Comparison of Population Attributable Fractions of Cancer Incidence and Mortality Linked to Excess Body Weight in Korea from 2015 to 2030.

IF 4.2 3区 医学 Q2 ENDOCRINOLOGY & METABOLISM
Endocrinology and Metabolism Pub Date : 2024-12-01 Epub Date: 2024-11-28 DOI:10.3803/EnM.2024.2071
Youjin Hong, Jihye An, Jeehi Jung, Hyeon Sook Lee, Soseul Sung, Sungji Moon, Inah Kim, Jung Eun Lee, Aesun Shin, Sun Ha Jee, Sun-Seog Kweon, Min-Ho Shin, Sangmin Park, Seung-Ho Ryu, Sun Young Yang, Seung Ho Choi, Jeongseon Kim, Sang-Wook Yi, Yoon-Jung Choi, Sangjun Lee, Woojin Lim, Kyungsik Kim, Sohee Park, Jeong-Soo Im, Hong Gwan Seo, Kwang-Pil Ko, Sue K Park
{"title":"Comparison of Population Attributable Fractions of Cancer Incidence and Mortality Linked to Excess Body Weight in Korea from 2015 to 2030.","authors":"Youjin Hong, Jihye An, Jeehi Jung, Hyeon Sook Lee, Soseul Sung, Sungji Moon, Inah Kim, Jung Eun Lee, Aesun Shin, Sun Ha Jee, Sun-Seog Kweon, Min-Ho Shin, Sangmin Park, Seung-Ho Ryu, Sun Young Yang, Seung Ho Choi, Jeongseon Kim, Sang-Wook Yi, Yoon-Jung Choi, Sangjun Lee, Woojin Lim, Kyungsik Kim, Sohee Park, Jeong-Soo Im, Hong Gwan Seo, Kwang-Pil Ko, Sue K Park","doi":"10.3803/EnM.2024.2071","DOIUrl":null,"url":null,"abstract":"<p><strong>Backgruound: </strong>The increasing rate of excess body weight (EBW) in the global population has led to growing health concerns, including cancer-related EBW. We aimed to estimate the population attributable fraction (PAF) of cancer incidence and deaths linked to EBW in Korean individuals from 2015 to 2030 and to compare its value with various body mass index cutoffs.</p><p><strong>Methods: </strong>Levin's formula was used to calculate the PAF; the prevalence rates were computed using the Korean National Health and Nutrition Examination Survey data, while the relative risks of specific cancers related to EBW were estimated based on the results of Korean cohort studies. To account for the 15-year latency period when estimating the PAF in 2020, the prevalence rates from 2015 and attributable cases or deaths from 2020 were used.</p><p><strong>Results: </strong>The PAF attributed to EBW was similar for both cancer incidence and deaths using either the World Health Organization (WHO) Asian-Pacific region standard or a modified Asian standard, with the WHO standard yielding the lowest values. In the Korean population, the PAFs of EBW for cancer incidence were 2.96% in men and 3.61% in women, while those for cancer deaths were 0.67% in men and 3.06% in women in 2020. Additionally, PAFs showed a gradual increase in both sexes until 2030.</p><p><strong>Conclusion: </strong>The EBW continues to have a significant impact on cancer incidence and deaths in Korea. Effective prevention strategies targeting the reduction of this modifiable risk factor can substantially decrease the cancer burden.</p>","PeriodicalId":11636,"journal":{"name":"Endocrinology and Metabolism","volume":" ","pages":"921-931"},"PeriodicalIF":4.2000,"publicationDate":"2024-12-01","publicationTypes":"Journal Article","fieldsOfStudy":null,"isOpenAccess":false,"openAccessPdf":"https://www.ncbi.nlm.nih.gov/pmc/articles/PMC11695475/pdf/","citationCount":"0","resultStr":null,"platform":"Semanticscholar","paperid":null,"PeriodicalName":"Endocrinology and Metabolism","FirstCategoryId":"3","ListUrlMain":"https://doi.org/10.3803/EnM.2024.2071","RegionNum":3,"RegionCategory":"医学","ArticlePicture":[],"TitleCN":null,"AbstractTextCN":null,"PMCID":null,"EPubDate":"2024/11/28 0:00:00","PubModel":"Epub","JCR":"Q2","JCRName":"ENDOCRINOLOGY & METABOLISM","Score":null,"Total":0}
引用次数: 0

Abstract

Backgruound: The increasing rate of excess body weight (EBW) in the global population has led to growing health concerns, including cancer-related EBW. We aimed to estimate the population attributable fraction (PAF) of cancer incidence and deaths linked to EBW in Korean individuals from 2015 to 2030 and to compare its value with various body mass index cutoffs.

Methods: Levin's formula was used to calculate the PAF; the prevalence rates were computed using the Korean National Health and Nutrition Examination Survey data, while the relative risks of specific cancers related to EBW were estimated based on the results of Korean cohort studies. To account for the 15-year latency period when estimating the PAF in 2020, the prevalence rates from 2015 and attributable cases or deaths from 2020 were used.

