Diagnostic validation of the urine albumin-to-creatinine ratio for early renal disease in healthy dogs and dogs with chronic kidney disease.

IF 1.5 3区 农林科学 Q2 VETERINARY SCIENCES
Soo-Yeol Lee, Ye-Eun Cha, Hyun-Min Kang, Dong-Jae Kang, Min-Hee Kang, Hee-Myung Park
{"title":"Diagnostic validation of the urine albumin-to-creatinine ratio for early renal disease in healthy dogs and dogs with chronic kidney disease.","authors":"Soo-Yeol Lee, Ye-Eun Cha, Hyun-Min Kang, Dong-Jae Kang, Min-Hee Kang, Hee-Myung Park","doi":"10.4142/jvs.24183","DOIUrl":null,"url":null,"abstract":"<p><strong>Importance: </strong>This paper highlights the urine albumin-to-creatinine ratio (UAC) as a valuable biomarker for the early detection of chronic kidney disease (CKD) in dogs. The UAC effectively distinguishes between healthy dogs and those with CKD, particularly in the early stages, and enhances diagnostic accuracy when used alongside other renal biomarkers.</p><p><strong>Objective: </strong>To evaluate the utility of the UAC as a biomarker for early CKD diagnosis in dogs and examine its correlation with other renal biomarkers in a large-scale clinical study.</p><p><strong>Methods: </strong>This study included 99 healthy dogs and 122 dogs with CKD. The UAC and other renal biomarkers were measured and evaluated in healthy dogs and those with CKD and categorized according to the staging criteria of the International Renal Interest Society (IRIS).</p><p><strong>Results: </strong>Dogs with CKD had significantly higher UACs than healthy dogs (<i>p</i> < 0.05). The UAC correlated with the IRIS stages and other renal biomarkers (<i>p</i> < 0.05). Receiver operating characteristic curve analysis yielded an area under the curve of 0.817 (<i>p</i> < 0.05) for the UAC, with a cut-off value of 19.20 mg/g, showing 72% sensitivity and 71% specificity. A \"grey zone\" diagnostic window for early-stage CKD was introduced.</p><p><strong>Conclusions and relevance: </strong>The UAC is effective for the early diagnosis of renal disease in dogs. The UAC can differentiate between healthy dogs and those with CKD at IRIS stage 1. The diagnostic value is enhanced when used alongside other renal biomarkers, allowing for more specific guidelines for pet owners and veterinarians. This large-scale study addresses the limitations of previous research conducted on small clinical samples.</p>","PeriodicalId":17557,"journal":{"name":"Journal of Veterinary Science","volume":"25 6","pages":"e77"},"PeriodicalIF":1.5000,"publicationDate":"2024-11-01","publicationTypes":"Journal Article","fieldsOfStudy":null,"isOpenAccess":false,"openAccessPdf":"https://www.ncbi.nlm.nih.gov/pmc/articles/PMC11611491/pdf/","citationCount":"0","resultStr":null,"platform":"Semanticscholar","paperid":null,"PeriodicalName":"Journal of Veterinary Science","FirstCategoryId":"97","ListUrlMain":"https://doi.org/10.4142/jvs.24183","RegionNum":3,"RegionCategory":"农林科学","ArticlePicture":[],"TitleCN":null,"AbstractTextCN":null,"PMCID":null,"EPubDate":"","PubModel":"","JCR":"Q2","JCRName":"VETERINARY SCIENCES","Score":null,"Total":0}
引用次数: 0

Abstract

Importance: This paper highlights the urine albumin-to-creatinine ratio (UAC) as a valuable biomarker for the early detection of chronic kidney disease (CKD) in dogs. The UAC effectively distinguishes between healthy dogs and those with CKD, particularly in the early stages, and enhances diagnostic accuracy when used alongside other renal biomarkers.

Objective: To evaluate the utility of the UAC as a biomarker for early CKD diagnosis in dogs and examine its correlation with other renal biomarkers in a large-scale clinical study.

Methods: This study included 99 healthy dogs and 122 dogs with CKD. The UAC and other renal biomarkers were measured and evaluated in healthy dogs and those with CKD and categorized according to the staging criteria of the International Renal Interest Society (IRIS).

