Early structured communication between general practitioner, sick-listed patient, and employer: Results and lessons learned from a pragmatic trial in the Capacity Note project.

IF 1.7
Paula Nordling, Chioma Nwaru, Lena Nordeman, Ingmarie Skoglund, Maria E H Larsson, Cecilia Björkelund, Gunnel Hensing
{"title":"Early structured communication between general practitioner, sick-listed patient, and employer: Results and lessons learned from a pragmatic trial in the Capacity Note project.","authors":"Paula Nordling, Chioma Nwaru, Lena Nordeman, Ingmarie Skoglund, Maria E H Larsson, Cecilia Björkelund, Gunnel Hensing","doi":"10.1017/S1463423624000574","DOIUrl":null,"url":null,"abstract":"<p><strong>Background and objective: </strong>Early and collaborative interventions are desirable to prevent long-term sick leave and promote sustainable return-to-work (RTW). The aim of this study was to evaluate if the use of the Capacity Note - a brief intervention promoting early and structured communication between general practitioners (GPs), patients, and employers - had an impact on length of sick leave in patients with common mental disorders (CMDs) in primary healthcare.</p><p><strong>Method: </strong>In a pragmatic trial, GPs at eight primary healthcare centres were randomized to provide the intervention or control and recruited eligible patients: employed women and men, 18-64 years, who visited a GP due to CMD and became or were (<4 months) full- or part-time sick-listed. Patients in the intervention group (n=28) used the Capacity Note in addition to usual care. Patients in the control group (n=28) received usual care. Outcomes of interest were time until full RTW, sick leave status at end of follow-up (17 months), number of sick leave episodes during follow-up, and number of sick leave days at 6, 12, and 17 months of follow-up.</p><p><strong>Results: </strong>The proportion of patients with full RTW at the end of follow-up was 79.2% in the intervention group and 84.6% in the control group. Time until full RTW was 102 and 90 days (median) in intervention and control group, respectively. We found no statistically significant differences between the groups for any of the outcomes.</p><p><strong>Discussion: </strong>Despite efforts to increase the number of participants, the study ended up with a small sample. This prohibited us from drawing any final conclusions about the effect of the intervention. Obstacles to recruitment of patients and use of the intervention are discussed.</p>","PeriodicalId":74493,"journal":{"name":"Primary health care research & development","volume":"25 ","pages":"e64"},"PeriodicalIF":1.7000,"publicationDate":"2024-11-28","publicationTypes":"Journal Article","fieldsOfStudy":null,"isOpenAccess":false,"openAccessPdf":"https://www.ncbi.nlm.nih.gov/pmc/articles/PMC11669804/pdf/","citationCount":"0","resultStr":null,"platform":"Semanticscholar","paperid":null,"PeriodicalName":"Primary health care research & development","FirstCategoryId":"1085","ListUrlMain":"https://doi.org/10.1017/S1463423624000574","RegionNum":0,"RegionCategory":null,"ArticlePicture":[],"TitleCN":null,"AbstractTextCN":null,"PMCID":null,"EPubDate":"","PubModel":"","JCR":"","JCRName":"","Score":null,"Total":0}
引用次数: 0

Abstract

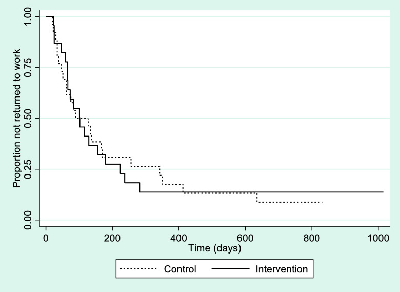
Background and objective: Early and collaborative interventions are desirable to prevent long-term sick leave and promote sustainable return-to-work (RTW). The aim of this study was to evaluate if the use of the Capacity Note - a brief intervention promoting early and structured communication between general practitioners (GPs), patients, and employers - had an impact on length of sick leave in patients with common mental disorders (CMDs) in primary healthcare.

Method: In a pragmatic trial, GPs at eight primary healthcare centres were randomized to provide the intervention or control and recruited eligible patients: employed women and men, 18-64 years, who visited a GP due to CMD and became or were (<4 months) full- or part-time sick-listed. Patients in the intervention group (n=28) used the Capacity Note in addition to usual care. Patients in the control group (n=28) received usual care. Outcomes of interest were time until full RTW, sick leave status at end of follow-up (17 months), number of sick leave episodes during follow-up, and number of sick leave days at 6, 12, and 17 months of follow-up.

Results: The proportion of patients with full RTW at the end of follow-up was 79.2% in the intervention group and 84.6% in the control group. Time until full RTW was 102 and 90 days (median) in intervention and control group, respectively. We found no statistically significant differences between the groups for any of the outcomes.

Discussion: Despite efforts to increase the number of participants, the study ended up with a small sample. This prohibited us from drawing any final conclusions about the effect of the intervention. Obstacles to recruitment of patients and use of the intervention are discussed.

Abstract Image

Abstract Image

Abstract Image

全科医生、病历病人和雇主之间的早期结构化沟通:从 "能力说明 "项目的实用试验中获得的结果和经验教训。
背景和目的:为预防长期病假并促进可持续的重返工作岗位(RTW),最好及早采取合作性干预措施。本研究旨在评估 "能力说明"(一种促进全科医生(GP)、患者和雇主之间进行早期、有序沟通的简短干预措施)的使用是否会对初级医疗保健中常见精神障碍(CMDs)患者的病假时间产生影响:在一项实用性试验中,8 个初级医疗保健中心的全科医生被随机分配到提供干预或对照组,并招募了符合条件的患者:18-64 岁的在职男女,因常见精神障碍而就诊于全科医生,并成为或正在成为常见精神障碍患者:在随访结束时,干预组完全复工的患者比例为 79.2%,对照组为 84.6%。干预组和对照组的完全复工时间分别为 102 天和 90 天(中位数)。我们发现干预组和对照组在任何结果上都没有统计学意义上的显著差异:讨论:尽管我们努力增加参与人数,但这项研究的样本量仍然很小。讨论:尽管我们努力增加参与人数,但研究的样本仍然较少,这使我们无法就干预效果得出任何最终结论。本文还讨论了招募患者和使用干预措施的障碍。
本文章由计算机程序翻译,如有差异,请以英文原文为准。
求助全文
约1分钟内获得全文 求助全文
来源期刊
自引率
0.00%
发文量
0
×
引用
GB/T 7714-2015
复制
MLA
复制
APA
复制
导出至
BibTeX EndNote RefMan NoteFirst NoteExpress
×
提示
您的信息不完整,为了账户安全,请先补充。
现在去补充
×
提示
您因"违规操作"
具体请查看互助需知
我知道了
×
提示
确定
请完成安全验证×
copy
已复制链接
快去分享给好友吧!
我知道了
右上角分享
点击右上角分享
0
联系我们:info@booksci.cn Book学术提供免费学术资源搜索服务,方便国内外学者检索中英文文献。致力于提供最便捷和优质的服务体验。 Copyright © 2023 布克学术 All rights reserved.
京ICP备2023020795号-1
ghs 京公网安备 11010802042870号
Book学术文献互助
Book学术文献互助群
群 号:604180095
Book学术官方微信