Predictive accuracy of fecal calprotectin for histologic remission in ulcerative colitis.

IF 3.9 Q2 GASTROENTEROLOGY & HEPATOLOGY
Intestinal Research Pub Date : 2025-04-01 Epub Date: 2024-11-11 DOI:10.5217/ir.2024.00068
Arshdeep Singh, Arshia Bhardwaj, Riya Sharma, Bhavjeet Kaur Kahlon, Ashvin Singh Dhaliwal, Dharmatma Singh, Simranjeet Kaur, Devanshi Jain, Namita Bansal, Ramit Mahajan, Kirandeep Kaur, Aminder Singh, Vikram Narang, Harpreet Kaur, Vandana Midha, Ajit Sood
{"title":"Predictive accuracy of fecal calprotectin for histologic remission in ulcerative colitis.","authors":"Arshdeep Singh, Arshia Bhardwaj, Riya Sharma, Bhavjeet Kaur Kahlon, Ashvin Singh Dhaliwal, Dharmatma Singh, Simranjeet Kaur, Devanshi Jain, Namita Bansal, Ramit Mahajan, Kirandeep Kaur, Aminder Singh, Vikram Narang, Harpreet Kaur, Vandana Midha, Ajit Sood","doi":"10.5217/ir.2024.00068","DOIUrl":null,"url":null,"abstract":"<p><strong>Background/aims: </strong>Accurate assessment of disease activity is crucial for effective management and treatment of ulcerative colitis (UC). This study evaluated the correlation between clinical, endoscopic, and histologic measures of disease activity in UC.</p><p><strong>Methods: </strong>Clinical, biochemical, endoscopic, and histologic disease activity was studied in 347 patients with UC. Agreements among various histologic classification systems, namely the Geboes Score (GS), Continuous GS, Nancy Index (NI), and Robarts Histopathology Index (RHI), were analyzed. The predictive accuracy of fecal calprotectin (FC) for endoscopic and histologic remission was assessed.</p><p><strong>Results: </strong>We demonstrate a fair to moderate correlation between clinical, endoscopic, and histologic measures of disease activity in UC. There was a robust concordance among GS, Continuous GS, NI, and RHI in distinguishing between patients in histologic remission or activity. The NI detected 75% of patients who met the remission criteria according to the RHI, whereas the RHI identified all patients in remission as defined by the NI. FC levels below 150 μg/g had >70% accuracy in predicting endoscopic remission. FC levels below 150 μg/g showed ≥80% accuracy, and FC levels below 100 μg/g demonstrated ≥ 85% accuracy in predicting histologic remission, regardless of the scoring index applied. Elevated FC levels were associated with both acute and chronic inflammatory infiltrates in biopsy samples.</p><p><strong>Conclusions: </strong>FC is a reliable predictor of histologic remission, with higher accuracy at lower thresholds. The GS, Continuous GS, NI, and RHI demonstrate comparable performance. FC could help stratify patients' need for colonoscopy for the assessment of endoscopic and histologic remission.</p>","PeriodicalId":14481,"journal":{"name":"Intestinal Research","volume":" ","pages":"144-156"},"PeriodicalIF":3.9000,"publicationDate":"2025-04-01","publicationTypes":"Journal Article","fieldsOfStudy":null,"isOpenAccess":false,"openAccessPdf":"https://www.ncbi.nlm.nih.gov/pmc/articles/PMC12081075/pdf/","citationCount":"0","resultStr":null,"platform":"Semanticscholar","paperid":null,"PeriodicalName":"Intestinal Research","FirstCategoryId":"1085","ListUrlMain":"https://doi.org/10.5217/ir.2024.00068","RegionNum":0,"RegionCategory":null,"ArticlePicture":[],"TitleCN":null,"AbstractTextCN":null,"PMCID":null,"EPubDate":"2024/11/11 0:00:00","PubModel":"Epub","JCR":"Q2","JCRName":"GASTROENTEROLOGY & HEPATOLOGY","Score":null,"Total":0}
引用次数: 0

Abstract

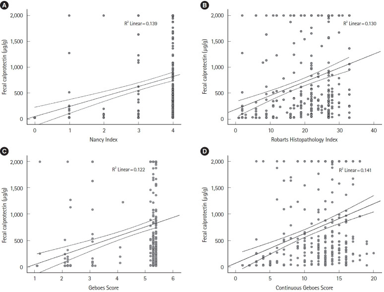
Background/aims: Accurate assessment of disease activity is crucial for effective management and treatment of ulcerative colitis (UC). This study evaluated the correlation between clinical, endoscopic, and histologic measures of disease activity in UC.

Methods: Clinical, biochemical, endoscopic, and histologic disease activity was studied in 347 patients with UC. Agreements among various histologic classification systems, namely the Geboes Score (GS), Continuous GS, Nancy Index (NI), and Robarts Histopathology Index (RHI), were analyzed. The predictive accuracy of fecal calprotectin (FC) for endoscopic and histologic remission was assessed.

