Increased levels of antibodies to synaptopodin and annexin 1 in patients with primary podocytopathies.

Frontiers in nephrology Pub Date : 2024-10-31 eCollection Date: 2024-01-01 DOI:10.3389/fneph.2024.1471078
Natalia V Chebotareva, Evgeniya A Charionovskaya, Evgenia A Biryukova, Anatoliy A Vinogradov, Igor I Alentov, Natalia S Sergeeva, Alexey S Kononikhin, Evgeny N Nikolaev, Sergey V Moiseev
{"title":"Increased levels of antibodies to synaptopodin and annexin 1 in patients with primary podocytopathies.","authors":"Natalia V Chebotareva, Evgeniya A Charionovskaya, Evgenia A Biryukova, Anatoliy A Vinogradov, Igor I Alentov, Natalia S Sergeeva, Alexey S Kononikhin, Evgeny N Nikolaev, Sergey V Moiseev","doi":"10.3389/fneph.2024.1471078","DOIUrl":null,"url":null,"abstract":"<p><strong>Introduction: </strong>Circulating anti-podocyte antibodies have been proposed as potential factors contributing to increased permeability in primary podocytopathies, such as Minimal Change Disease (MCD) and Focal Segmental Glomerulosclerosis (FSGS). The aim of the study was to to assess the levels of antibodies targeting synaptopodin and annexin 1 in the blood serum of patients diagnosed with nephrotic syndrome, with the aim of evaluating their potential utility in diagnosing primary podocytopathies and predicting therapeutic response.</p><p><strong>Methods: </strong>The study included a total of 72 patients diagnosed with nephrotic syndrome, alongside 21 healthy subjects for comparison. Among the patients, 38 were diagnosed with FSGS, 12 with MCD, and 22 with MN. The levels of anti-synaptopodin and anti-annexin-1 antibodies were quantified using Enzyme-Linked Immunosorbent Assay.</p><p><strong>Results: </strong>The levels of antibodies to annexin 1 and anti-synaptopodin in the blood were found to be higher in patients diagnosed with MCD and FSGS compared to those with MN and healthy individuals. The elevated levels of antibodies to annexin 1 and synaptopodin showed area under the curve values of 0.826 (95% CI 0.732-0.923) and 0.827 (95% CI 0.741-0.879), respectively. However, a model incorporating both antibodies demonstrated higher sensitivity (80.9%) and specificity (81.3%) with an AUC of 0.859 (95% CI 0.760-0.957). Notably, serum levels of annexin 1 and anti-synaptopodin antibodies did not predict the response to prednisolone and/or CNI therapy.</p><p><strong>Discussion: </strong>Levels of antibodies targeting synaptopodin and annexin 1 were notably elevated in patients diagnosed with MCD and FSGS compared to those with MN and healthy controls. A panel comprising both antibodies demonstrated moderate to high sensitivity and specificity for diagnosis MCD or FSGS.</p>","PeriodicalId":73091,"journal":{"name":"Frontiers in nephrology","volume":"4 ","pages":"1471078"},"PeriodicalIF":0.0000,"publicationDate":"2024-10-31","publicationTypes":"Journal Article","fieldsOfStudy":null,"isOpenAccess":false,"openAccessPdf":"https://www.ncbi.nlm.nih.gov/pmc/articles/PMC11560892/pdf/","citationCount":"0","resultStr":null,"platform":"Semanticscholar","paperid":null,"PeriodicalName":"Frontiers in nephrology","FirstCategoryId":"1085","ListUrlMain":"https://doi.org/10.3389/fneph.2024.1471078","RegionNum":0,"RegionCategory":null,"ArticlePicture":[],"TitleCN":null,"AbstractTextCN":null,"PMCID":null,"EPubDate":"2024/1/1 0:00:00","PubModel":"eCollection","JCR":"","JCRName":"","Score":null,"Total":0}
引用次数: 0

Abstract

Introduction: Circulating anti-podocyte antibodies have been proposed as potential factors contributing to increased permeability in primary podocytopathies, such as Minimal Change Disease (MCD) and Focal Segmental Glomerulosclerosis (FSGS). The aim of the study was to to assess the levels of antibodies targeting synaptopodin and annexin 1 in the blood serum of patients diagnosed with nephrotic syndrome, with the aim of evaluating their potential utility in diagnosing primary podocytopathies and predicting therapeutic response.

