Nutritional status and changes in muscle and adipose tissue determined by computed tomography as predictors of mortality in hospitalized patients.

Q3 Medicine
Radiologia Brasileira Pub Date : 2024-11-07 eCollection Date: 2024-01-01 DOI:10.1590/0100-3984.2024.0026
Bruna Lúcia de Mendonça Soares, Nataly Maria de Mendonça Soares, Maria Goretti Pessoa de Araújo Burgos, Ilma Kruze Grande de Arruda
{"title":"Nutritional status and changes in muscle and adipose tissue determined by computed tomography as predictors of mortality in hospitalized patients.","authors":"Bruna Lúcia de Mendonça Soares, Nataly Maria de Mendonça Soares, Maria Goretti Pessoa de Araújo Burgos, Ilma Kruze Grande de Arruda","doi":"10.1590/0100-3984.2024.0026","DOIUrl":null,"url":null,"abstract":"<p><p>The aim of the present study was to investigate whether nutritional status and changes in muscle and adipose tissue determined by computed tomography are predictors of mortality in hospitalized patients. This was a prospective cohort study involving patients ≥ 20 years of age hospitalized in a public hospital. Sociodemographic and clinical variables were collected from electronic medical records. Nutritional variables were determined. All patients were followed prospectively until the hospital outcome, which could be discharge or death. Body composition was defined from computed tomography images, with the identification of myopenia, myosteatosis, and myopenic obesity. The sample comprised 542 patients. The mortality rate was 10.7% (95% CI: 6.4-15.0%). The independent predictors of mortality were malnutrition, assessed with the subjective global assessment (hazard ratio: 4.18; 95% CI: 1.01-17.22; <i>p</i> = 0.047), and myopenic obesity (hazard ratio: 2.82; 95% CI: 1.11-7.20; <i>p</i> = 0.029). The findings of the present study add to the limited evidence in the literature that body composition is associated with outcomes in hospitalized patients.</p>","PeriodicalId":20842,"journal":{"name":"Radiologia Brasileira","volume":"57 ","pages":"e20240026"},"PeriodicalIF":0.0000,"publicationDate":"2024-11-07","publicationTypes":"Journal Article","fieldsOfStudy":null,"isOpenAccess":false,"openAccessPdf":"https://www.ncbi.nlm.nih.gov/pmc/articles/PMC11559939/pdf/","citationCount":"0","resultStr":null,"platform":"Semanticscholar","paperid":null,"PeriodicalName":"Radiologia Brasileira","FirstCategoryId":"1085","ListUrlMain":"https://doi.org/10.1590/0100-3984.2024.0026","RegionNum":0,"RegionCategory":null,"ArticlePicture":[],"TitleCN":null,"AbstractTextCN":null,"PMCID":null,"EPubDate":"2024/1/1 0:00:00","PubModel":"eCollection","JCR":"Q3","JCRName":"Medicine","Score":null,"Total":0}
引用次数: 0

Abstract

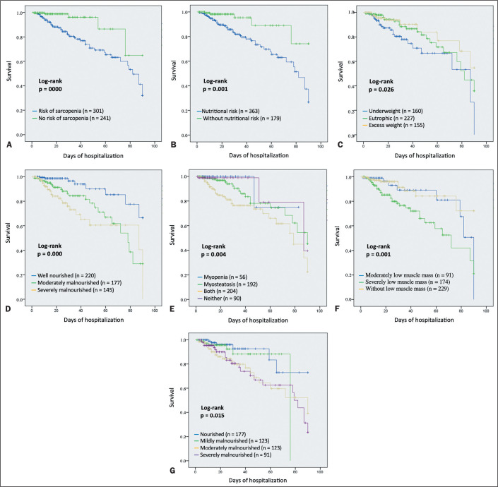
The aim of the present study was to investigate whether nutritional status and changes in muscle and adipose tissue determined by computed tomography are predictors of mortality in hospitalized patients. This was a prospective cohort study involving patients ≥ 20 years of age hospitalized in a public hospital. Sociodemographic and clinical variables were collected from electronic medical records. Nutritional variables were determined. All patients were followed prospectively until the hospital outcome, which could be discharge or death. Body composition was defined from computed tomography images, with the identification of myopenia, myosteatosis, and myopenic obesity. The sample comprised 542 patients. The mortality rate was 10.7% (95% CI: 6.4-15.0%). The independent predictors of mortality were malnutrition, assessed with the subjective global assessment (hazard ratio: 4.18; 95% CI: 1.01-17.22; p = 0.047), and myopenic obesity (hazard ratio: 2.82; 95% CI: 1.11-7.20; p = 0.029). The findings of the present study add to the limited evidence in the literature that body composition is associated with outcomes in hospitalized patients.

Abstract Image

Abstract Image

Abstract Image

通过计算机断层扫描确定的营养状况以及肌肉和脂肪组织的变化可预测住院病人的死亡率。
本研究旨在探讨营养状况以及计算机断层扫描确定的肌肉和脂肪组织的变化是否是住院患者死亡率的预测因素。这是一项前瞻性队列研究,涉及在一家公立医院住院的年龄≥ 20 岁的患者。从电子病历中收集了社会人口学和临床变量。同时还确定了营养变量。所有患者均接受了前瞻性随访,直至出院或死亡。通过计算机断层扫描图像确定身体成分,并识别肌少症、肌骨软化症和肌无力性肥胖症。样本包括 542 名患者。死亡率为 10.7%(95% CI:6.4-15.0%)。死亡率的独立预测因素是营养不良(通过主观全面评估进行评估)(危险比:4.18;95% CI:1.01-17.22;P = 0.047)和肌无力性肥胖(危险比:2.82;95% CI:1.11-7.20;P = 0.029)。本研究的结果补充了文献中关于身体成分与住院患者预后相关的有限证据。
本文章由计算机程序翻译,如有差异,请以英文原文为准。
求助全文
约1分钟内获得全文 求助全文
来源期刊
Radiologia Brasileira
Radiologia Brasileira Medicine-Radiology, Nuclear Medicine and Imaging
CiteScore
2.60
自引率
0.00%
发文量
75
审稿时长
28 weeks
×
引用
GB/T 7714-2015
复制
MLA
复制
APA
复制
导出至
BibTeX EndNote RefMan NoteFirst NoteExpress
×
提示
您的信息不完整,为了账户安全,请先补充。
现在去补充
×
提示
您因"违规操作"
具体请查看互助需知
我知道了
×
提示
确定
请完成安全验证×
copy
已复制链接
快去分享给好友吧!
我知道了
右上角分享
点击右上角分享
0
联系我们:info@booksci.cn Book学术提供免费学术资源搜索服务,方便国内外学者检索中英文文献。致力于提供最便捷和优质的服务体验。 Copyright © 2023 布克学术 All rights reserved.
京ICP备2023020795号-1
ghs 京公网安备 11010802042870号
Book学术文献互助
Book学术文献互助群
群 号:604180095
Book学术官方微信