Gait Parameters in Healthy Older Adults in Korea.

IF 2.8 4区 医学 Q2 CLINICAL NEUROLOGY
Journal of Movement Disorders Pub Date : 2025-01-01 Epub Date: 2024-11-25 DOI:10.14802/jmd.24181
Han-Kyeol Kim, Sung-Woo Kim, Jin Yong Hong, Min Seok Baek
{"title":"Gait Parameters in Healthy Older Adults in Korea.","authors":"Han-Kyeol Kim, Sung-Woo Kim, Jin Yong Hong, Min Seok Baek","doi":"10.14802/jmd.24181","DOIUrl":null,"url":null,"abstract":"<p><strong>Objective: </strong>Gaits constitute the most fundamental and common form of human locomotion and are essential in daily activities. We aimed to investigate gait parameters in medically and cognitively healthy older adults to determine the independent effects of age, physical attributes, and cognition on these parameters.</p><p><strong>Methods: </strong>This retrospective study enrolled healthy older adult participants aged 50 years or older with normal cognition and no neurological symptoms or medical/surgical history that could affect gait. Quantitative gait analysis was conducted via the GAITRite Electronic Walkway, which categorizes gait parameters into spatiotemporal, spatial, temporal, phase, and variability. Gait parameters were compared between sexes across different age groups. The independent effects of age, Mini-Mental State Examination score, and physical characteristics were analyzed via a multiple regression model.</p><p><strong>Results: </strong>This study included 184 participants with an average age of 72.2 years. After adjusting for age, height, and footwear, only the base width and its variability differed between the sexes. Gait parameters varied significantly among different age groups, revealing multiple interparameter associations. Age was independently correlated with decreased velocity, step and stride lengths, single support time percentage and increased double support time, double support time percentage, and variability parameters, excluding the coefficient of variance of base width. Height was positively correlated with velocity, step and stride lengths, and base width, whereas leg length was negatively associated with cadence and positively associated with temporal parameters of gait.</p><p><strong>Conclusion: </strong>Gait parameters in healthy older adults were not only associated with age and physical characteristics but also had interparameter correlations.</p>","PeriodicalId":16372,"journal":{"name":"Journal of Movement Disorders","volume":" ","pages":"55-64"},"PeriodicalIF":2.8000,"publicationDate":"2025-01-01","publicationTypes":"Journal Article","fieldsOfStudy":null,"isOpenAccess":false,"openAccessPdf":"https://www.ncbi.nlm.nih.gov/pmc/articles/PMC11824536/pdf/","citationCount":"0","resultStr":null,"platform":"Semanticscholar","paperid":null,"PeriodicalName":"Journal of Movement Disorders","FirstCategoryId":"3","ListUrlMain":"https://doi.org/10.14802/jmd.24181","RegionNum":4,"RegionCategory":"医学","ArticlePicture":[],"TitleCN":null,"AbstractTextCN":null,"PMCID":null,"EPubDate":"2024/11/25 0:00:00","PubModel":"Epub","JCR":"Q2","JCRName":"CLINICAL NEUROLOGY","Score":null,"Total":0}
引用次数: 0

Abstract

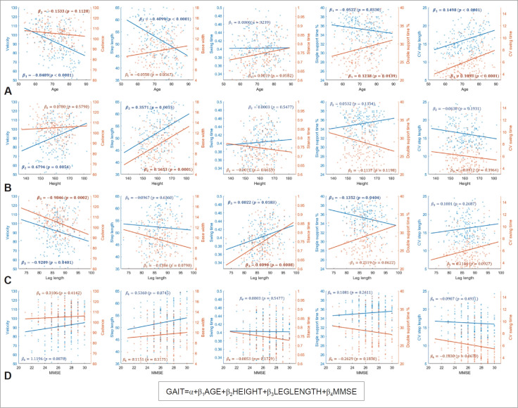
Objective: Gaits constitute the most fundamental and common form of human locomotion and are essential in daily activities. We aimed to investigate gait parameters in medically and cognitively healthy older adults to determine the independent effects of age, physical attributes, and cognition on these parameters.

