Willingness and skills among students from non-health academic fields in providing efficient basic life support.

IF 2.4 4区 医学 Q2 MEDICINE, GENERAL & INTERNAL
Clinics Pub Date : 2024-11-08 eCollection Date: 2024-01-01 DOI:10.1016/j.clinsp.2024.100518
Perola Nakandakari Sugimoto, Gabriela Buno Gouvêa, Igor Caitano Salles, Heráclito Barbosa de Carvalho, Priscila Aikawa, Liana Maria Torres de Araújo Azi, Luiz Fernando Ferraz da Silva, Mariangela Macchione, Federico Semeraro, Andrew Lockey, Robert Greif, Maria José Carvalho Carmona, Bernd Walter Böttiger, Naomi Kondo Nakagawa
{"title":"Willingness and skills among students from non-health academic fields in providing efficient basic life support.","authors":"Perola Nakandakari Sugimoto, Gabriela Buno Gouvêa, Igor Caitano Salles, Heráclito Barbosa de Carvalho, Priscila Aikawa, Liana Maria Torres de Araújo Azi, Luiz Fernando Ferraz da Silva, Mariangela Macchione, Federico Semeraro, Andrew Lockey, Robert Greif, Maria José Carvalho Carmona, Bernd Walter Böttiger, Naomi Kondo Nakagawa","doi":"10.1016/j.clinsp.2024.100518","DOIUrl":null,"url":null,"abstract":"<p><p>Education in basic life support is widely proposed to increase survival in out-of-hospital sudden cardiac arrest. The authors aimed to assess knowledge, skills, and attitudes, including willingness to help, regarding myocardial infarction and sudden cardiac arrest among university students of all fields of knowledge.</p><p><strong>Methods: </strong>An Ethical Research Committee approved this cross-sectional study. An electronic survey \"KIDS SAVE LIVES BRAZIL\" was sent to 58,862 students of 82 disciplines in three universities, aged ≥ 18 years. The survey covered three categories: knowledge, skills, and attitude. Each category was graded between 0 and 10 points (the highest).</p><p><strong>Results: </strong>Among students, 4,803 undergraduates (8.2 %) answered the survey, and were divided into three groups of disciplines: medicine (219, ∼21.7 years, 38 % male), other-healthcare (n = 1,058; ∼22.9 years; 36 % male), and non-health-care (n = 3,526; ∼22.9 years; 35 % male). All three groups showed significant differences between them (p < 0.001). The non-health-care compared with medicine and other healthcare groups showed, respectively, the lowest median scores (25 %‒75 %) in knowledge (4.0 [0.0‒9.3], 4.0 [4.0‒8.0], and 4.0 [4.0‒4.7]), skills (2.4 [1.2‒3.3], 6.4 [4.0‒8.3], 4.0 [2.4‒6.2]), and attitude (5.9 [5.9‒6.8], 7.3 [5.9‒7.3], and 7.3 [5.9‒7.3]).</p><p><strong>Conclusion: </strong>University students who answered the e-survey have the willingness to help victims suffering from myocardial infarction or sustaining sudden cardiac arrest. However, non healthcare students markedly lack the knowledge and skills to perform cardiopulmonary resuscitation and automated external defibrillation. These findings reveal a stark difference in basic life support competencies between students in related healthcare fields and those in non-health fields, emphasizing the need for universal basic life support training.</p>","PeriodicalId":10472,"journal":{"name":"Clinics","volume":"79 ","pages":"100518"},"PeriodicalIF":2.4000,"publicationDate":"2024-11-08","publicationTypes":"Journal Article","fieldsOfStudy":null,"isOpenAccess":false,"openAccessPdf":"https://www.ncbi.nlm.nih.gov/pmc/articles/PMC11583723/pdf/","citationCount":"0","resultStr":null,"platform":"Semanticscholar","paperid":null,"PeriodicalName":"Clinics","FirstCategoryId":"3","ListUrlMain":"https://doi.org/10.1016/j.clinsp.2024.100518","RegionNum":4,"RegionCategory":"医学","ArticlePicture":[],"TitleCN":null,"AbstractTextCN":null,"PMCID":null,"EPubDate":"2024/1/1 0:00:00","PubModel":"eCollection","JCR":"Q2","JCRName":"MEDICINE, GENERAL & INTERNAL","Score":null,"Total":0}
引用次数: 0

Abstract

Education in basic life support is widely proposed to increase survival in out-of-hospital sudden cardiac arrest. The authors aimed to assess knowledge, skills, and attitudes, including willingness to help, regarding myocardial infarction and sudden cardiac arrest among university students of all fields of knowledge.

Methods: An Ethical Research Committee approved this cross-sectional study. An electronic survey "KIDS SAVE LIVES BRAZIL" was sent to 58,862 students of 82 disciplines in three universities, aged ≥ 18 years. The survey covered three categories: knowledge, skills, and attitude. Each category was graded between 0 and 10 points (the highest).

