The implementation of speckle tracking echocardiography for cardiac resynchronization therapy optimisation. A rotational myocardial mechanics interpretation.

IF 2.4 Q2 CARDIAC & CARDIOVASCULAR SYSTEMS
Alexandros Stefanidis, Paraskevi Korlou, Panagiotis Margos, Ignatios Ikonomidis, Ioannis Paraskevaidis, Konstantinos Gatzoulis, Evmorfia Aivalioti, Konstantinos Kostopoulos
{"title":"The implementation of speckle tracking echocardiography for cardiac resynchronization therapy optimisation. A rotational myocardial mechanics interpretation.","authors":"Alexandros Stefanidis, Paraskevi Korlou, Panagiotis Margos, Ignatios Ikonomidis, Ioannis Paraskevaidis, Konstantinos Gatzoulis, Evmorfia Aivalioti, Konstantinos Kostopoulos","doi":"10.1186/s44156-024-00062-z","DOIUrl":null,"url":null,"abstract":"<p><strong>Background: </strong>Cardiac resynchronization therapy (CRT) has an additive therapeutic influence on left ventricular function in heart failure patients, but the underlying mechanisms through which it works are not completely explained. Our aim was to further elucidate the role of this intervention via rotational mechanics using 2D speckle tracking echocardiography (2D-STE).</p><p><strong>Results: </strong>We investigated 46 patients (65 ± 9 years) who received CRT. All enrolled patients were assessed on admission by 2D-STE and 6 min walk test (6 min WT) and followed in the outpatient device clinic by 2D-STE (at 1 week and 6 months post-implantation) and 6 min WT (at 6 months post-implantation). On their first appointment all biventricular systems were optimised by atrioventricular delay optimisation and by changing the temporal activation of ventricular electrodes aiming to reach the highest left ventricular effective stroke volume across all activation options. A new 2D-STE based index (twist integral) targeting to assess the rotational mechanics of the whole cardiac cycle was also measured to further explain the CRT response. Twenty-two (48%) patients were responders at 6-month follow-up and most of them had dilated cardiomyopathy. The commonest selected mode that was related with the greatest left ventricular performance response was the simultaneous activation of the 2 ventricular leads (39%). The strongest predictor of CRT response was the improvement of effective stroke volume between admission and first appointment at clinic, followed by the improvement of twist integral, the absence of coronary artery disease, and the improvement of peak systolic twist.</p><p><strong>Conclusions: </strong>Additional CRT optimisation via changing the temporal activation of ventricular electrodes is beneficial for left ventricular performance in heart failure patients. The success of biventricular pacing may also be explained by the improvement of left ventricular rotational mechanics.</p>","PeriodicalId":45749,"journal":{"name":"Echo Research and Practice","volume":"11 1","pages":"28"},"PeriodicalIF":2.4000,"publicationDate":"2024-12-02","publicationTypes":"Journal Article","fieldsOfStudy":null,"isOpenAccess":false,"openAccessPdf":"https://www.ncbi.nlm.nih.gov/pmc/articles/PMC11610125/pdf/","citationCount":"0","resultStr":null,"platform":"Semanticscholar","paperid":null,"PeriodicalName":"Echo Research and Practice","FirstCategoryId":"1085","ListUrlMain":"https://doi.org/10.1186/s44156-024-00062-z","RegionNum":0,"RegionCategory":null,"ArticlePicture":[],"TitleCN":null,"AbstractTextCN":null,"PMCID":null,"EPubDate":"","PubModel":"","JCR":"Q2","JCRName":"CARDIAC & CARDIOVASCULAR SYSTEMS","Score":null,"Total":0}
引用次数: 0

Abstract

Background: Cardiac resynchronization therapy (CRT) has an additive therapeutic influence on left ventricular function in heart failure patients, but the underlying mechanisms through which it works are not completely explained. Our aim was to further elucidate the role of this intervention via rotational mechanics using 2D speckle tracking echocardiography (2D-STE).

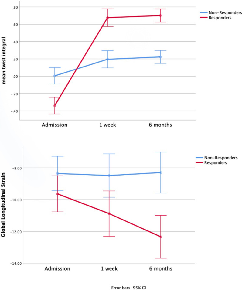
Results: We investigated 46 patients (65 ± 9 years) who received CRT. All enrolled patients were assessed on admission by 2D-STE and 6 min walk test (6 min WT) and followed in the outpatient device clinic by 2D-STE (at 1 week and 6 months post-implantation) and 6 min WT (at 6 months post-implantation). On their first appointment all biventricular systems were optimised by atrioventricular delay optimisation and by changing the temporal activation of ventricular electrodes aiming to reach the highest left ventricular effective stroke volume across all activation options. A new 2D-STE based index (twist integral) targeting to assess the rotational mechanics of the whole cardiac cycle was also measured to further explain the CRT response. Twenty-two (48%) patients were responders at 6-month follow-up and most of them had dilated cardiomyopathy. The commonest selected mode that was related with the greatest left ventricular performance response was the simultaneous activation of the 2 ventricular leads (39%). The strongest predictor of CRT response was the improvement of effective stroke volume between admission and first appointment at clinic, followed by the improvement of twist integral, the absence of coronary artery disease, and the improvement of peak systolic twist.

