Aztreonam-avibactam: The dynamic duo against multidrug-resistant gram-negative pathogens.

IF 3.4 3区 医学 Q2 PHARMACOLOGY & PHARMACY
Pharmacotherapy Pub Date : 2024-12-01 Epub Date: 2024-11-27 DOI:10.1002/phar.4629
Mohammed Al Musawa, Callan R Bleick, Shelbye R Herbin, Kaylee E Caniff, Sean R Van Helden, Michael J Rybak
{"title":"Aztreonam-avibactam: The dynamic duo against multidrug-resistant gram-negative pathogens.","authors":"Mohammed Al Musawa, Callan R Bleick, Shelbye R Herbin, Kaylee E Caniff, Sean R Van Helden, Michael J Rybak","doi":"10.1002/phar.4629","DOIUrl":null,"url":null,"abstract":"<p><p>Antimicrobial resistance poses a significant public health challenge, particularly with the rise of gram-negative hospital-acquired infections resistant to carbapenems. Aztreonam-avibactam (ATM-AVI) is a promising new combination therapy designed to combat multidrug-resistant (MDR) gram-negative bacteria, including those producing metallo-β-lactamases (MBLs). Aztreonam, a monobactam antibiotic, is resistant to hydrolysis by MBLs but can be degraded by other β-lactamases. Avibactam, a novel non-β-lactam β-lactamase inhibitor, effectively neutralizes extended-spectrum β-lactamases (ESBLs) and AmpC β-lactamases, restoring aztreonam's efficacy against resistant pathogens. This review covers the chemistry, mechanisms of action, spectrum of activity, pharmacokinetics, pharmacodynamics, and clinical efficacy of ATM-AVI. ATM-AVI combination has shown efficacy against a wide range of resistant Enterobacterales and other gram-negative bacteria in both in vitro and clinical studies. Pharmacokinetic and pharmacodynamic analyses demonstrate that ATM-AVI maintains effective drug concentrations in the body, with dose adjustments recommended for patients with renal impairment. Clinical trials, including the REVISIT and ASSEMBLE studies, have demonstrated the safety and efficacy of ATM-AVI in treating complicated intra-abdominal infections (cIAI), urinary tract infections (UTIs), and hospital-acquired pneumonia (HAP) caused by MDR gram-negative pathogens. The European Medicines Agency (EMA) has approved ATM-AVI for these indications, and further research is ongoing to optimize dosing regimens and expand its clinical use. This combination represents a critical advancement in the fight against antimicrobial resistance, offering a new therapeutic option for treating severe infections caused by MDR gram-negative, including MBL-producing, bacteria.</p>","PeriodicalId":20013,"journal":{"name":"Pharmacotherapy","volume":" ","pages":"927-938"},"PeriodicalIF":3.4000,"publicationDate":"2024-12-01","publicationTypes":"Journal Article","fieldsOfStudy":null,"isOpenAccess":false,"openAccessPdf":"https://www.ncbi.nlm.nih.gov/pmc/articles/PMC11687205/pdf/","citationCount":"0","resultStr":null,"platform":"Semanticscholar","paperid":null,"PeriodicalName":"Pharmacotherapy","FirstCategoryId":"3","ListUrlMain":"https://doi.org/10.1002/phar.4629","RegionNum":3,"RegionCategory":"医学","ArticlePicture":[],"TitleCN":null,"AbstractTextCN":null,"PMCID":null,"EPubDate":"2024/11/27 0:00:00","PubModel":"Epub","JCR":"Q2","JCRName":"PHARMACOLOGY & PHARMACY","Score":null,"Total":0}
引用次数: 0