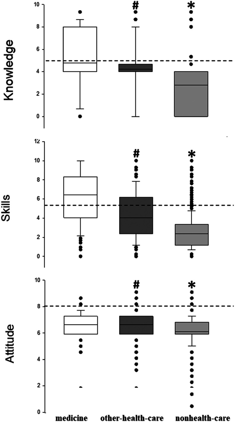
Results: Among students, 4,803 undergraduates (8.2 %) answered the survey, and were divided into three groups of disciplines: medicine (219, ∼21.7 years, 38 % male), other-healthcare (n = 1,058; ∼22.9 years; 36 % male), and non-health-care (n = 3,526; ∼22.9 years; 35 % male). All three groups showed significant differences between them (p < 0.001). The non-health-care compared with medicine and other healthcare groups showed, respectively, the lowest median scores (25 %‒75 %) in knowledge (4.0 [0.0‒9.3], 4.0 [4.0‒8.0], and 4.0 [4.0‒4.7]), skills (2.4 [1.2‒3.3], 6.4 [4.0‒8.3], 4.0 [2.4‒6.2]), and attitude (5.9 [5.9‒6.8], 7.3 [5.9‒7.3], and 7.3 [5.9‒7.3]).

Conclusion: University students who answered the e-survey have the willingness to help victims suffering from myocardial infarction or sustaining sudden cardiac arrest. However, non healthcare students markedly lack the knowledge and skills to perform cardiopulmonary resuscitation and automated external defibrillation. These findings reveal a stark difference in basic life support competencies between students in related healthcare fields and those in non-health fields, emphasizing the need for universal basic life support training.

Abstract Image

Abstract Image

非卫生专业学生提供高效基本生命支持的意愿和技能。
基本生命支持教育被广泛认为可以提高院外心脏骤停患者的存活率。作者旨在评估各专业大学生对心肌梗死和心脏骤停的知识、技能和态度,包括救助意愿:伦理研究委员会批准了这项横断面研究。向三所大学 82 个专业的 58862 名年龄≥ 18 岁的学生发送了 "巴西儿童拯救生命 "电子调查问卷。调查涵盖三个类别:知识、技能和态度。每个类别的分值从 0 分到 10 分(最高分)不等:在学生中,有 4 803 名本科生(8.2%)回答了调查,他们被分为三个学科组:医学(219 人,21.7 岁,38% 为男性)、其他医疗保健学科(1 058 人,22.9 岁,36% 为男性)和非医疗保健学科(3 526 人,22.9 岁,35% 为男性)。三个组别之间均存在明显差异(P < 0.001)。非医疗保健组与医疗保健组和其他医疗保健组相比,在知识方面的中位数得分(25 %-75 %)分别最低(4.0 [0.0-9.3]、4.0 [4.0-8.0]和 4.0 [4.0-8.0])。0-8.0]、4.0[4.0-4.7])、技能(2.4[1.2-3.3]、6.4[4.0-8.3]、4.0[2.4-6.2])和态度(5.9[5.9-6.8]、7.3[5.9-7.3]、7.3[5.9-7.3]):结论:回答电子调查的大学生有帮助心肌梗塞或心脏骤停患者的意愿。然而,非医学生明显缺乏进行心肺复苏和自动体外除颤的知识和技能。这些发现揭示了相关医护专业学生与非医护专业学生在基本生命支持能力方面的明显差异,强调了普及基本生命支持培训的必要性。
本文章由计算机程序翻译,如有差异,请以英文原文为准。
求助全文
约1分钟内获得全文 求助全文
来源期刊
Clinics
Clinics 医学-医学:内科
CiteScore
4.10
自引率
3.70%
发文量
129
审稿时长
52 days
期刊介绍: CLINICS is an electronic journal that publishes peer-reviewed articles in continuous flow, of interest to clinicians and researchers in the medical sciences. CLINICS complies with the policies of funding agencies which request or require deposition of the published articles that they fund into publicly available databases. CLINICS supports the position of the International Committee of Medical Journal Editors (ICMJE) on trial registration.
×
引用
GB/T 7714-2015
复制
MLA
复制
APA
复制
导出至
BibTeX EndNote RefMan NoteFirst NoteExpress
×
提示
您的信息不完整,为了账户安全,请先补充。
现在去补充
×
提示
您因"违规操作"
具体请查看互助需知
我知道了
×
提示
确定
请完成安全验证×
copy
已复制链接
快去分享给好友吧!
我知道了
右上角分享
点击右上角分享
0
联系我们:info@booksci.cn Book学术提供免费学术资源搜索服务,方便国内外学者检索中英文文献。致力于提供最便捷和优质的服务体验。 Copyright © 2023 布克学术 All rights reserved.
京ICP备2023020795号-1
ghs 京公网安备 11010802042870号
Book学术文献互助
Book学术文献互助群
群 号:604180095
Book学术官方微信