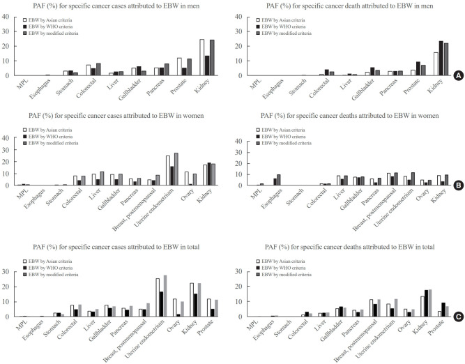
Results: The PAF attributed to EBW was similar for both cancer incidence and deaths using either the World Health Organization (WHO) Asian-Pacific region standard or a modified Asian standard, with the WHO standard yielding the lowest values. In the Korean population, the PAFs of EBW for cancer incidence were 2.96% in men and 3.61% in women, while those for cancer deaths were 0.67% in men and 3.06% in women in 2020. Additionally, PAFs showed a gradual increase in both sexes until 2030.

Conclusion: The EBW continues to have a significant impact on cancer incidence and deaths in Korea. Effective prevention strategies targeting the reduction of this modifiable risk factor can substantially decrease the cancer burden.

Abstract Image

Abstract Image

Abstract Image

2015 至 2030 年韩国与体重超标相关的癌症发病率和死亡率的人口归因比例比较。
背景:全球人口的超重率(EBW)不断上升,导致人们对健康的关注日益增加,其中包括与癌症相关的超重。我们旨在估算 2015 年至 2030 年韩国人与超重有关的癌症发病率和死亡率的人口可归因分数(PAF),并比较其与不同体重指数临界值的关系:计算PAF时使用了列文公式;患病率是根据韩国国民健康与营养调查数据计算得出的,而与EBW相关的特定癌症的相对风险则是根据韩国队列研究结果估算得出的。在估算 2020 年的 PAF 时,考虑到 15 年的潜伏期,使用了 2015 年的患病率和 2020 年的归因病例或死亡人数:结果:采用世界卫生组织(WHO)亚太地区标准或修改后的亚洲标准,EBW导致的癌症发病率和死亡率的PAF相似,其中WHO标准得出的数值最低。在韩国人口中,2020 年癌症发病率的 EBW PAFs 男性为 2.96%,女性为 3.61%,而癌症死亡病例的 EBW PAFs 男性为 0.67%,女性为 3.06%。此外,在 2030 年之前,男性和女性的 PAFs 都会逐渐增加:结论:EBW 继续对韩国的癌症发病率和死亡率产生重大影响。针对减少这一可改变风险因素的有效预防策略可大幅降低癌症负担。
本文章由计算机程序翻译,如有差异,请以英文原文为准。
求助全文
约1分钟内获得全文 求助全文
来源期刊
Endocrinology and Metabolism
Endocrinology and Metabolism Medicine-Endocrinology, Diabetes and Metabolism
CiteScore
6.60
自引率
5.90%
发文量
145
审稿时长
24 weeks
期刊介绍: The aim of this journal is to set high standards of medical care by providing a forum for discussion for basic, clinical, and translational researchers and clinicians on new findings in the fields of endocrinology and metabolism. Endocrinology and Metabolism reports new findings and developments in all aspects of endocrinology and metabolism. The topics covered by this journal include bone and mineral metabolism, cytokines, developmental endocrinology, diagnostic endocrinology, endocrine research, dyslipidemia, endocrine regulation, genetic endocrinology, growth factors, hormone receptors, hormone action and regulation, management of endocrine diseases, clinical trials, epidemiology, molecular endocrinology, neuroendocrinology, neuropeptides, neurotransmitters, obesity, pediatric endocrinology, reproductive endocrinology, signal transduction, the anatomy and physiology of endocrine organs (i.e., the pituitary, thyroid, parathyroid, and adrenal glands, and the gonads), and endocrine diseases (diabetes, nutrition, osteoporosis, etc.).
×
引用
GB/T 7714-2015
复制
MLA
复制
APA
复制
导出至
BibTeX EndNote RefMan NoteFirst NoteExpress
×
提示
您的信息不完整,为了账户安全,请先补充。
现在去补充
×
提示
您因"违规操作"
具体请查看互助需知
我知道了
×
提示
确定
请完成安全验证×
copy
已复制链接
快去分享给好友吧!
我知道了
右上角分享
点击右上角分享
0
联系我们:info@booksci.cn Book学术提供免费学术资源搜索服务,方便国内外学者检索中英文文献。致力于提供最便捷和优质的服务体验。 Copyright © 2023 布克学术 All rights reserved.
京ICP备2023020795号-1
ghs 京公网安备 11010802042870号
Book学术文献互助
Book学术文献互助群
群 号:604180095
Book学术官方微信