Malaria in the Republic of Guinea 2022-2023: costs associated with the care pathway from the patient's perspective.

IF 3.3 3区 经济学 Q1 ECONOMICS
Elhadj Marouf Diallo, Fatoumata Bintou Traore, Alice Langlet, Letitia A Onyango, Marie Blanquet, Bienvenu Salim Camara, Sidikiba Sidibe, Alioune Camara, Laurent Gerbaud
{"title":"Malaria in the Republic of Guinea 2022-2023: costs associated with the care pathway from the patient's perspective.","authors":"Elhadj Marouf Diallo, Fatoumata Bintou Traore, Alice Langlet, Letitia A Onyango, Marie Blanquet, Bienvenu Salim Camara, Sidikiba Sidibe, Alioune Camara, Laurent Gerbaud","doi":"10.1186/s13561-024-00570-y","DOIUrl":null,"url":null,"abstract":"<p><strong>Background: </strong>Access to safe, financial affordable health care is a key factor in reducing health disparities. The malaria is a major public health issue, with significant economic implications in Guinea where the free malaria care services were introduced in 2010. This paper analyzes the costs associated with the care pathway for malaria patients in the Republic of Guinea.</p><p><strong>Methods: </strong>An analysis of the costs associated with malaria disease was conducted using data from a cross-sectional survey on the determinants of malaria care pathway between December 2022 and March 2023. The data were collected in health facilities and at community health workers. According to the patient's perspective, Time-Driven Activity-Based Costing (TDABC) and micro-costing approaches were used to assess the costs associated with care-seeking, cases management, and income loss.</p><p><strong>Results: </strong>A total of 3300 patients were recruited in 60 health facilities. The majority were in urban areas (64.8%). One third of the patients were children under five years old. Over half of the patients or caregivers were without formal education, and most households were headed by husbands (78.5%). The median monthly income of the head of households was $116.0. Furthermore, after diagnosis, 25.5% of cases were uncomplicated malaria, 19.2% were complicated, and 52.2% were malaria associated with other diseases. Globally 41% of cases were on their first care pathway. The costs of care-seeking varied according to type of malaria, from $3.5 and $13.5 respectively for uncomplicated and complicated cases. The median direct costs of case management at health facilities were $7.3 (IQR: $4.1,13.3) for uncomplicated and $30.5 (IQR: 15.7, 51.4) for complicated cases. The total costs associated with the global care pathway differed across types of malaria and age groups, with median costs estimated at $17.4 (IQR: 6.7, 34.8) for uncomplicated cases and $43.5 (IQR: $ 19.7, 74.0) for complicated malaria. A delay in appropriate care-seeking accounted for 19% of the costs incurred by malaria patients in Guinea (p < 0.001).</p><p><strong>Conclusion: </strong>Despite the introduction of free malaria prevention services, malaria patients or their caregivers continue to incur costs and loss of income. An approach to selective, free and affordable flat-rate costs could ensure the financial viability of health facilities and reduce out-of-pocket expenses. The next research will focus on the impact of free selective and flat-rate pricing on out-of-pocket expenses, and the analysis of the perception of the malaria care services by care providers and users.</p>","PeriodicalId":46936,"journal":{"name":"Health Economics Review","volume":"14 1","pages":"91"},"PeriodicalIF":3.3000,"publicationDate":"2024-11-14","publicationTypes":"Journal Article","fieldsOfStudy":null,"isOpenAccess":false,"openAccessPdf":"https://www.ncbi.nlm.nih.gov/pmc/articles/PMC11566412/pdf/","citationCount":"0","resultStr":null,"platform":"Semanticscholar","paperid":null,"PeriodicalName":"Health Economics Review","FirstCategoryId":"96","ListUrlMain":"https://doi.org/10.1186/s13561-024-00570-y","RegionNum":3,"RegionCategory":"经济学","ArticlePicture":[],"TitleCN":null,"AbstractTextCN":null,"PMCID":null,"EPubDate":"","PubModel":"","JCR":"Q1","JCRName":"ECONOMICS","Score":null,"Total":0}
引用次数: 0

Abstract

Background: Access to safe, financial affordable health care is a key factor in reducing health disparities. The malaria is a major public health issue, with significant economic implications in Guinea where the free malaria care services were introduced in 2010. This paper analyzes the costs associated with the care pathway for malaria patients in the Republic of Guinea.

