Optimal Timing for Intraocular Pressure Measurement Following Phacoemulsification Cataract Surgery: A Systematic Review and a Meta-Analysis.

IF 1.8 Q2 Medicine
William J Herspiegel, Brian E Yu, Hamzah S Algodi, Monali S Malvankar-Mehta, Cindy M L Hutnik
{"title":"Optimal Timing for Intraocular Pressure Measurement Following Phacoemulsification Cataract Surgery: A Systematic Review and a Meta-Analysis.","authors":"William J Herspiegel, Brian E Yu, Hamzah S Algodi, Monali S Malvankar-Mehta, Cindy M L Hutnik","doi":"10.3390/vision8040065","DOIUrl":null,"url":null,"abstract":"<p><p>Post-operative increases in intraocular pressure (IOP) are a frequent complication following phacoemulsification cataract surgery. Assessment of IOP is an essential element in post-operative checks. Despite this, guidance regarding the optimal timing remains vague. The purpose of this meta-analysis was to determine the current status of evidence that may help guide best practice regarding the optimal time following phacoemulsification cataract surgery to measure IOP. A comprehensive literature search was performed on MEDLINE and EMBASE. In two stages, independent reviewers screened articles that reported IOP measurements following uncomplicated cataract surgery. Risk of Bias Assessment was conducted following data extraction. The meta-analysis incorporated 57 randomized clinical studies involving a total of 6318 participants and 7089 eyes. Post-operative hour one had a significant decrease in IOP from baseline, while hour two had a non-significant increase. Post-operative hours four, six, and eight were the only timepoints to have a significant increase in IOP. Finally, post-operative day one had no significant change in IOP, while day two had a non-significant decrease. These results suggest that the optimal time to measure IOP is within the first 4-8 h following phacoemulsification cataract extraction. Taking measurements too soon or too late could result in missed IOP spikes.</p>","PeriodicalId":36586,"journal":{"name":"Vision (Switzerland)","volume":"8 4","pages":""},"PeriodicalIF":1.8000,"publicationDate":"2024-11-08","publicationTypes":"Journal Article","fieldsOfStudy":null,"isOpenAccess":false,"openAccessPdf":"https://www.ncbi.nlm.nih.gov/pmc/articles/PMC11587468/pdf/","citationCount":"0","resultStr":null,"platform":"Semanticscholar","paperid":null,"PeriodicalName":"Vision (Switzerland)","FirstCategoryId":"1085","ListUrlMain":"https://doi.org/10.3390/vision8040065","RegionNum":0,"RegionCategory":null,"ArticlePicture":[],"TitleCN":null,"AbstractTextCN":null,"PMCID":null,"EPubDate":"","PubModel":"","JCR":"Q2","JCRName":"Medicine","Score":null,"Total":0}
引用次数: 0

