Exploring Traits Associated With Central Sensitization Features in Patients With Chronic Cough.

IF 4.3 2区 医学 Q2 ALLERGY
Haesung Jun, Jin Young Park, Ji-Yoon Oh, Ha-Kyeong Won, Sung-Yoon Kang, So-Young Park, Byung-Keun Kim, Mi-Yeong Kim, Young-Chan Kim, Hwa Young Lee, Eun-Jung Jo, Seung-Eun Lee, Sae-Hoon Kim, Sang-Heon Kim, Yoon-Seok Chang, Sang-Hoon Kim, Byung-Jae Lee, Kian Fan Chung, Woo-Jung Song
{"title":"Exploring Traits Associated With Central Sensitization Features in Patients With Chronic Cough.","authors":"Haesung Jun, Jin Young Park, Ji-Yoon Oh, Ha-Kyeong Won, Sung-Yoon Kang, So-Young Park, Byung-Keun Kim, Mi-Yeong Kim, Young-Chan Kim, Hwa Young Lee, Eun-Jung Jo, Seung-Eun Lee, Sae-Hoon Kim, Sang-Heon Kim, Yoon-Seok Chang, Sang-Hoon Kim, Byung-Jae Lee, Kian Fan Chung, Woo-Jung Song","doi":"10.4168/aair.2024.16.6.690","DOIUrl":null,"url":null,"abstract":"<p><p>The concept of cough hypersensitivity suggests that central sensitization plays a role in the pathophysiology of chronic cough. However, it remains unclear which traits are associated with central sensitization features in patients with chronic cough. A cohort of 317 Korean patients with newly referred chronic cough underwent clinical evaluations. The Central Sensitization Inventory (CSI), a questionnaire originally developed as a screening tool to identify patients with Central Sensitization Syndrome, was also administered. Other patient-reported outcomes (PROs), such as the cough severity visual analogue scale, Leicester Cough Questionnaire (LCQ), Cough Hypersensitivity Questionnaire (CHQ), and the Center for Epidemiological Studies Depression (CES-D) scale, were also administered. Follow-up assessments were conducted one month later. At baseline, the presence of CSI scores of ≥ 40 was associated with being female (89.6% vs. 63.4%; <i>P</i> < 0.001), older age, concomitant symptoms, and cough-related complications. CSI scores correlated with PRO scores, including LCQ (<i>r</i> = -0.424, <i>P</i> < 0.001), CHQ (<i>r</i> = 0.373, <i>P</i> < 0.001), and CES-D (<i>r</i> = -0.660, <i>P</i> < 0.001). Their patterns of correlations were similar in the 1-month longitudinal follow-up data analysis. In conclusion, CSI scores in patients with chronic cough correlated with cough-specific and depression-related PROs, suggesting the potential relevance of central sensitization in certain phenotypes of chronic cough.</p>","PeriodicalId":7547,"journal":{"name":"Allergy, Asthma & Immunology Research","volume":"16 6","pages":"690-700"},"PeriodicalIF":4.3000,"publicationDate":"2024-11-01","publicationTypes":"Journal Article","fieldsOfStudy":null,"isOpenAccess":false,"openAccessPdf":"https://www.ncbi.nlm.nih.gov/pmc/articles/PMC11621473/pdf/","citationCount":"0","resultStr":null,"platform":"Semanticscholar","paperid":null,"PeriodicalName":"Allergy, Asthma & Immunology Research","FirstCategoryId":"3","ListUrlMain":"https://doi.org/10.4168/aair.2024.16.6.690","RegionNum":2,"RegionCategory":"医学","ArticlePicture":[],"TitleCN":null,"AbstractTextCN":null,"PMCID":null,"EPubDate":"","PubModel":"","JCR":"Q2","JCRName":"ALLERGY","Score":null,"Total":0}
引用次数: 0

