Pregnancy-Associated Plasma Protein A (PAPP-A) as a Predictor of Third Trimester Obesity: Insights from the CRIOBES Project.

IF 2.6 Q2 PATHOLOGY
Inmaculada Gabaldón-Rodríguez, Carmen de Francisco-Montero, Inmaculada Menéndez-Moreno, Álvaro Balongo-Molina, Ana Isabel Gómez-Lorenzo, Rubén Rodríguez-García, Ángel Vilches-Arenas, Manuel Ortega-Calvo
{"title":"Pregnancy-Associated Plasma Protein A (PAPP-A) as a Predictor of Third Trimester Obesity: Insights from the CRIOBES Project.","authors":"Inmaculada Gabaldón-Rodríguez, Carmen de Francisco-Montero, Inmaculada Menéndez-Moreno, Álvaro Balongo-Molina, Ana Isabel Gómez-Lorenzo, Rubén Rodríguez-García, Ángel Vilches-Arenas, Manuel Ortega-Calvo","doi":"10.3390/pathophysiology31040046","DOIUrl":null,"url":null,"abstract":"<p><p><b>Introduction:</b> Our objective in this article was to develop a predictive model for obesity in the third trimester of pregnancy using the plasma and clinical biomarkers that are managed within the Chromosomopathies Programme in the Andalusian Public Healthcare System. <b>Methods:</b> The epidemiological design was observational, of the unmatched case-control type. The geographical environment was the Seville Primary Healthcare District (DSAP Sevilla). The information was collected between 2011 and 2021. The reference cohort consisted of women who had carried a pregnancy to term. The variables and biomarkers studied correspond to those managed within the primary-care Pregnancy Integrated Care Pathway (ICP). Unconditional binary logistic regression (BLR) models were created, with the outcome variable being whether or not the women were obese in their third trimester of pregnancy. <b>Results</b>: A total of 423 controls and 104 cases of obesity were obtained for women in their third trimester who had not been obese in their first trimester. The average age for the sample group (P50) was 34 years old. The final, most parsimonious model included the variables PAPP-A (<i>p</i> = 0.074), beta-hCG (<i>p</i> = 0.1631), and systolic blood pressure (SBP) (<i>p</i> = 0.085). ROC curve = 0.75 (C.I. at 95%: 0.63-0.86). <b>Discussion</b>: The results of this research can only be extrapolated to primary care and to pregnancies with no complications. PAPP-A has been shown in our research to be a significant predictor of obesity risk in the third trimester of pregnancies with no complications (OR = 0.53; C.I. at 95%: 0.39-0.66; <i>p</i> = 0.04 in the single-variant study; OR = 0.58; C.I. at 95%: 0.29-0.93; <i>p</i> = 0.074 in the multi-variant analysis). This predictive capacity is further enhanced from an operational perspective by beta-hCG and 12-week SBP.</p>","PeriodicalId":19852,"journal":{"name":"Pathophysiology","volume":"31 4","pages":"631-642"},"PeriodicalIF":2.6000,"publicationDate":"2024-11-15","publicationTypes":"Journal Article","fieldsOfStudy":null,"isOpenAccess":false,"openAccessPdf":"https://www.ncbi.nlm.nih.gov/pmc/articles/PMC11587435/pdf/","citationCount":"0","resultStr":null,"platform":"Semanticscholar","paperid":null,"PeriodicalName":"Pathophysiology","FirstCategoryId":"1085","ListUrlMain":"https://doi.org/10.3390/pathophysiology31040046","RegionNum":0,"RegionCategory":null,"ArticlePicture":[],"TitleCN":null,"AbstractTextCN":null,"PMCID":null,"EPubDate":"","PubModel":"","JCR":"Q2","JCRName":"PATHOLOGY","Score":null,"Total":0}
引用次数: 0