Abstract

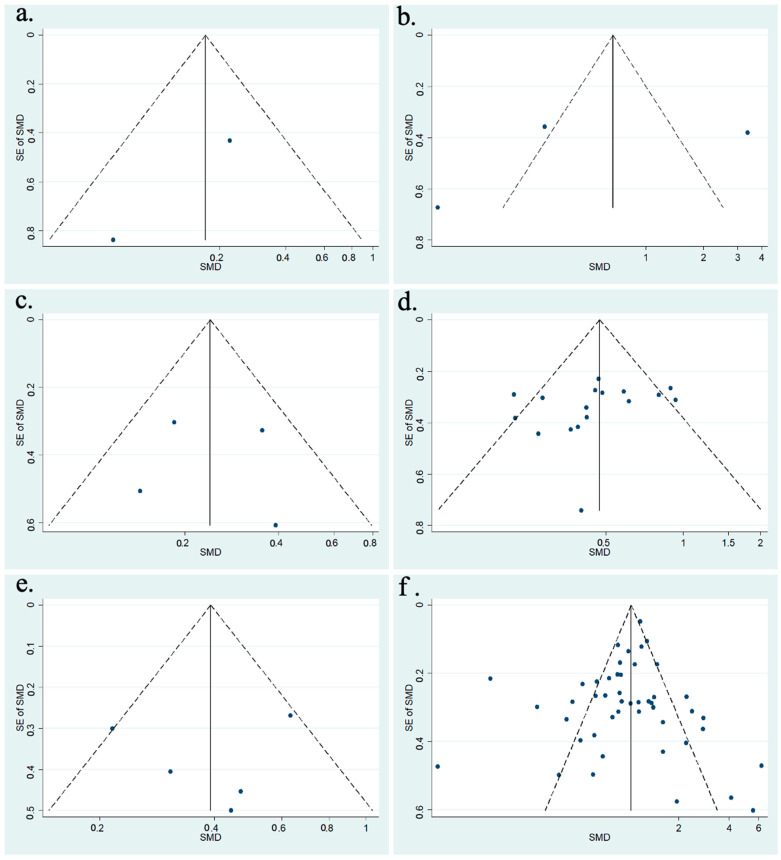
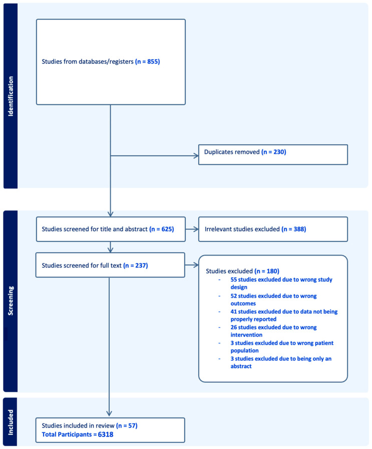
Post-operative increases in intraocular pressure (IOP) are a frequent complication following phacoemulsification cataract surgery. Assessment of IOP is an essential element in post-operative checks. Despite this, guidance regarding the optimal timing remains vague. The purpose of this meta-analysis was to determine the current status of evidence that may help guide best practice regarding the optimal time following phacoemulsification cataract surgery to measure IOP. A comprehensive literature search was performed on MEDLINE and EMBASE. In two stages, independent reviewers screened articles that reported IOP measurements following uncomplicated cataract surgery. Risk of Bias Assessment was conducted following data extraction. The meta-analysis incorporated 57 randomized clinical studies involving a total of 6318 participants and 7089 eyes. Post-operative hour one had a significant decrease in IOP from baseline, while hour two had a non-significant increase. Post-operative hours four, six, and eight were the only timepoints to have a significant increase in IOP. Finally, post-operative day one had no significant change in IOP, while day two had a non-significant decrease. These results suggest that the optimal time to measure IOP is within the first 4-8 h following phacoemulsification cataract extraction. Taking measurements too soon or too late could result in missed IOP spikes.

Abstract Image

Abstract Image

Abstract Image

超声乳化白内障手术后眼压测量的最佳时机:系统综述与 Meta 分析。
术后眼压(IOP)升高是超声乳化白内障手术后经常出现的并发症。评估眼压是术后检查的一项重要内容。尽管如此,有关最佳时间的指导仍然模糊不清。这项荟萃分析的目的是确定目前的证据状况,以帮助指导有关白内障超声乳化手术后测量眼压最佳时间的最佳实践。我们在 MEDLINE 和 EMBASE 上进行了全面的文献检索。独立审稿人分两个阶段筛选了报道无并发症白内障手术后测量眼压的文章。数据提取后进行了偏倚风险评估。荟萃分析纳入了 57 项随机临床研究,涉及 6318 名参与者和 7089 只眼睛。术后第一小时,眼压较基线有明显下降,而第二小时则无明显上升。术后第 4、6 和 8 小时是眼压显著升高的唯一时间点。最后,术后第一天的眼压无明显变化,而第二天的眼压则无明显下降。这些结果表明,测量眼压的最佳时间是白内障超声乳化摘除术后的最初 4-8 小时内。过早或过晚测量都可能导致错过眼压峰值。
本文章由计算机程序翻译,如有差异,请以英文原文为准。
求助全文
约1分钟内获得全文 求助全文
来源期刊
Vision (Switzerland)
Vision (Switzerland) Health Professions-Optometry
CiteScore
2.30
自引率
0.00%
发文量
62
审稿时长
11 weeks
×
引用
GB/T 7714-2015
复制
MLA
复制
APA
复制
导出至
BibTeX EndNote RefMan NoteFirst NoteExpress
×
提示
您的信息不完整,为了账户安全,请先补充。
现在去补充
×
提示
您因"违规操作"
具体请查看互助需知
我知道了
×
提示
确定
请完成安全验证×
copy
已复制链接
快去分享给好友吧!
我知道了
右上角分享
点击右上角分享
0
联系我们:info@booksci.cn Book学术提供免费学术资源搜索服务,方便国内外学者检索中英文文献。致力于提供最便捷和优质的服务体验。 Copyright © 2023 布克学术 All rights reserved.
京ICP备2023020795号-1
ghs 京公网安备 11010802042870号
Book学术文献互助
Book学术文献互助群
群 号:604180095
Book学术官方微信