Methods: An analysis of the costs associated with malaria disease was conducted using data from a cross-sectional survey on the determinants of malaria care pathway between December 2022 and March 2023. The data were collected in health facilities and at community health workers. According to the patient's perspective, Time-Driven Activity-Based Costing (TDABC) and micro-costing approaches were used to assess the costs associated with care-seeking, cases management, and income loss.

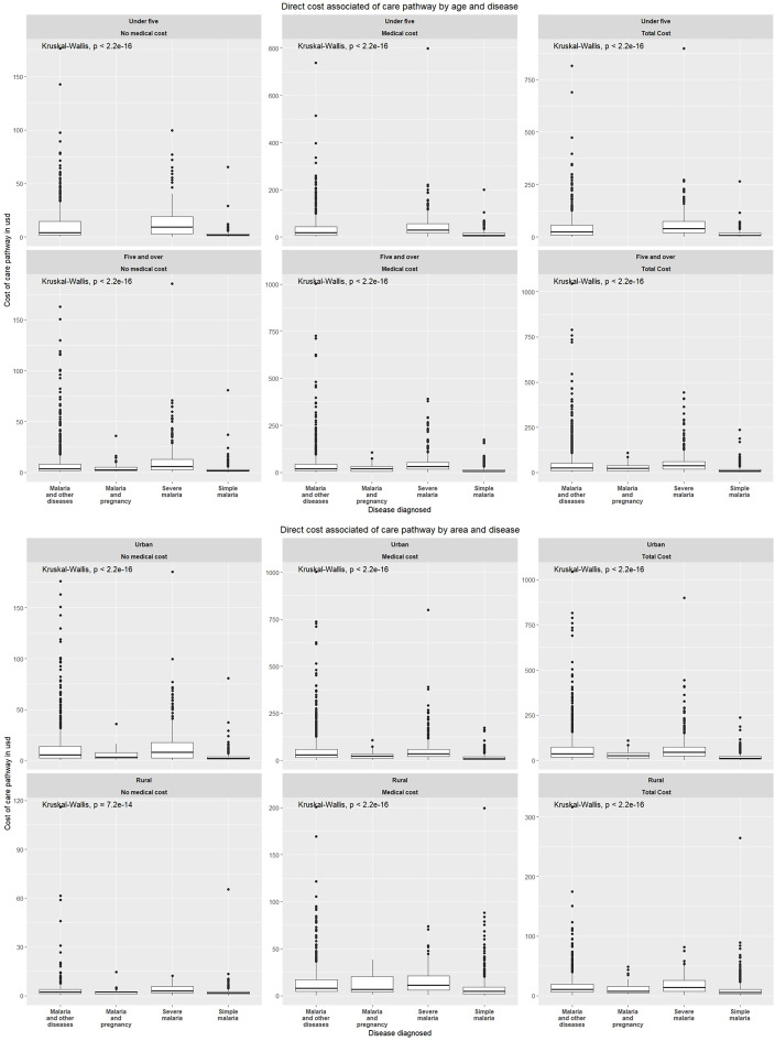
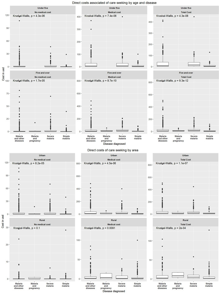
Results: A total of 3300 patients were recruited in 60 health facilities. The majority were in urban areas (64.8%). One third of the patients were children under five years old. Over half of the patients or caregivers were without formal education, and most households were headed by husbands (78.5%). The median monthly income of the head of households was $116.0. Furthermore, after diagnosis, 25.5% of cases were uncomplicated malaria, 19.2% were complicated, and 52.2% were malaria associated with other diseases. Globally 41% of cases were on their first care pathway. The costs of care-seeking varied according to type of malaria, from $3.5 and $13.5 respectively for uncomplicated and complicated cases. The median direct costs of case management at health facilities were $7.3 (IQR: $4.1,13.3) for uncomplicated and $30.5 (IQR: 15.7, 51.4) for complicated cases. The total costs associated with the global care pathway differed across types of malaria and age groups, with median costs estimated at $17.4 (IQR: 6.7, 34.8) for uncomplicated cases and $43.5 (IQR: $ 19.7, 74.0) for complicated malaria. A delay in appropriate care-seeking accounted for 19% of the costs incurred by malaria patients in Guinea (p < 0.001).

