A Novel Approach to Peripheral Nerve Regeneration: Local FK-506 Delivery Using a Reservoir Flap Model.

IF 2.8 4区 医学 Q1 MEDICINE, GENERAL & INTERNAL
Jong Won Hong, Jung Hyun Lim, Eun Hye Kang, Young Seok Kim
{"title":"A Novel Approach to Peripheral Nerve Regeneration: Local FK-506 Delivery Using a Reservoir Flap Model.","authors":"Jong Won Hong, Jung Hyun Lim, Eun Hye Kang, Young Seok Kim","doi":"10.3349/ymj.2024.0351","DOIUrl":null,"url":null,"abstract":"<p><strong>Purpose: </strong>Peripheral nerve injuries can lead to lasting functional impairments, impacting movement and quality of life. FK-506, a widely used immunosuppressant, has demonstrated potential in promoting nerve regeneration in addition to its immunosuppressive effects. This study investigates the use of a local reservoir flap to deliver FK-506 directly to the nerve injury site, aiming to enhance nerve regeneration while minimizing systemic immunosuppression.</p><p><strong>Materials and methods: </strong>Sciatic nerve injuries were surgically induced in 24 rats, which were divided into control, 0.5 mg/kg FK-506 (Exp 1), and 2.0 mg/kg FK-506 (Exp 2) groups. A superficial inferior epigastric artery flap served as a reservoir for FK-506, allowing direct delivery to the injury site. FK-506 was administered intermittently over a 4-week period. Outcomes included the Sciatic Functional Index (SFI), muscle recovery (width and weight), nerve morphology, expression of neurogenic markers such as GDNF, immune cell counts, and body weight.</p><p><strong>Results: </strong>Exp 1 (0.5 mg/kg) demonstrated significant improvements in SFI, GDNF expression, and muscle width compared to the control and high-dose groups. These findings suggest that FK-506 administration via a reservoir flap, particularly at a lower dose, supports effective nerve regeneration. Additionally, FK-506 treatment did not result in significant changes in immune cell profiles or body weight, indicating minimal systemic effects.</p><p><strong>Conclusion: </strong>Localized FK-506 administration via a reservoir flap effectively enhances peripheral nerve regeneration and minimizes systemic immunosuppression, making it a promising approach for clinical application in treating peripheral nerve injuries.</p>","PeriodicalId":23765,"journal":{"name":"Yonsei Medical Journal","volume":"65 12","pages":"718-726"},"PeriodicalIF":2.8000,"publicationDate":"2024-12-01","publicationTypes":"Journal Article","fieldsOfStudy":null,"isOpenAccess":false,"openAccessPdf":"https://www.ncbi.nlm.nih.gov/pmc/articles/PMC11605046/pdf/","citationCount":"0","resultStr":null,"platform":"Semanticscholar","paperid":null,"PeriodicalName":"Yonsei Medical Journal","FirstCategoryId":"3","ListUrlMain":"https://doi.org/10.3349/ymj.2024.0351","RegionNum":4,"RegionCategory":"医学","ArticlePicture":[],"TitleCN":null,"AbstractTextCN":null,"PMCID":null,"EPubDate":"","PubModel":"","JCR":"Q1","JCRName":"MEDICINE, GENERAL & INTERNAL","Score":null,"Total":0}
引用次数: 0

Abstract

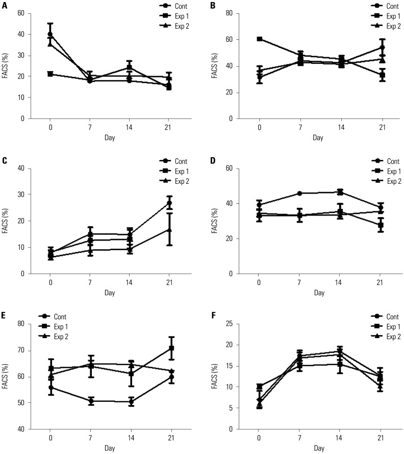
Purpose: Peripheral nerve injuries can lead to lasting functional impairments, impacting movement and quality of life. FK-506, a widely used immunosuppressant, has demonstrated potential in promoting nerve regeneration in addition to its immunosuppressive effects. This study investigates the use of a local reservoir flap to deliver FK-506 directly to the nerve injury site, aiming to enhance nerve regeneration while minimizing systemic immunosuppression.