Abstract

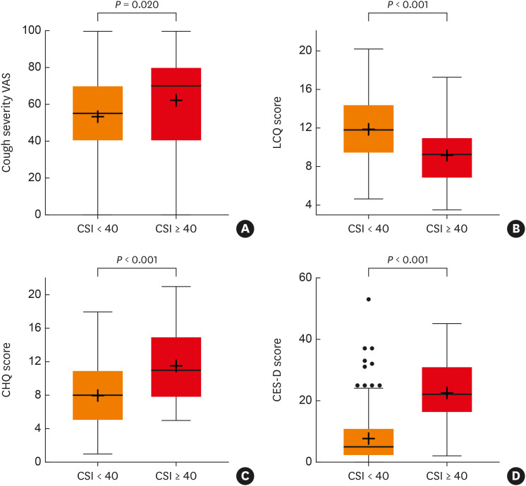
The concept of cough hypersensitivity suggests that central sensitization plays a role in the pathophysiology of chronic cough. However, it remains unclear which traits are associated with central sensitization features in patients with chronic cough. A cohort of 317 Korean patients with newly referred chronic cough underwent clinical evaluations. The Central Sensitization Inventory (CSI), a questionnaire originally developed as a screening tool to identify patients with Central Sensitization Syndrome, was also administered. Other patient-reported outcomes (PROs), such as the cough severity visual analogue scale, Leicester Cough Questionnaire (LCQ), Cough Hypersensitivity Questionnaire (CHQ), and the Center for Epidemiological Studies Depression (CES-D) scale, were also administered. Follow-up assessments were conducted one month later. At baseline, the presence of CSI scores of ≥ 40 was associated with being female (89.6% vs. 63.4%; P < 0.001), older age, concomitant symptoms, and cough-related complications. CSI scores correlated with PRO scores, including LCQ (r = -0.424, P < 0.001), CHQ (r = 0.373, P < 0.001), and CES-D (r = -0.660, P < 0.001). Their patterns of correlations were similar in the 1-month longitudinal follow-up data analysis. In conclusion, CSI scores in patients with chronic cough correlated with cough-specific and depression-related PROs, suggesting the potential relevance of central sensitization in certain phenotypes of chronic cough.

Abstract Image

Abstract Image

Abstract Image

探讨慢性咳嗽患者中枢致敏特征的相关特征。
咳嗽超敏的概念提示中枢致敏在慢性咳嗽的病理生理中起作用。然而,目前尚不清楚哪些特征与慢性咳嗽患者的中枢致敏特征有关。对317名新近转诊的韩国慢性咳嗽患者进行了临床评估。中心致敏性量表(CSI)是一种问卷调查,最初是作为识别中枢致敏性综合征患者的筛查工具而开发的。其他患者报告的结果(PROs),如咳嗽严重程度视觉模拟量表、莱斯特咳嗽问卷(LCQ)、咳嗽过敏问卷(CHQ)和流行病学研究中心抑郁量表(CES-D)。一个月后进行随访评估。在基线时,CSI评分≥40与女性相关(89.6% vs. 63.4%;P < 0.001)、年龄、伴随症状和咳嗽相关并发症。CSI得分与PRO得分相关,包括LCQ (r = -0.424, P < 0.001)、CHQ (r = 0.373, P < 0.001)和CES-D (r = -0.660, P < 0.001)。在1个月的纵向随访数据分析中,他们的相关性模式相似。综上所述,慢性咳嗽患者的CSI评分与咳嗽特异性和抑郁相关的PROs相关,提示中枢致敏与某些慢性咳嗽表型的潜在相关性。
本文章由计算机程序翻译,如有差异,请以英文原文为准。
求助全文
约1分钟内获得全文 求助全文
来源期刊
CiteScore
6.10
自引率
6.80%
发文量
53
审稿时长
>12 weeks
期刊介绍: The journal features cutting-edge original research, brief communications, and state-of-the-art reviews in the specialties of allergy, asthma, and immunology, including clinical and experimental studies and instructive case reports. Contemporary reviews summarize information on topics for researchers and physicians in the fields of allergy and immunology. As of January 2017, AAIR do not accept case reports. However, if it is a clinically important case, authors can submit it in the form of letter to the Editor. Editorials and letters to the Editor explore controversial issues and encourage further discussion among physicians dealing with allergy, immunology, pediatric respirology, and related medical fields. AAIR also features topics in practice and management and recent advances in equipment and techniques for clinicians concerned with clinical manifestations of allergies and pediatric respiratory diseases.
×
引用
GB/T 7714-2015
复制
MLA
复制
APA
复制
导出至
BibTeX EndNote RefMan NoteFirst NoteExpress
×
提示
您的信息不完整,为了账户安全,请先补充。
现在去补充
×
提示
您因"违规操作"
具体请查看互助需知
我知道了
×
提示
确定
请完成安全验证×
copy
已复制链接
快去分享给好友吧!
我知道了
右上角分享
点击右上角分享
0
联系我们:info@booksci.cn Book学术提供免费学术资源搜索服务,方便国内外学者检索中英文文献。致力于提供最便捷和优质的服务体验。 Copyright © 2023 布克学术 All rights reserved.
京ICP备2023020795号-1
ghs 京公网安备 11010802042870号
Book学术文献互助
Book学术文献互助群
群 号:604180095
Book学术官方微信