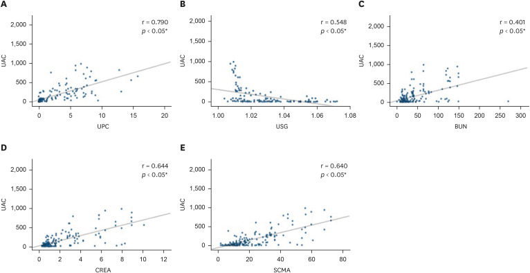
Results: Dogs with CKD had significantly higher UACs than healthy dogs (p < 0.05). The UAC correlated with the IRIS stages and other renal biomarkers (p < 0.05). Receiver operating characteristic curve analysis yielded an area under the curve of 0.817 (p < 0.05) for the UAC, with a cut-off value of 19.20 mg/g, showing 72% sensitivity and 71% specificity. A "grey zone" diagnostic window for early-stage CKD was introduced.

Conclusions and relevance: The UAC is effective for the early diagnosis of renal disease in dogs. The UAC can differentiate between healthy dogs and those with CKD at IRIS stage 1. The diagnostic value is enhanced when used alongside other renal biomarkers, allowing for more specific guidelines for pet owners and veterinarians. This large-scale study addresses the limitations of previous research conducted on small clinical samples.

Abstract Image

Abstract Image

Abstract Image

尿白蛋白与肌酐比值对健康犬和慢性肾病犬早期肾病的诊断验证
重要性:本文强调尿白蛋白与肌酐比值(UAC)是犬慢性肾脏疾病(CKD)早期检测的有价值的生物标志物。UAC可以有效地区分健康狗和CKD患者,特别是在早期阶段,并且当与其他肾脏生物标志物一起使用时,可以提高诊断的准确性。目的:在一项大规模的临床研究中,评估UAC作为狗早期CKD诊断的生物标志物的效用,并研究其与其他肾脏生物标志物的相关性。方法:以99只健康犬和122只CKD犬为研究对象。在健康犬和CKD患者中测量和评估UAC和其他肾脏生物标志物,并根据国际肾脏利益协会(IRIS)的分期标准进行分类。结果:CKD犬UACs明显高于健康犬(p < 0.05)。UAC与IRIS分期及其他肾脏生物标志物相关(p < 0.05)。受试者工作特征曲线分析显示,UAC的曲线下面积为0.817 (p < 0.05),截止值为19.20 mg/g,敏感性72%,特异性71%。介绍了早期CKD的“灰色地带”诊断窗口。结论及意义:UAC对犬肾脏疾病的早期诊断是有效的。UAC可以在IRIS 1期区分健康犬和CKD犬。当与其他肾脏生物标志物一起使用时,诊断价值得到增强,为宠物主人和兽医提供更具体的指导。这项大规模的研究解决了以前在小临床样本上进行的研究的局限性。
本文章由计算机程序翻译,如有差异,请以英文原文为准。
求助全文
约1分钟内获得全文 求助全文
来源期刊
Journal of Veterinary Science
Journal of Veterinary Science 农林科学-兽医学
CiteScore
3.10
自引率
5.60%
发文量
86
审稿时长
1.3 months
期刊介绍: The Journal of Veterinary Science (J Vet Sci) is devoted to the advancement and dissemination of scientific knowledge concerning veterinary sciences and related academic disciplines. It is an international journal indexed in the Thomson Scientific Web of Science, SCI-EXPANDED, Sci Search, BIOSIS Previews, Biological Abstracts, Focus on: Veterinary Science & Medicine, Zoological Record, PubMed /MEDLINE, Index Medicus, Pubmed Central, CAB Abstracts / Index Veterinarius, EBSCO, AGRIS and AGRICOLA. This journal published in English by the Korean Society of Veterinary Science (KSVS) being distributed worldwide.
×
引用
GB/T 7714-2015
复制
MLA
复制
APA
复制
导出至
BibTeX EndNote RefMan NoteFirst NoteExpress
×
提示
您的信息不完整,为了账户安全,请先补充。
现在去补充
×
提示
您因"违规操作"
具体请查看互助需知
我知道了
×
提示
确定
请完成安全验证×
copy
已复制链接
快去分享给好友吧!
我知道了
右上角分享
点击右上角分享
0
联系我们:info@booksci.cn Book学术提供免费学术资源搜索服务,方便国内外学者检索中英文文献。致力于提供最便捷和优质的服务体验。 Copyright © 2023 布克学术 All rights reserved.
京ICP备2023020795号-1
ghs 京公网安备 11010802042870号
Book学术文献互助
Book学术文献互助群
群 号:604180095
Book学术官方微信