Materials and methods: Sciatic nerve injuries were surgically induced in 24 rats, which were divided into control, 0.5 mg/kg FK-506 (Exp 1), and 2.0 mg/kg FK-506 (Exp 2) groups. A superficial inferior epigastric artery flap served as a reservoir for FK-506, allowing direct delivery to the injury site. FK-506 was administered intermittently over a 4-week period. Outcomes included the Sciatic Functional Index (SFI), muscle recovery (width and weight), nerve morphology, expression of neurogenic markers such as GDNF, immune cell counts, and body weight.

Results: Exp 1 (0.5 mg/kg) demonstrated significant improvements in SFI, GDNF expression, and muscle width compared to the control and high-dose groups. These findings suggest that FK-506 administration via a reservoir flap, particularly at a lower dose, supports effective nerve regeneration. Additionally, FK-506 treatment did not result in significant changes in immune cell profiles or body weight, indicating minimal systemic effects.

Conclusion: Localized FK-506 administration via a reservoir flap effectively enhances peripheral nerve regeneration and minimizes systemic immunosuppression, making it a promising approach for clinical application in treating peripheral nerve injuries.

Abstract Image

Abstract Image

Abstract Image

周围神经再生的新方法:利用储层皮瓣模型局部递送FK-506。
目的:周围神经损伤可导致持久的功能障碍,影响运动和生活质量。FK-506是一种广泛使用的免疫抑制剂,除具有免疫抑制作用外,还具有促进神经再生的潜力。本研究探讨了使用局部水库皮瓣将FK-506直接递送到神经损伤部位,旨在增强神经再生,同时最大限度地减少全身免疫抑制。材料与方法:将24只大鼠手术诱导坐骨神经损伤,分为对照组、0.5 mg/kg FK-506(实验1)组和2.0 mg/kg FK-506(实验2)组。腹壁下浅动脉皮瓣作为FK-506的储存库,允许直接递送到损伤部位。FK-506在4周的时间内间歇性给药。结果包括坐骨功能指数(SFI)、肌肉恢复(宽度和重量)、神经形态、神经源性标志物(如GDNF)的表达、免疫细胞计数和体重。结果:与对照组和高剂量组相比,Exp 1 (0.5 mg/kg)显著改善了SFI、GDNF表达和肌肉宽度。这些发现表明,通过储层皮瓣给药FK-506,特别是在较低剂量下,支持有效的神经再生。此外,FK-506治疗没有导致免疫细胞谱或体重的显着变化,表明最小的全身效应。结论:经储层皮瓣局部给药FK-506可有效促进周围神经再生,减少全身免疫抑制,是治疗周围神经损伤的一种有前景的临床方法。
本文章由计算机程序翻译,如有差异,请以英文原文为准。
求助全文
约1分钟内获得全文 求助全文
来源期刊
Yonsei Medical Journal
Yonsei Medical Journal 医学-医学:内科
CiteScore
4.50
自引率
0.00%
发文量
167
审稿时长
3 months
期刊介绍: The goal of the Yonsei Medical Journal (YMJ) is to publish high quality manuscripts dedicated to clinical or basic research. Any authors affiliated with an accredited biomedical institution may submit manuscripts of original articles, review articles, case reports, brief communications, and letters to the Editor.
×
引用
GB/T 7714-2015
复制
MLA
复制
APA
复制
导出至
BibTeX EndNote RefMan NoteFirst NoteExpress
×
提示
您的信息不完整,为了账户安全,请先补充。
现在去补充
×
提示
您因"违规操作"
具体请查看互助需知
我知道了
×
提示
确定
请完成安全验证×
copy
已复制链接
快去分享给好友吧!
我知道了
右上角分享
点击右上角分享
0
联系我们:info@booksci.cn Book学术提供免费学术资源搜索服务,方便国内外学者检索中英文文献。致力于提供最便捷和优质的服务体验。 Copyright © 2023 布克学术 All rights reserved.
京ICP备2023020795号-1
ghs 京公网安备 11010802042870号
Book学术文献互助
Book学术文献互助群
群 号:604180095
Book学术官方微信