Abstract

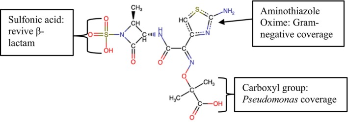
Antimicrobial resistance poses a significant public health challenge, particularly with the rise of gram-negative hospital-acquired infections resistant to carbapenems. Aztreonam-avibactam (ATM-AVI) is a promising new combination therapy designed to combat multidrug-resistant (MDR) gram-negative bacteria, including those producing metallo-β-lactamases (MBLs). Aztreonam, a monobactam antibiotic, is resistant to hydrolysis by MBLs but can be degraded by other β-lactamases. Avibactam, a novel non-β-lactam β-lactamase inhibitor, effectively neutralizes extended-spectrum β-lactamases (ESBLs) and AmpC β-lactamases, restoring aztreonam's efficacy against resistant pathogens. This review covers the chemistry, mechanisms of action, spectrum of activity, pharmacokinetics, pharmacodynamics, and clinical efficacy of ATM-AVI. ATM-AVI combination has shown efficacy against a wide range of resistant Enterobacterales and other gram-negative bacteria in both in vitro and clinical studies. Pharmacokinetic and pharmacodynamic analyses demonstrate that ATM-AVI maintains effective drug concentrations in the body, with dose adjustments recommended for patients with renal impairment. Clinical trials, including the REVISIT and ASSEMBLE studies, have demonstrated the safety and efficacy of ATM-AVI in treating complicated intra-abdominal infections (cIAI), urinary tract infections (UTIs), and hospital-acquired pneumonia (HAP) caused by MDR gram-negative pathogens. The European Medicines Agency (EMA) has approved ATM-AVI for these indications, and further research is ongoing to optimize dosing regimens and expand its clinical use. This combination represents a critical advancement in the fight against antimicrobial resistance, offering a new therapeutic option for treating severe infections caused by MDR gram-negative, including MBL-producing, bacteria.

Abstract Image

Abstract Image

氨曲南-阿维巴坦:对抗耐多药革兰氏阴性病原体的动态组合。
抗菌药耐药性是一项重大的公共卫生挑战,尤其是随着对碳青霉烯类产生耐药性的革兰氏阴性医院感染的增加。氨曲南-阿维巴坦(ATM-AVI)是一种前景广阔的新型联合疗法,旨在对抗耐多药(MDR)革兰氏阴性菌,包括产生金属-β-内酰胺酶(MBL)的细菌。单内酰胺类抗生素阿曲南能抵抗 MBLs 的水解作用,但能被其他 β 内酰胺酶降解。阿维巴坦是一种新型非β-内酰胺β-内酰胺酶抑制剂,能有效中和广谱β-内酰胺酶(ESBLs)和AmpC β-内酰胺酶,从而恢复阿兹曲南对耐药病原体的疗效。本综述涵盖了 ATM-AVI 的化学成分、作用机制、活性范围、药代动力学、药效学和临床疗效。在体外和临床研究中,ATM-AVI 复方制剂对多种耐药肠杆菌和其他革兰氏阴性菌均有疗效。药代动力学和药效学分析表明,ATM-AVI 可维持体内有效药物浓度,建议肾功能受损患者调整剂量。包括 REVISIT 和 ASSEMBLE 研究在内的临床试验证明,ATM-AVI 在治疗由 MDR 革兰氏阴性病原体引起的复杂性腹腔内感染 (cIAI)、尿路感染 (UTI) 和医院获得性肺炎 (HAP) 方面具有安全性和有效性。欧洲药品管理局 (EMA) 已批准 ATM-AVI 用于这些适应症,目前正在开展进一步研究,以优化给药方案并扩大其临床应用。这一组合是抗菌药耐药性斗争中的重要进展,为治疗由 MDR 革兰氏阴性菌(包括产生 MBL 的细菌)引起的严重感染提供了新的治疗选择。
本文章由计算机程序翻译,如有差异,请以英文原文为准。
求助全文
约1分钟内获得全文 求助全文
来源期刊
Pharmacotherapy
Pharmacotherapy 医学-药学
CiteScore
7.80
自引率
2.40%
发文量
93
审稿时长
4-8 weeks
期刊介绍: Pharmacotherapy is devoted to publication of original research articles on all aspects of human pharmacology and review articles on drugs and drug therapy. The Editors and Editorial Board invite original research reports on pharmacokinetic, bioavailability, and drug interaction studies, clinical trials, investigations of specific pharmacological properties of drugs, and related topics.
×
引用
GB/T 7714-2015
复制
MLA
复制
APA
复制
导出至
BibTeX EndNote RefMan NoteFirst NoteExpress
×
提示
您的信息不完整,为了账户安全,请先补充。
现在去补充
×
提示
您因"违规操作"
具体请查看互助需知
我知道了
×
提示
确定
请完成安全验证×
copy
已复制链接
快去分享给好友吧!
我知道了
右上角分享
点击右上角分享
0
联系我们:info@booksci.cn Book学术提供免费学术资源搜索服务,方便国内外学者检索中英文文献。致力于提供最便捷和优质的服务体验。 Copyright © 2023 布克学术 All rights reserved.
京ICP备2023020795号-1
ghs 京公网安备 11010802042870号
Book学术文献互助
Book学术文献互助群
群 号:604180095
Book学术官方微信