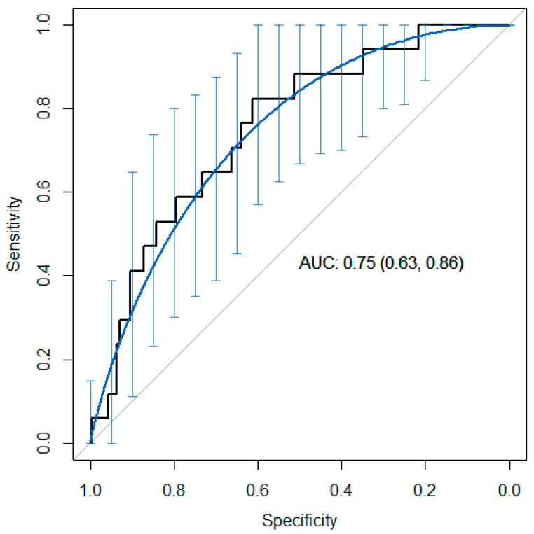
Abstract

Introduction: Our objective in this article was to develop a predictive model for obesity in the third trimester of pregnancy using the plasma and clinical biomarkers that are managed within the Chromosomopathies Programme in the Andalusian Public Healthcare System. Methods: The epidemiological design was observational, of the unmatched case-control type. The geographical environment was the Seville Primary Healthcare District (DSAP Sevilla). The information was collected between 2011 and 2021. The reference cohort consisted of women who had carried a pregnancy to term. The variables and biomarkers studied correspond to those managed within the primary-care Pregnancy Integrated Care Pathway (ICP). Unconditional binary logistic regression (BLR) models were created, with the outcome variable being whether or not the women were obese in their third trimester of pregnancy. Results: A total of 423 controls and 104 cases of obesity were obtained for women in their third trimester who had not been obese in their first trimester. The average age for the sample group (P50) was 34 years old. The final, most parsimonious model included the variables PAPP-A (p = 0.074), beta-hCG (p = 0.1631), and systolic blood pressure (SBP) (p = 0.085). ROC curve = 0.75 (C.I. at 95%: 0.63-0.86). Discussion: The results of this research can only be extrapolated to primary care and to pregnancies with no complications. PAPP-A has been shown in our research to be a significant predictor of obesity risk in the third trimester of pregnancies with no complications (OR = 0.53; C.I. at 95%: 0.39-0.66; p = 0.04 in the single-variant study; OR = 0.58; C.I. at 95%: 0.29-0.93; p = 0.074 in the multi-variant analysis). This predictive capacity is further enhanced from an operational perspective by beta-hCG and 12-week SBP.

Abstract Image

Abstract Image

Abstract Image

妊娠相关血浆蛋白 A (PAPP-A) 作为怀孕三个月肥胖的预测因子:CRIOBES 项目的启示。
导言本文的目的是利用安达卢西亚公共医疗系统染色体病项目管理的血浆和临床生物标记物,建立怀孕三个月肥胖症的预测模型。研究方法流行病学设计为观察性的非匹配病例对照类型。地理环境为塞维利亚初级医疗保健区(DSAP Sevilla)。信息收集时间为 2011 年至 2021 年。参照队列由妊娠足月的妇女组成。研究的变量和生物标志物与初级保健妊娠综合护理路径(ICP)中管理的变量和生物标志物一致。我们建立了无条件二元逻辑回归(BLR)模型,结果变量是妇女在怀孕三个月时是否肥胖。结果共获得 423 个对照组和 104 个肥胖病例,均为妊娠三个月且在妊娠头三个月未患肥胖症的妇女。样本组(P50)的平均年龄为 34 岁。最终最合理的模型包括 PAPP-A 变量(p = 0.074)、β-hCG 变量(p = 0.1631)和收缩压(SBP)变量(p = 0.085)。ROC 曲线 = 0.75(C.I. at 95%:0.63-0.86)。讨论这项研究的结果只能用于初级保健和无并发症的妊娠。我们的研究表明,PAPP-A 可显著预测无并发症妊娠第三孕期的肥胖风险(OR = 0.53;C.I. at 95%:0.39-0.66;P.I. at 95%:0.63-0.86):0.39-0.66; p = 0.04; OR = 0.58; C.I. at 95%:多变量分析中,OR = 0.29-0.93; p = 0.074)。从操作角度来看,β-hCG 和 12 周 SBP 进一步增强了这种预测能力。
本文章由计算机程序翻译,如有差异,请以英文原文为准。
求助全文
约1分钟内获得全文 求助全文
来源期刊
Pathophysiology
Pathophysiology Medicine-Pathology and Forensic Medicine
CiteScore
3.10
自引率
0.00%
发文量
48
期刊介绍: Pathophysiology is an international journal which publishes papers in English which address the etiology, development, and elimination of pathological processes. Contributions on the basic mechanisms underlying these processes, model systems and interdisciplinary approaches are strongly encouraged.
×
引用
GB/T 7714-2015
复制
MLA
复制
APA
复制
导出至
BibTeX EndNote RefMan NoteFirst NoteExpress
×
提示
您的信息不完整,为了账户安全,请先补充。
现在去补充
×
提示
您因"违规操作"
具体请查看互助需知
我知道了
×
提示
确定
请完成安全验证×
copy
已复制链接
快去分享给好友吧!
我知道了
右上角分享
点击右上角分享
0
联系我们:info@booksci.cn Book学术提供免费学术资源搜索服务,方便国内外学者检索中英文文献。致力于提供最便捷和优质的服务体验。 Copyright © 2023 布克学术 All rights reserved.
京ICP备2023020795号-1
ghs 京公网安备 11010802042870号
Book学术文献互助
Book学术文献互助群
群 号:604180095
Book学术官方微信