Evaluating the impact of redox potential on the growth capacity of anaerobic gut fungi.

IF 4
FEMS microbes Pub Date : 2024-11-05 eCollection Date: 2024-01-01 DOI:10.1093/femsmc/xtae033
Emma E England, Carrie J Pratt, Mostafa S Elshahed, Noha H Youssef
{"title":"Evaluating the impact of redox potential on the growth capacity of anaerobic gut fungi.","authors":"Emma E England, Carrie J Pratt, Mostafa S Elshahed, Noha H Youssef","doi":"10.1093/femsmc/xtae033","DOIUrl":null,"url":null,"abstract":"<p><p>Anaerobic gut fungi (AGF, <i>Neocallimastigomycota</i>) inhabit the alimentary tract of herbivores. Although strict anaerobes, studies have suggested their capacity to retain viability after various durations of air exposure. It is currently unclear whether AGF can actively grow, and not merely survive, in redox potentials (E<sub>h</sub>) higher than those encountered in the herbivorous gut. We evaluated the growth of two AGF strains (<i>Orpinomyces joyonii</i> and <i>Testudinimyces gracilis</i>) at various E<sub>h</sub> levels, achieved by manipulating the concentrations of reductant (cysteine hydrochloride) in culture media. Both strains exhibited robust and sustainable growth at negative E<sub>h</sub> (-50 mV or below). However, growth in the absence of cysteine hydrochloride (E<sub>h</sub> value around +50 mV) was possible only for <i>O. joyonii</i> and only for one subcultivation. The capacity to grow at +50 mV was further confirmed in four additional taxa (<i>Pecoramyces ruminatium, Anaeromyces mucronatus, Aklioshbmyces papillarum</i>, and <i>Piromyces communis</i>), while two (<i>Aestipascuomyces dupliciliberans</i> and <i>Capellomyces foraminis</i>) failed to grow under these conditions. Our results establish the ability of AGF to grow at redox potential values higher than those encountered in their natural habitats. Such capability could contribute to efficient AGF dispersal and horizontal transmission between hosts, and could have important implications for industrial applications of AGF.</p>","PeriodicalId":73024,"journal":{"name":"FEMS microbes","volume":"5 ","pages":"xtae033"},"PeriodicalIF":4.0000,"publicationDate":"2024-11-05","publicationTypes":"Journal Article","fieldsOfStudy":null,"isOpenAccess":false,"openAccessPdf":"https://www.ncbi.nlm.nih.gov/pmc/articles/PMC11575491/pdf/","citationCount":"0","resultStr":null,"platform":"Semanticscholar","paperid":null,"PeriodicalName":"FEMS microbes","FirstCategoryId":"1085","ListUrlMain":"https://doi.org/10.1093/femsmc/xtae033","RegionNum":0,"RegionCategory":null,"ArticlePicture":[],"TitleCN":null,"AbstractTextCN":null,"PMCID":null,"EPubDate":"2024/1/1 0:00:00","PubModel":"eCollection","JCR":"","JCRName":"","Score":null,"Total":0}
引用次数: 0

Abstract

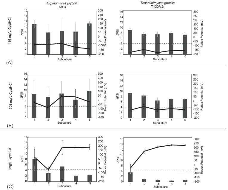
Anaerobic gut fungi (AGF, Neocallimastigomycota) inhabit the alimentary tract of herbivores. Although strict anaerobes, studies have suggested their capacity to retain viability after various durations of air exposure. It is currently unclear whether AGF can actively grow, and not merely survive, in redox potentials (Eh) higher than those encountered in the herbivorous gut. We evaluated the growth of two AGF strains (Orpinomyces joyonii and Testudinimyces gracilis) at various Eh levels, achieved by manipulating the concentrations of reductant (cysteine hydrochloride) in culture media. Both strains exhibited robust and sustainable growth at negative Eh (-50 mV or below). However, growth in the absence of cysteine hydrochloride (Eh value around +50 mV) was possible only for O. joyonii and only for one subcultivation. The capacity to grow at +50 mV was further confirmed in four additional taxa (Pecoramyces ruminatium, Anaeromyces mucronatus, Aklioshbmyces papillarum, and Piromyces communis), while two (Aestipascuomyces dupliciliberans and Capellomyces foraminis) failed to grow under these conditions. Our results establish the ability of AGF to grow at redox potential values higher than those encountered in their natural habitats. Such capability could contribute to efficient AGF dispersal and horizontal transmission between hosts, and could have important implications for industrial applications of AGF.

Abstract Image

Abstract Image

Abstract Image

评估氧化还原电位对厌氧肠道真菌生长能力的影响。
厌氧肠道真菌(AGF,Neocallimastigomycota)栖息在食草动物的消化道中。虽然是严格的厌氧菌,但研究表明它们在暴露于不同时间的空气后仍能保持活力。目前还不清楚 AGF 在氧化还原电位(Eh)高于食草动物肠道中的氧化还原电位时是否能积极生长,而不仅仅是存活。我们通过调节培养基中还原剂(半胱氨酸盐酸盐)的浓度,评估了两种 AGF 菌株(Orpinomyces joyonii 和 Testudinimyces gracilis)在不同 Eh 水平下的生长情况。这两种菌株在负 Eh(-50 mV 或更低)条件下均表现出强劲和可持续的生长。然而,只有 O. joyonii 能在没有盐酸半胱氨酸的情况下(Eh 值约为 +50 mV)生长,而且只进行了一次亚培养。另外四个类群(Pecoramyces ruminatium、Anaeromyces mucronatus、Aklioshbmyces papillarum 和 Piromyces communis)在 +50 mV 下的生长能力也得到了进一步证实,而两个类群(Aestipascuomyces dupliciliberans 和 Capellomyces foraminis)则未能在这些条件下生长。我们的研究结果证明,AGF 有能力在高于其自然栖息地氧化还原电位值的条件下生长。这种能力可能有助于 AGF 在宿主间的高效传播和水平传播,并对 AGF 的工业应用具有重要意义。
本文章由计算机程序翻译,如有差异,请以英文原文为准。
求助全文
约1分钟内获得全文 求助全文
来源期刊
CiteScore
3.30
自引率
0.00%
发文量
0
审稿时长
15 weeks
×
引用
GB/T 7714-2015
复制
MLA
复制
APA
复制
导出至
BibTeX EndNote RefMan NoteFirst NoteExpress
×
提示
您的信息不完整,为了账户安全,请先补充。
现在去补充
×
提示
您因"违规操作"
具体请查看互助需知
我知道了
×
提示
确定
请完成安全验证×
copy
已复制链接
快去分享给好友吧!
我知道了
右上角分享
点击右上角分享
0
联系我们:info@booksci.cn Book学术提供免费学术资源搜索服务,方便国内外学者检索中英文文献。致力于提供最便捷和优质的服务体验。 Copyright © 2023 布克学术 All rights reserved.
京ICP备2023020795号-1
ghs 京公网安备 11010802042870号
Book学术文献互助
Book学术文献互助群
群 号:604180095
Book学术官方微信