCount":"0","resultStr":null,"platform":"Semanticscholar","paperid":null,"PeriodicalName":"Iranian Journal of Otorhinolaryngology","FirstCategoryId":"1085","ListUrlMain":"https://doi.org/10.22038/ijorl.2024.75846.3543","RegionNum":0,"RegionCategory":null,"ArticlePicture":[],"TitleCN":null,"AbstractTextCN":null,"PMCID":null,"EPubDate":"","PubModel":"","JCR":"Q3","JCRName":"Medicine","Score":null,"Total":0}
引用次数: 0

Abstract

Introduction: There needs to be more unanimity in the treatment approaches for supraglottic squamous cell carcinoma. This study evaluated the survival outcomes of patients who underwent transoral laser microsurgery for this type of cancer.

Materials and methods: This longitudinal study was conducted at a tertiary university hospital in Iran. Forty-one patients with supraglottic squamous cell carcinoma who underwent transoral laser microsurgery were included. The required data were extracted from medical records. Survival analysis using the Kaplan-Meier method was used to obtain the 5-year overall recurrence-free and laryngectomy-free survival rates.

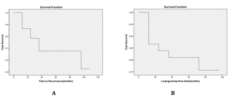
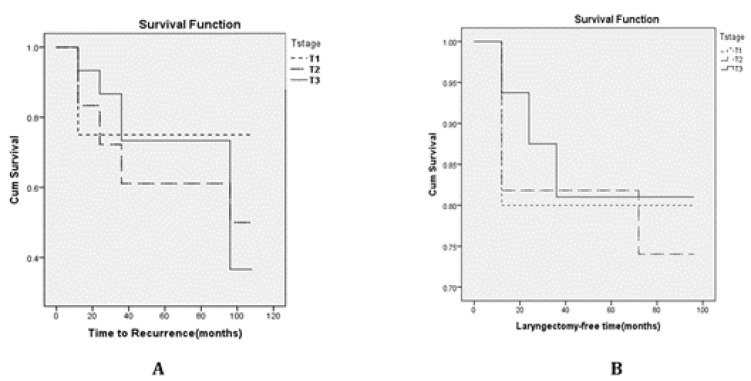
Results: This study included 40 males (97.6%) and one female (2.4%). The mean ± standard deviation of patients' age was 55.17±8.43 years. The 5-year overall recurrence-free survival rate in all patients was 68.0%. In contrast, 76.0% of the cases were laryngectomy-free after five years. Patients in the T1 and T3 categories had better overall and laryngectomy-free survival rates when stratifying by disease stage, respectively. The 3-year local control rates of tumor were 80.0%, 63.1%, and 82.3% for T1, T2, and T3, respectively. The larynx could be preserved in four patients (80.0%) with T1, 15 patients (57.8%) with T2, and 14 patients (82.3%) with T3.

Conclusion: Our results suggest that transoral laser microsurgery may result in satisfactory recurrence-free survival and good oncologic outcomes. However, considering the indication of radiotherapy in some patients, the therapeutic effects of radiotherapy are part of the survival rate observed in this study.

Abstract Image

Abstract Image

经口激光显微手术治疗声门上癌:生存分析。
前言:声门上鳞状细胞癌的治疗方法需要更多的一致性。本研究评估了接受经口激光显微手术治疗这类癌症的患者的生存结果。材料和方法:本纵向研究是在伊朗的一所第三大学医院进行的。41例声门上鳞状细胞癌患者接受了经口激光显微手术。从医疗记录中提取了所需的数据。采用Kaplan-Meier法进行生存分析,获得5年总体无复发生存率和无喉切除术生存率。结果:男性40例(97.6%),女性1例(2.4%)。患者年龄的平均值±标准差为55.17±8.43岁。所有患者的5年总无复发生存率为68.0%。相比之下,76.0%的病例在5年后没有喉切除术。按疾病分期分类,T1和T3组患者的总生存率和不切除喉的生存率分别较好。T1、T2、T3 3年肿瘤局部控制率分别为80.0%、63.1%、82.3%。T1组喉部保留4例(80.0%),T2组15例(57.8%),T3组14例(82.3%)。结论:经口激光显微手术可获得满意的无复发生存率和良好的肿瘤预后。然而,考虑到部分患者放疗的适应症,放疗的治疗效果是本研究观察到的生存率的一部分。
本文章由计算机程序翻译,如有差异,请以英文原文为准。
求助全文
约1分钟内获得全文 求助全文
来源期刊
Iranian Journal of Otorhinolaryngology
Iranian Journal of Otorhinolaryngology Medicine-Otorhinolaryngology
CiteScore
1.30
自引率
0.00%
发文量
72
审稿时长
12 weeks
×
引用
GB/T 7714-2015
复制
MLA
复制
APA
复制
导出至
BibTeX EndNote RefMan NoteFirst NoteExpress
×
提示
您的信息不完整,为了账户安全,请先补充。
现在去补充
×
提示
您因"违规操作"
具体请查看互助需知
我知道了
×
提示
确定
请完成安全验证×
copy
已复制链接
快去分享给好友吧!
我知道了
右上角分享
点击右上角分享
0
联系我们:info@booksci.cn Book学术提供免费学术资源搜索服务,方便国内外学者检索中英文文献。致力于提供最便捷和优质的服务体验。 Copyright © 2023 布克学术 All rights reserved.
京ICP备2023020795号-1
ghs 京公网安备 11010802042870号
Book学术文献互助
Book学术文献互助群
群 号:604180095
Book学术官方微信