Conclusion: Despite the introduction of free malaria prevention services, malaria patients or their caregivers continue to incur costs and loss of income. An approach to selective, free and affordable flat-rate costs could ensure the financial viability of health facilities and reduce out-of-pocket expenses. The next research will focus on the impact of free selective and flat-rate pricing on out-of-pocket expenses, and the analysis of the perception of the malaria care services by care providers and users.

Abstract Image

Abstract Image

Abstract Image

2022-2023 年几内亚共和国的疟疾:从患者角度看与护理路径相关的成本。
背景:获得安全、经济实惠的医疗保健服务是缩小健康差距的关键因素。疟疾是一个重大的公共卫生问题,对几内亚的经济产生了重大影响,该国于 2010 年开始提供免费疟疾治疗服务。本文分析了几内亚共和国疟疾患者治疗路径的相关成本:利用 2022 年 12 月至 2023 年 3 月期间对疟疾护理路径决定因素的横断面调查数据,对疟疾疾病的相关成本进行了分析。数据在医疗机构和社区医疗工作者处收集。根据患者的观点,采用时间驱动活动成本法(TDABC)和微观成本法来评估与寻求护理、病例管理和收入损失相关的成本:60 家医疗机构共招募了 3300 名患者。大多数患者位于城市地区(64.8%)。三分之一的患者为五岁以下儿童。一半以上的患者或护理人员未受过正规教育,大多数家庭的户主是丈夫(78.5%)。户主的月收入中位数为 116.0 美元。此外,确诊后,25.5%的病例为无并发症疟疾,19.2%为并发症疟疾,52.2%为与其他疾病相关的疟疾。在全球范围内,41%的病例处于首次治疗阶段。疟疾类型不同,寻求治疗的成本也不同,无并发症和并发症病例的成本分别为 3.5 美元和 13.5 美元。医疗机构管理病例的直接成本中位数为:无并发症病例 7.3 美元(IQR:4.1-13.3 美元),并发症病例 30.5 美元(IQR:15.7-51.4 美元)。与全球护理路径相关的总成本因疟疾类型和年龄组而异,无并发症病例的成本中位数估计为 17.4 美元(IQR:6.7,34.8),并发症病例的成本中位数估计为 43.5 美元(IQR:19.7,74.0)。几内亚疟疾患者因延误就医而产生的费用占总费用的 19%(P尽管引入了免费的疟疾预防服务,但疟疾患者或其护理人员仍需承担费用和收入损失。有选择性的、免费的和负担得起的定额费用方法可以确保医疗机构的财务可行性,并减少自付费用。下一步研究的重点将是选择性免费和统一定价对自付费用的影响,以及对护理提供者和使用者对疟疾护理服务看法的分析。
本文章由计算机程序翻译,如有差异,请以英文原文为准。
求助全文
约1分钟内获得全文 求助全文
来源期刊
CiteScore
3.90
自引率
4.20%
发文量
59
审稿时长
13 weeks
期刊介绍: Health Economics Review is an international high-quality journal covering all fields of Health Economics. A broad range of theoretical contributions, empirical studies and analyses of health policy with a health economic focus will be considered for publication. Its scope includes macro- and microeconomics of health care financing, health insurance and reimbursement as well as health economic evaluation, health services research and health policy analysis. Further research topics are the individual and institutional aspects of health care management and the growing importance of health care in developing countries.
×
引用
GB/T 7714-2015
复制
MLA
复制
APA
复制
导出至
BibTeX EndNote RefMan NoteFirst NoteExpress
×
提示
您的信息不完整,为了账户安全,请先补充。
现在去补充
×
提示
您因"违规操作"
具体请查看互助需知
我知道了
×
提示
确定
请完成安全验证×
copy
已复制链接
快去分享给好友吧!
我知道了
右上角分享
点击右上角分享
0
联系我们:info@booksci.cn Book学术提供免费学术资源搜索服务,方便国内外学者检索中英文文献。致力于提供最便捷和优质的服务体验。 Copyright © 2023 布克学术 All rights reserved.
京ICP备2023020795号-1
ghs 京公网安备 11010802042870号
Book学术文献互助
Book学术文献互助群
群 号:604180095
Book学术官方微信