Methods: The study included a total of 72 patients diagnosed with nephrotic syndrome, alongside 21 healthy subjects for comparison. Among the patients, 38 were diagnosed with FSGS, 12 with MCD, and 22 with MN. The levels of anti-synaptopodin and anti-annexin-1 antibodies were quantified using Enzyme-Linked Immunosorbent Assay.

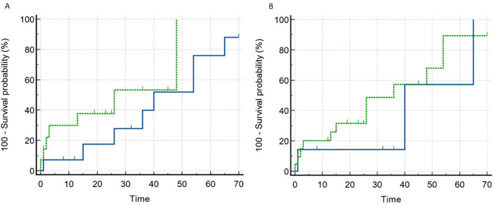
Results: The levels of antibodies to annexin 1 and anti-synaptopodin in the blood were found to be higher in patients diagnosed with MCD and FSGS compared to those with MN and healthy individuals. The elevated levels of antibodies to annexin 1 and synaptopodin showed area under the curve values of 0.826 (95% CI 0.732-0.923) and 0.827 (95% CI 0.741-0.879), respectively. However, a model incorporating both antibodies demonstrated higher sensitivity (80.9%) and specificity (81.3%) with an AUC of 0.859 (95% CI 0.760-0.957). Notably, serum levels of annexin 1 and anti-synaptopodin antibodies did not predict the response to prednisolone and/or CNI therapy.

Discussion: Levels of antibodies targeting synaptopodin and annexin 1 were notably elevated in patients diagnosed with MCD and FSGS compared to those with MN and healthy controls. A panel comprising both antibodies demonstrated moderate to high sensitivity and specificity for diagnosis MCD or FSGS.

Abstract Image

Abstract Image

Abstract Image

原发性荚膜细胞病变患者体内突触素和附件素 1 抗体水平升高。
导言:循环中的抗荚膜细胞抗体被认为是导致原发性荚膜病变(如微小病变(MCD)和局灶节段性肾小球硬化症(FSGS))通透性增加的潜在因素。该研究旨在评估肾病综合征患者血清中针对突触素和附件素 1 的抗体水平,目的是评估它们在诊断原发性荚膜细胞病变和预测治疗反应方面的潜在作用:研究共包括 72 名确诊为肾病综合征的患者,以及 21 名健康受试者作为对比。在这些患者中,38 人被诊断为 FSGS,12 人被诊断为 MCD,22 人被诊断为 MN。采用酶联免疫吸附测定法对抗鞘磷脂抗体和抗附件蛋白-1抗体的水平进行了定量分析:结果:与 MN 患者和健康人相比,确诊为 MCD 和 FSGS 的患者血液中附件蛋白 1 和抗突触素抗体水平较高。附件蛋白 1 和突触素抗体水平升高的曲线下面积值分别为 0.826(95% CI 0.732-0.923)和 0.827(95% CI 0.741-0.879)。然而,包含两种抗体的模型显示出更高的灵敏度(80.9%)和特异性(81.3%),AUC 为 0.859(95% CI 0.760-0.957)。值得注意的是,血清中的附件素1和抗突触素抗体水平并不能预测对泼尼松龙和/或CNI治疗的反应:讨论:与MN患者和健康对照组相比,MCD和FSGS患者的突触素和附件素1抗体水平明显升高。由这两种抗体组成的检测小组对诊断MCD或FSGS具有中度至高度的敏感性和特异性。
本文章由计算机程序翻译,如有差异,请以英文原文为准。
求助全文
约1分钟内获得全文 求助全文
来源期刊
自引率
0.00%
发文量
0
×
引用
GB/T 7714-2015
复制
MLA
复制
APA
复制
导出至
BibTeX EndNote RefMan NoteFirst NoteExpress
×
提示
您的信息不完整,为了账户安全,请先补充。
现在去补充
×
提示
您因"违规操作"
具体请查看互助需知
我知道了
×
提示
确定
请完成安全验证×
copy
已复制链接
快去分享给好友吧!
我知道了
右上角分享
点击右上角分享
0
联系我们:info@booksci.cn Book学术提供免费学术资源搜索服务,方便国内外学者检索中英文文献。致力于提供最便捷和优质的服务体验。 Copyright © 2023 布克学术 All rights reserved.
京ICP备2023020795号-1
ghs 京公网安备 11010802042870号
Book学术文献互助
Book学术文献互助群
群 号:604180095
Book学术官方微信