Results: We demonstrate a fair to moderate correlation between clinical, endoscopic, and histologic measures of disease activity in UC. There was a robust concordance among GS, Continuous GS, NI, and RHI in distinguishing between patients in histologic remission or activity. The NI detected 75% of patients who met the remission criteria according to the RHI, whereas the RHI identified all patients in remission as defined by the NI. FC levels below 150 μg/g had >70% accuracy in predicting endoscopic remission. FC levels below 150 μg/g showed ≥80% accuracy, and FC levels below 100 μg/g demonstrated ≥ 85% accuracy in predicting histologic remission, regardless of the scoring index applied. Elevated FC levels were associated with both acute and chronic inflammatory infiltrates in biopsy samples.

Conclusions: FC is a reliable predictor of histologic remission, with higher accuracy at lower thresholds. The GS, Continuous GS, NI, and RHI demonstrate comparable performance. FC could help stratify patients' need for colonoscopy for the assessment of endoscopic and histologic remission.

Abstract Image

Abstract Image

Abstract Image

粪便钙蛋白对溃疡性结肠炎组织学缓解的预测准确性。
背景/目的:准确评估疾病活动对有效管理和治疗溃疡性结肠炎(UC)至关重要。本研究评估了溃疡性结肠炎疾病活动的临床、内镜和组织学指标之间的相关性:方法:研究了 347 名 UC 患者的临床、生化、内镜和组织学疾病活动性。分析了各种组织学分类系统,即Geboes评分(GS)、连续GS、Nancy指数(NI)和Robarts组织病理学指数(RHI)之间的一致性。评估了粪便钙蛋白(FC)对内镜和组织学缓解的预测准确性:结果:我们发现,UC 疾病活动的临床、内镜和组织学指标之间存在中度到高度的相关性。在区分组织学缓解或活动的患者方面,GS、连续GS、NI和RHI之间有很强的一致性。根据 RHI,NI 检测出了 75% 符合缓解标准的患者,而 RHI 则识别出了 NI 所定义的所有缓解患者。FC 水平低于 150 μg/g 对预测内镜缓解的准确率大于 70%。无论采用哪种评分指标,FC水平低于150 μg/g时预测组织学缓解的准确率≥80%,FC水平低于100 μg/g时预测组织学缓解的准确率≥85%。FC水平升高与活检样本中的急性和慢性炎症浸润有关:结论:FC 是预测组织学缓解的可靠指标,在较低阈值时准确性更高。GS、Continuous GS、NI 和 RHI 的性能相当。FC有助于对患者进行结肠镜检查的需求进行分层,以评估内镜和组织学缓解情况。
本文章由计算机程序翻译,如有差异,请以英文原文为准。
求助全文
约1分钟内获得全文 求助全文
来源期刊
Intestinal Research
Intestinal Research GASTROENTEROLOGY & HEPATOLOGY-
CiteScore
7.40
自引率
10.20%
发文量
69
审稿时长
38 weeks
期刊介绍: Intestinal Research (Intest Res) is the joint official publication of the Asian Organization for Crohn''s and Colitis (AOCC), Chinese Society of IBD (CSIBD), Japanese Society for IBD (JSIBD), Korean Association for the Study of Intestinal Diseases (KASID), Taiwan Society of IBD (TSIBD) and Colitis Crohn''s Foundation (India) (CCF, india). The aim of the Journal is to provide broad and in-depth analysis of intestinal diseases, especially inflammatory bowel disease, which shows increasing tendency and significance. As a Journal specialized in clinical and translational research in gastroenterology, it encompasses multiple aspects of diseases originated from the small and large intestines. The Journal also seeks to propagate and exchange useful innovations, both in ideas and in practice, within the research community. As a mode of scholarly communication, it encourages scientific investigation through the rigorous peer-review system and constitutes a qualified and continual platform for sharing studies of researchers and practitioners. Specifically, the Journal presents up-to-date coverage of medical researches on the physiology, epidemiology, pathophysiology, clinical presentations, and therapeutic interventions of the intestinal diseases. General topics of interest include inflammatory bowel disease, colon and small intestine cancer or polyp, endoscopy, irritable bowel syndrome and other motility disorders, infectious enterocolitis, intestinal tuberculosis, and so forth. The Journal publishes diverse types of academic materials such as editorials, clinical and basic reviews, original articles, case reports, letters to the editor, brief communications, perspective, statement or commentary, and images that are useful to clinicians and researchers.
×
引用
GB/T 7714-2015
复制
MLA
复制
APA
复制
导出至
BibTeX EndNote RefMan NoteFirst NoteExpress
×
提示
您的信息不完整,为了账户安全,请先补充。
现在去补充
×
提示
您因"违规操作"
具体请查看互助需知
我知道了
×
提示
确定
请完成安全验证×
copy
已复制链接
快去分享给好友吧!
我知道了
右上角分享
点击右上角分享
0
联系我们:info@booksci.cn Book学术提供免费学术资源搜索服务,方便国内外学者检索中英文文献。致力于提供最便捷和优质的服务体验。 Copyright © 2023 布克学术 All rights reserved.
京ICP备2023020795号-1
ghs 京公网安备 11010802042870号
Book学术文献互助
Book学术文献互助群
群 号:604180095
Book学术官方微信