Alterations in Adipose Tissue and Adipokines in Heterozygous APE1/Ref-1 Deficient Mice.

IF 4.2 3区 医学 Q2 ENDOCRINOLOGY & METABOLISM
Endocrinology and Metabolism Pub Date : 2024-12-01 Epub Date: 2024-11-20 DOI:10.3803/EnM.2024.2061
Eun-Ok Lee, Hao Jin, Sungmin Kim, Hee Kyoung Joo, Yu Ran Lee, Soo Yeon An, Shuyu Piao, Kwon Ho Lee, Byeong Hwa Jeon
{"title":"Alterations in Adipose Tissue and Adipokines in Heterozygous APE1/Ref-1 Deficient Mice.","authors":"Eun-Ok Lee, Hao Jin, Sungmin Kim, Hee Kyoung Joo, Yu Ran Lee, Soo Yeon An, Shuyu Piao, Kwon Ho Lee, Byeong Hwa Jeon","doi":"10.3803/EnM.2024.2061","DOIUrl":null,"url":null,"abstract":"<p><strong>Backgruound: </strong>The role of apurinic/apyrimidinic endonuclease 1/redox factor-1 (APE1/Ref-1) in adipose tissue remains poorly understood. This study investigates adipose tissue dysfunction in heterozygous APE1/Ref-1 deficiency (APE1/Ref-1+/-) mice, focusing on changes in adipocyte physiology, oxidative stress, adipokine regulation, and adipose tissue distribution.</p><p><strong>Methods: </strong>APE1/Ref-1 mRNA and protein levels in white adipose tissue (WAT) were measured in APE1/Ref-1+/- mice, compared to their wild-type (APE1/Ref-1+/+) controls. Oxidative stress was assessed by evaluating reactive oxygen species (ROS) levels. Histological and immunohistochemical analyses were conducted to observe adipocyte size and macrophage infiltration of WAT. Adipokine expression was measured, and micro-magnetic resonance imaging (MRI) was used to quantify abdominal fat volumes.</p><p><strong>Results: </strong>APE1/Ref-1+/- mice exhibited significant reductions in APE1/Ref-1 mRNA and protein levels in WAT and liver tissue. These mice also showed elevated ROS levels, suggesting a regulatory role for APE1/Ref-1 in oxidative stress in WAT and liver. Histological and immunohistochemical analyses revealed hypertrophic adipocytes and macrophage infiltration in WAT, while Oil Red O staining demonstrated enhanced ectopic fat deposition in the liver of APE1/Ref-1+/- mice. These mice also displayed altered adipokine expression, with decreased adiponectin and increased leptin levels in the WAT, along with corresponding alterations in plasma levels. Despite no significant changes in overall body weight, microMRI assessments demonstrated a significant increase in visceral and subcutaneous abdominal fat volumes in APE1/Ref-1+/- mice.</p><p><strong>Conclusion: </strong>APE1/Ref-1 is crucial in adipokine regulation and mitigating oxidative stress. These findings suggest its involvement in adipose tissue dysfunction, highlighting its potential impact on abdominal fat distribution and its implications for obesity and oxidative stress-related conditions.</p>","PeriodicalId":11636,"journal":{"name":"Endocrinology and Metabolism","volume":" ","pages":"932-945"},"PeriodicalIF":4.2000,"publicationDate":"2024-12-01","publicationTypes":"Journal Article","fieldsOfStudy":null,"isOpenAccess":false,"openAccessPdf":"https://www.ncbi.nlm.nih.gov/pmc/articles/PMC11695485/pdf/","citationCount":"0","resultStr":null,"platform":"Semanticscholar","paperid":null,"PeriodicalName":"Endocrinology and Metabolism","FirstCategoryId":"3","ListUrlMain":"https://doi.org/10.3803/EnM.2024.2061","RegionNum":3,"RegionCategory":"医学","ArticlePicture":[],"TitleCN":null,"AbstractTextCN":null,"PMCID":null,"EPubDate":"2024/11/20 0:00:00","PubModel":"Epub","JCR":"Q2","JCRName":"ENDOCRINOLOGY & METABOLISM","Score":null,"Total":0}
引用次数: 0

Abstract

Backgruound: The role of apurinic/apyrimidinic endonuclease 1/redox factor-1 (APE1/Ref-1) in adipose tissue remains poorly understood. This study investigates adipose tissue dysfunction in heterozygous APE1/Ref-1 deficiency (APE1/Ref-1+/-) mice, focusing on changes in adipocyte physiology, oxidative stress, adipokine regulation, and adipose tissue distribution.

Methods: APE1/Ref-1 mRNA and protein levels in white adipose tissue (WAT) were measured in APE1/Ref-1+/- mice, compared to their wild-type (APE1/Ref-1+/+) controls. Oxidative stress was assessed by evaluating reactive oxygen species (ROS) levels. Histological and immunohistochemical analyses were conducted to observe adipocyte size and macrophage infiltration of WAT. Adipokine expression was measured, and micro-magnetic resonance imaging (MRI) was used to quantify abdominal fat volumes.

