Evaluation of indices for the assessment and classification of keratoconus based on optical coherence tomography and Scheimpflug technology.

IF 2.4 3区 医学 Q1 OPHTHALMOLOGY
Ophthalmic and Physiological Optics Pub Date : 2025-03-01 Epub Date: 2024-12-05 DOI:10.1111/opo.13425
Robert Herber, Janine Lenk, Lisa Ramm, Dierk Wittig, Maria Magdalena Patzner, Lutz E Pillunat, Frederik Raiskup
{"title":"Evaluation of indices for the assessment and classification of keratoconus based on optical coherence tomography and Scheimpflug technology.","authors":"Robert Herber, Janine Lenk, Lisa Ramm, Dierk Wittig, Maria Magdalena Patzner, Lutz E Pillunat, Frederik Raiskup","doi":"10.1111/opo.13425","DOIUrl":null,"url":null,"abstract":"<p><strong>Purpose: </strong>To compare the parameters and indices of a novel swept-source optical coherence tomography device (SS-OCT, ANTERION) with those of a rotating Scheimpflug camera (RSC)-based tomograph (Pentacam) in normal and keratoconic (KC) eyes.</p><p><strong>Methods: </strong>This prospective, monocentric, cross-sectional study included individuals with unoperated normal and KC eyes, selecting one eye per subject. Ectasia-specific parameters analysed with the SS-OCT were difference in mean keratometry (K<sub>mean</sub>) in the inferior and superior meridians, maximum keratometry value (K<sub>max</sub>), elevation of the posterior surface at the thinnest point, screening corneal objective risk of ectasia (SCORE) and thinnest point thickness. With the RSC, parameters determined were Belin/Ambrosio total deviation value (BAD-D), index of height decentration and index of vertical asymmetry. KC classification with the SS-OCT was based on the anterior and posterior radii of curvature and thinnest point thickness according to the ABCD classification of the RSC system.</p><p><strong>Results: </strong>This study included 117 individuals with healthy eyes and 335 eyes with KC. The indices with the highest diagnostic discriminatory ability between the two cohorts were SCORE, difference of K<sub>mean</sub> in the inferior and superior meridians and posterior elevation of the thinnest point (SS-OCT), as well as the index of height decentration, index of vertical asymmetry and BAD-D (RSC). The classifications using SS-OCT defined mild-stage KC as K<sub>max</sub>, posterior elevation of the thinnest point and thinnest point thickness as ≤50.9 D, ≤30 and ≥472 μm, respectively. Moderate stage values were 51-55.9 D, 31-69 and 471-438 μm, respectively, while respective advanced stage were ≥56 D, ≥70 and ≤437 μm.</p><p><strong>Conclusion: </strong>The diagnostic capabilities for both devices were found to be comparable. KC classification using SS-OCT can be independently based on the anterior surface, posterior surface and corneal thickness.</p>","PeriodicalId":19522,"journal":{"name":"Ophthalmic and Physiological Optics","volume":" ","pages":"391-404"},"PeriodicalIF":2.4000,"publicationDate":"2025-03-01","publicationTypes":"Journal Article","fieldsOfStudy":null,"isOpenAccess":false,"openAccessPdf":"https://www.ncbi.nlm.nih.gov/pmc/articles/PMC11823291/pdf/","citationCount":"0","resultStr":null,"platform":"Semanticscholar","paperid":null,"PeriodicalName":"Ophthalmic and Physiological Optics","FirstCategoryId":"3","ListUrlMain":"https://doi.org/10.1111/opo.13425","RegionNum":3,"RegionCategory":"医学","ArticlePicture":[],"TitleCN":null,"AbstractTextCN":null,"PMCID":null,"EPubDate":"2024/12/5 0:00:00","PubModel":"Epub","JCR":"Q1","JCRName":"OPHTHALMOLOGY","Score":null,"Total":0}
引用次数: 0

Abstract

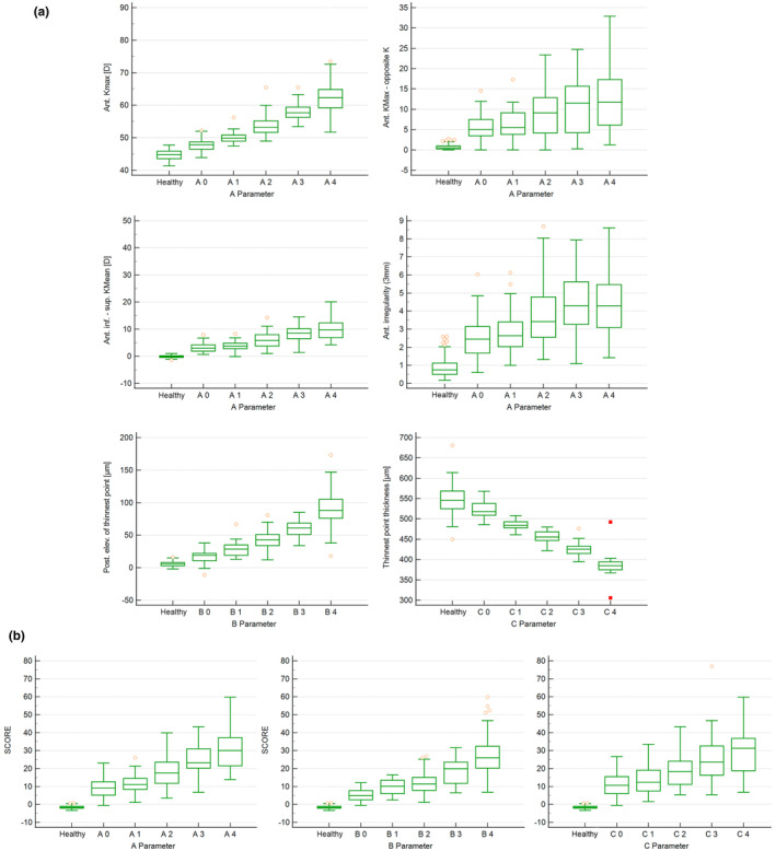
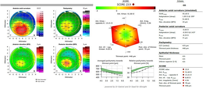
Purpose: To compare the parameters and indices of a novel swept-source optical coherence tomography device (SS-OCT, ANTERION) with those of a rotating Scheimpflug camera (RSC)-based tomograph (Pentacam) in normal and keratoconic (KC) eyes.