Conclusions: Additional CRT optimisation via changing the temporal activation of ventricular electrodes is beneficial for left ventricular performance in heart failure patients. The success of biventricular pacing may also be explained by the improvement of left ventricular rotational mechanics.

Abstract Image

Abstract Image

Abstract Image

斑点跟踪超声心动图在心脏再同步化治疗优化中的应用。旋转心肌力学解释。
背景:心脏再同步化治疗(CRT)对心力衰竭患者的左心室功能具有附加治疗作用,但其作用的潜在机制尚未完全解释。我们的目的是通过使用二维散斑跟踪超声心动图(2D- ste)的旋转力学进一步阐明这种干预的作用。结果:本组患者46例(65±9岁)接受CRT治疗。所有入组患者在入院时通过2D-STE和6分钟步行测试(6分钟WT)进行评估,并在门诊设备诊所进行2D-STE(植入后1周和6个月)和6分钟WT(植入后6个月)。在他们的第一次预约中,通过房室延迟优化和通过改变心室电极的时间激活来优化所有双心室系统,旨在达到所有激活选项中最高的左心室有效脑卒中容积。我们还测量了一种新的基于2D-STE的指标(扭转积分),旨在评估整个心脏周期的旋转力学,以进一步解释CRT反应。22例(48%)患者在6个月的随访中有反应,其中大多数患有扩张型心肌病。与最大左心室表现反应相关的最常见的选择模式是同时激活2个心室导联(39%)。CRT反应的最强预测因子是入院至首次预约之间有效脑卒中容量的改善,其次是扭转积分的改善、冠状动脉疾病的消失和收缩扭转峰值的改善。结论:通过改变心室电极的时间激活来优化额外的CRT有利于心力衰竭患者的左心室功能。双心室起搏的成功也可以通过左心室旋转力学的改善来解释。
本文章由计算机程序翻译,如有差异,请以英文原文为准。
求助全文
约1分钟内获得全文 求助全文
来源期刊
Echo Research and Practice
Echo Research and Practice CARDIAC & CARDIOVASCULAR SYSTEMS-
CiteScore
6.70
自引率
12.70%
发文量
11
审稿时长
8 weeks
期刊介绍: Echo Research and Practice aims to be the premier international journal for physicians, sonographers, nurses and other allied health professionals practising echocardiography and other cardiac imaging modalities. This open-access journal publishes quality clinical and basic research, reviews, videos, education materials and selected high-interest case reports and videos across all echocardiography modalities and disciplines, including paediatrics, anaesthetics, general practice, acute medicine and intensive care. Multi-modality studies primarily featuring the use of cardiac ultrasound in clinical practice, in association with Cardiac Computed Tomography, Cardiovascular Magnetic Resonance or Nuclear Cardiology are of interest. Topics include, but are not limited to: 2D echocardiography 3D echocardiography Comparative imaging techniques – CCT, CMR and Nuclear Cardiology Congenital heart disease, including foetal echocardiography Contrast echocardiography Critical care echocardiography Deformation imaging Doppler echocardiography Interventional echocardiography Intracardiac echocardiography Intraoperative echocardiography Prosthetic valves Stress echocardiography Technical innovations Transoesophageal echocardiography Valve disease.
×
引用
GB/T 7714-2015
复制
MLA
复制
APA
复制
导出至
BibTeX EndNote RefMan NoteFirst NoteExpress
×
提示
您的信息不完整,为了账户安全,请先补充。
现在去补充
×
提示
您因"违规操作"
具体请查看互助需知
我知道了
×
提示
确定
请完成安全验证×
copy
已复制链接
快去分享给好友吧!
我知道了
右上角分享
点击右上角分享
0
联系我们:info@booksci.cn Book学术提供免费学术资源搜索服务,方便国内外学者检索中英文文献。致力于提供最便捷和优质的服务体验。 Copyright © 2023 布克学术 All rights reserved.
京ICP备2023020795号-1
ghs 京公网安备 11010802042870号
Book学术文献互助
Book学术文献互助群
群 号:604180095
Book学术官方微信