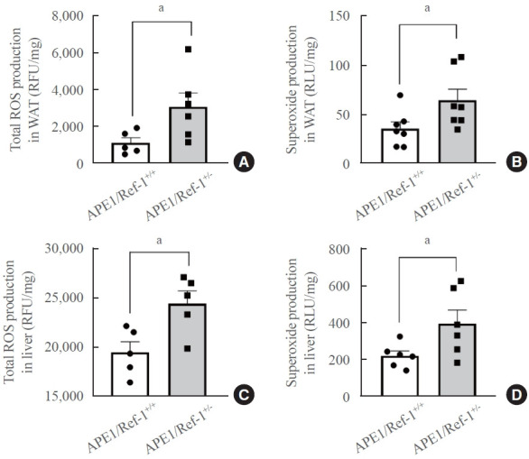
Results: APE1/Ref-1+/- mice exhibited significant reductions in APE1/Ref-1 mRNA and protein levels in WAT and liver tissue. These mice also showed elevated ROS levels, suggesting a regulatory role for APE1/Ref-1 in oxidative stress in WAT and liver. Histological and immunohistochemical analyses revealed hypertrophic adipocytes and macrophage infiltration in WAT, while Oil Red O staining demonstrated enhanced ectopic fat deposition in the liver of APE1/Ref-1+/- mice. These mice also displayed altered adipokine expression, with decreased adiponectin and increased leptin levels in the WAT, along with corresponding alterations in plasma levels. Despite no significant changes in overall body weight, microMRI assessments demonstrated a significant increase in visceral and subcutaneous abdominal fat volumes in APE1/Ref-1+/- mice.

Conclusion: APE1/Ref-1 is crucial in adipokine regulation and mitigating oxidative stress. These findings suggest its involvement in adipose tissue dysfunction, highlighting its potential impact on abdominal fat distribution and its implications for obesity and oxidative stress-related conditions.

Abstract Image

Abstract Image

Abstract Image

杂合子 APE1/Ref-1 基因缺陷小鼠脂肪组织和脂肪因子的变化
背景:人们对嘌呤/嘧啶内切酶 1/氧化还原因子-1(APE1/Ref-1)在脂肪组织中的作用仍然知之甚少。本研究调查了杂合子 APE1/Ref-1 缺乏(APE1/Ref-1+/-)小鼠的脂肪组织功能障碍,重点关注脂肪细胞生理、氧化应激、脂肪因子调节和脂肪组织分布的变化:方法:与野生型(APE1/Ref-1+/+)对照组相比,测定了APE1/Ref-1+/-小鼠白色脂肪组织(WAT)中的APE1/Ref-1 mRNA和蛋白质水平。通过评估活性氧(ROS)水平来评估氧化应激。通过组织学和免疫组化分析观察脂肪细胞的大小和巨噬细胞对WAT的浸润。对脂肪因子的表达进行了测量,并使用微磁共振成像(MRI)对腹部脂肪体积进行了量化:结果:APE1/Ref-1+/-小鼠WAT和肝组织中的APE1/Ref-1 mRNA和蛋白质水平显著降低。这些小鼠还表现出 ROS 水平升高,表明 APE1/Ref-1 在脂肪乳和肝脏的氧化应激中起着调节作用。组织学和免疫组化分析表明,脂肪细胞肥大,巨噬细胞在脂肪组织中浸润,而油红 O 染色显示 APE1/Ref-1+/- 小鼠肝脏中异位脂肪沉积增强。这些小鼠的脂肪因子表达也发生了改变,脂肪细胞中的脂肪连素水平降低,瘦素水平升高,血浆中的脂肪因子水平也发生了相应的改变。尽管总体体重没有明显变化,但显微 MRI 评估显示 APE1/Ref-1+/- 小鼠的内脏和皮下腹部脂肪体积明显增加:结论:APE1/Ref-1 在调节脂肪因子和减轻氧化应激方面至关重要。这些研究结果表明,APE1/Ref-1 参与了脂肪组织功能障碍,突出了其对腹部脂肪分布的潜在影响及其对肥胖和氧化应激相关疾病的影响。
本文章由计算机程序翻译,如有差异,请以英文原文为准。
求助全文
约1分钟内获得全文 求助全文
来源期刊
Endocrinology and Metabolism
Endocrinology and Metabolism Medicine-Endocrinology, Diabetes and Metabolism
CiteScore
6.60
自引率
5.90%
发文量
145
审稿时长
24 weeks
期刊介绍: The aim of this journal is to set high standards of medical care by providing a forum for discussion for basic, clinical, and translational researchers and clinicians on new findings in the fields of endocrinology and metabolism. Endocrinology and Metabolism reports new findings and developments in all aspects of endocrinology and metabolism. The topics covered by this journal include bone and mineral metabolism, cytokines, developmental endocrinology, diagnostic endocrinology, endocrine research, dyslipidemia, endocrine regulation, genetic endocrinology, growth factors, hormone receptors, hormone action and regulation, management of endocrine diseases, clinical trials, epidemiology, molecular endocrinology, neuroendocrinology, neuropeptides, neurotransmitters, obesity, pediatric endocrinology, reproductive endocrinology, signal transduction, the anatomy and physiology of endocrine organs (i.e., the pituitary, thyroid, parathyroid, and adrenal glands, and the gonads), and endocrine diseases (diabetes, nutrition, osteoporosis, etc.).
×
引用
GB/T 7714-2015
复制
MLA
复制
APA
复制
导出至
BibTeX EndNote RefMan NoteFirst NoteExpress
×
提示
您的信息不完整,为了账户安全,请先补充。
现在去补充
×
提示
您因"违规操作"
具体请查看互助需知
我知道了
×
提示
确定
请完成安全验证×
copy
已复制链接
快去分享给好友吧!
我知道了
右上角分享
点击右上角分享
0
联系我们:info@booksci.cn Book学术提供免费学术资源搜索服务,方便国内外学者检索中英文文献。致力于提供最便捷和优质的服务体验。 Copyright © 2023 布克学术 All rights reserved.
京ICP备2023020795号-1
ghs 京公网安备 11010802042870号
Book学术文献互助
Book学术文献互助群
群 号:604180095
Book学术官方微信