Methods: This prospective, monocentric, cross-sectional study included individuals with unoperated normal and KC eyes, selecting one eye per subject. Ectasia-specific parameters analysed with the SS-OCT were difference in mean keratometry (Kmean) in the inferior and superior meridians, maximum keratometry value (Kmax), elevation of the posterior surface at the thinnest point, screening corneal objective risk of ectasia (SCORE) and thinnest point thickness. With the RSC, parameters determined were Belin/Ambrosio total deviation value (BAD-D), index of height decentration and index of vertical asymmetry. KC classification with the SS-OCT was based on the anterior and posterior radii of curvature and thinnest point thickness according to the ABCD classification of the RSC system.

Results: This study included 117 individuals with healthy eyes and 335 eyes with KC. The indices with the highest diagnostic discriminatory ability between the two cohorts were SCORE, difference of Kmean in the inferior and superior meridians and posterior elevation of the thinnest point (SS-OCT), as well as the index of height decentration, index of vertical asymmetry and BAD-D (RSC). The classifications using SS-OCT defined mild-stage KC as Kmax, posterior elevation of the thinnest point and thinnest point thickness as ≤50.9 D, ≤30 and ≥472 μm, respectively. Moderate stage values were 51-55.9 D, 31-69 and 471-438 μm, respectively, while respective advanced stage were ≥56 D, ≥70 and ≤437 μm.

Conclusion: The diagnostic capabilities for both devices were found to be comparable. KC classification using SS-OCT can be independently based on the anterior surface, posterior surface and corneal thickness.

Abstract Image

Abstract Image

Abstract Image

基于光学相干层析成像和Scheimpflug技术的圆锥角膜评估和分类指标的评价。
目的:比较一种新型扫源光学相干层析成像设备(SS-OCT, ANTERION)与旋转Scheimpflug相机(RSC)层析成像设备(Pentacam)在正常眼和角膜斜视(KC)中的参数和指标。方法:这项前瞻性、单中心、横断面研究包括未手术的正常眼和KC眼,每位受试者选择一只眼。SS-OCT分析扩张特异性参数为上、下经络平均角膜密度差(Kmean)、最大角膜密度值(Kmax)、最薄点后表面抬高、筛查角膜扩张客观风险(SCORE)和最薄点厚度。利用RSC确定的参数有Belin/Ambrosio总偏差值(BAD-D)、高度分散指数和垂直不对称指数。根据RSC系统的ABCD分类,SS-OCT基于前后曲率半径和最薄点厚度进行KC分类。结果:本研究纳入117只健康眼和335只KC眼,两组间诊断区分能力最高的指标为SCORE、上下经络Kmean差及最薄点后抬高(SS-OCT)、高度分散指数、垂直不对称指数和BAD-D (RSC)。SS-OCT分类将轻度KC定义为Kmax≤50.9 D,最薄点后抬高≤30,最薄点厚度≥472 μm。中重度分别为51 ~ 55.9 D、31 ~ 69和471 ~ 438 μm,晚期分别为≥56 D、≥70和≤437 μm。结论:两种仪器的诊断能力具有可比性。SS-OCT可以根据角膜前、后表面和角膜厚度独立进行KC分类。
本文章由计算机程序翻译,如有差异,请以英文原文为准。
求助全文
约1分钟内获得全文 求助全文
来源期刊
CiteScore
5.10
自引率
13.80%
发文量
135
审稿时长
6-12 weeks
期刊介绍: Ophthalmic & Physiological Optics, first published in 1925, is a leading international interdisciplinary journal that addresses basic and applied questions pertinent to contemporary research in vision science and optometry. OPO publishes original research papers, technical notes, reviews and letters and will interest researchers, educators and clinicians concerned with the development, use and restoration of vision.
×
引用
GB/T 7714-2015
复制
MLA
复制
APA
复制
导出至
BibTeX EndNote RefMan NoteFirst NoteExpress
×
提示
您的信息不完整,为了账户安全,请先补充。
现在去补充
×
提示
您因"违规操作"
具体请查看互助需知
我知道了
×
提示
确定
请完成安全验证×
copy
已复制链接
快去分享给好友吧!
我知道了
右上角分享
点击右上角分享
0
联系我们:info@booksci.cn Book学术提供免费学术资源搜索服务,方便国内外学者检索中英文文献。致力于提供最便捷和优质的服务体验。 Copyright © 2023 布克学术 All rights reserved.
京ICP备2023020795号-1
ghs 京公网安备 11010802042870号
Book学术文献互助
Book学术文献互助群
群 号:604180095
Book学术官方微信