Methods: This retrospective study enrolled healthy older adult participants aged 50 years or older with normal cognition and no neurological symptoms or medical/surgical history that could affect gait. Quantitative gait analysis was conducted via the GAITRite Electronic Walkway, which categorizes gait parameters into spatiotemporal, spatial, temporal, phase, and variability. Gait parameters were compared between sexes across different age groups. The independent effects of age, Mini-Mental State Examination score, and physical characteristics were analyzed via a multiple regression model.

Results: This study included 184 participants with an average age of 72.2 years. After adjusting for age, height, and footwear, only the base width and its variability differed between the sexes. Gait parameters varied significantly among different age groups, revealing multiple interparameter associations. Age was independently correlated with decreased velocity, step and stride lengths, single support time percentage and increased double support time, double support time percentage, and variability parameters, excluding the coefficient of variance of base width. Height was positively correlated with velocity, step and stride lengths, and base width, whereas leg length was negatively associated with cadence and positively associated with temporal parameters of gait.

Conclusion: Gait parameters in healthy older adults were not only associated with age and physical characteristics but also had interparameter correlations.

Abstract Image

Abstract Image

Abstract Image

韩国健康老年人的步态参数。
目的:步态是人类最基本、最常见的运动形式,在日常活动中必不可少。我们的目的是调查有医学和认知能力的健康老年人的步态参数,以确定年龄、身体特征和认知能力对这些参数的独立影响:这项回顾性研究招募了年龄≥50 岁、认知正常、无可能影响步态的神经系统症状或内外科病史的健康老年人。研究人员使用 GAITRite 电子步道进行了步态定量分析,将步态参数分为时空、空间、时间、相位和变异性。比较了不同年龄组性别间的步态参数。使用多元回归模型分析了年龄、迷你精神状态检查得分和身体特征的独立影响:这项研究包括 184 名参与者,平均年龄为 72.2 岁。在对年龄、身高和鞋类进行调整后,只有基底宽度及其变化在性别之间存在差异。步态参数在不同年龄组之间存在明显差异,揭示了参数间的多重关联。年龄与速度、步长和步幅、单支撑时间百分比的减少以及双支撑时间、双支撑时间百分比和变异性参数的增加(不包括基底宽度的方差系数)独立相关。身高与速度、步长和步幅以及基底宽度呈正相关,而腿长与步频呈负相关,与步态的时间参数呈正相关:结论:健康老年人的步态参数不仅与年龄和身体特征有关,而且参数之间也存在相关性。
本文章由计算机程序翻译,如有差异,请以英文原文为准。
求助全文
约1分钟内获得全文 求助全文
来源期刊
Journal of Movement Disorders
Journal of Movement Disorders CLINICAL NEUROLOGY-
CiteScore
2.50
自引率
5.10%
发文量
49
审稿时长
12 weeks
×
引用
GB/T 7714-2015
复制
MLA
复制
APA
复制
导出至
BibTeX EndNote RefMan NoteFirst NoteExpress
×
提示
您的信息不完整,为了账户安全,请先补充。
现在去补充
×
提示
您因"违规操作"
具体请查看互助需知
我知道了
×
提示
确定
请完成安全验证×
copy
已复制链接
快去分享给好友吧!
我知道了
右上角分享
点击右上角分享
0
联系我们:info@booksci.cn Book学术提供免费学术资源搜索服务,方便国内外学者检索中英文文献。致力于提供最便捷和优质的服务体验。 Copyright © 2023 布克学术 All rights reserved.
京ICP备2023020795号-1
ghs 京公网安备 11010802042870号
Book学术文献互助
Book学术文献互助群
群 号:604180095
Book学术官方微信