Gender-Specific Survival of Nasopharyngeal Carcinoma in Endemic and Non-Endemic Areas Based on the US SEER Database and a Chinese Single-Institutional Registry.

IF 3.2 2区 医学 Q1 PUBLIC, ENVIRONMENTAL & OCCUPATIONAL HEALTH
Clinical Epidemiology Pub Date : 2024-11-09 eCollection Date: 2024-01-01 DOI:10.2147/CLEP.S490023
Lin-Feng Guo, Ya-Qing Dai, Yi-Feng Yu, San-Gang Wu
{"title":"Gender-Specific Survival of Nasopharyngeal Carcinoma in Endemic and Non-Endemic Areas Based on the US SEER Database and a Chinese Single-Institutional Registry.","authors":"Lin-Feng Guo, Ya-Qing Dai, Yi-Feng Yu, San-Gang Wu","doi":"10.2147/CLEP.S490023","DOIUrl":null,"url":null,"abstract":"<p><strong>Purpose: </strong>To investigate the prognostic implications of gender in nasopharyngeal carcinoma (NPC) utilizing data from two independent cohorts: the Xiamen (XM)-NPC cohort (an endemic area in China) and the United States Surveillance, Epidemiology, and End Results (SEER)-NPC cohort (a non-endemic area).</p><p><strong>Methods: </strong>We included patients diagnosed with NPC from both the XM-NPC and SEER-NPC cohorts. Statistical analysis involved the chi-square test, Kaplan-Meier method, and multivariate Cox regression analyses.</p><p><strong>Results: </strong>The study identified 728 patients in the XM-NPC cohort and 2237 in the SEER cohort. In the XM-NPC cohort, 515 (70.7%) were male and 213 (29.3%) were female. In the SEER-NPC cohort, 1597 (71.4%) were male and 640 (28.6%) were female. The male-to-female ratio peaked at ≤25 years (2.33) and 46-55 years (2.79) in the XM-NPC cohort, and at ≤25 years (2.07) and 56-65 years (3.24) in the SEER-NPC cohort. The lowest ratios were observed among patients aged 26-35 years in both cohorts (XM-NPC: 1.64; SEER-NPC:1.38). In the XM-NPC cohort, females had significantly better overall survival (P=0.022) and distant metastasis-free survival (P=0.038) compared to males. Similarly, in the SEER-NPC cohort, gender was found to be an independent prognostic factor for overall survival, with females showing better outcomes (P=0.038). Consistent trends were observed in patients aged >45 years in both cohorts, while survival outcomes were comparable between genders in patients aged ≤45 years.</p><p><strong>Conclusion: </strong>Gender independently influences survival outcomes of NPC in both endemic and non-endemic areas.</p>","PeriodicalId":10362,"journal":{"name":"Clinical Epidemiology","volume":"16 ","pages":"769-782"},"PeriodicalIF":3.2000,"publicationDate":"2024-11-09","publicationTypes":"Journal Article","fieldsOfStudy":null,"isOpenAccess":false,"openAccessPdf":"https://www.ncbi.nlm.nih.gov/pmc/articles/PMC11559420/pdf/","citationCount":"0","resultStr":null,"platform":"Semanticscholar","paperid":null,"PeriodicalName":"Clinical Epidemiology","FirstCategoryId":"3","ListUrlMain":"https://doi.org/10.2147/CLEP.S490023","RegionNum":2,"RegionCategory":"医学","ArticlePicture":[],"TitleCN":null,"AbstractTextCN":null,"PMCID":null,"EPubDate":"2024/1/1 0:00:00","PubModel":"eCollection","JCR":"Q1","JCRName":"PUBLIC, ENVIRONMENTAL & OCCUPATIONAL HEALTH","Score":null,"Total":0}
引用次数: 0

Abstract

Purpose: To investigate the prognostic implications of gender in nasopharyngeal carcinoma (NPC) utilizing data from two independent cohorts: the Xiamen (XM)-NPC cohort (an endemic area in China) and the United States Surveillance, Epidemiology, and End Results (SEER)-NPC cohort (a non-endemic area).

Methods: We included patients diagnosed with NPC from both the XM-NPC and SEER-NPC cohorts. Statistical analysis involved the chi-square test, Kaplan-Meier method, and multivariate Cox regression analyses.

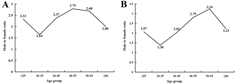
Results: The study identified 728 patients in the XM-NPC cohort and 2237 in the SEER cohort. In the XM-NPC cohort, 515 (70.7%) were male and 213 (29.3%) were female. In the SEER-NPC cohort, 1597 (71.4%) were male and 640 (28.6%) were female. The male-to-female ratio peaked at ≤25 years (2.33) and 46-55 years (2.79) in the XM-NPC cohort, and at ≤25 years (2.07) and 56-65 years (3.24) in the SEER-NPC cohort. The lowest ratios were observed among patients aged 26-35 years in both cohorts (XM-NPC: 1.64; SEER-NPC:1.38). In the XM-NPC cohort, females had significantly better overall survival (P=0.022) and distant metastasis-free survival (P=0.038) compared to males. Similarly, in the SEER-NPC cohort, gender was found to be an independent prognostic factor for overall survival, with females showing better outcomes (P=0.038). Consistent trends were observed in patients aged >45 years in both cohorts, while survival outcomes were comparable between genders in patients aged ≤45 years.

Conclusion: Gender independently influences survival outcomes of NPC in both endemic and non-endemic areas.

Abstract Image

Abstract Image

Abstract Image

基于美国 SEER 数据库和中国单一机构登记的鼻咽癌流行区和非流行区的性别生存率。
目的:利用厦门(XM)-鼻咽癌队列(中国流行地区)和美国监测、流行病学和最终结果(SEER)-鼻咽癌队列(非流行地区)两个独立队列的数据,研究性别对鼻咽癌预后的影响:我们纳入了XM-NPC和SEER-NPC队列中确诊的鼻咽癌患者。统计分析包括卡普兰-梅耶法(Kaplan-Meier method)和多变量考克斯回归分析:研究在XM-NPC队列中发现了728名患者,在SEER队列中发现了2237名患者。在XM-NPC队列中,515人(70.7%)为男性,213人(29.3%)为女性。在 SEER-NPC 队列中,男性为 1597 人(71.4%),女性为 640 人(28.6%)。在XM-NPC队列中,男女比例在≤25岁(2.33)和46-55岁(2.79)时达到最高值;在SEER-NPC队列中,男女比例在≤25岁(2.07)和56-65岁(3.24)时达到最高值。在两个队列中,26-35 岁患者的比率最低(XM-NPC:1.64;SEER-NPC:1.38)。在XM-NPC队列中,女性的总生存期(P=0.022)和无远处转移生存期(P=0.038)明显优于男性。同样,在SEER-NPC队列中,性别也是影响总生存期的独立预后因素,女性的预后更好(P=0.038)。在两个队列中年龄大于45岁的患者中观察到了一致的趋势,而在年龄小于45岁的患者中,不同性别的生存结果相当:结论:在鼻咽癌流行地区和非流行地区,性别对鼻咽癌患者的生存结果均有独立影响。
本文章由计算机程序翻译,如有差异,请以英文原文为准。
求助全文
约1分钟内获得全文 求助全文
来源期刊
Clinical Epidemiology
Clinical Epidemiology Medicine-Epidemiology
CiteScore
6.30
自引率
5.10%
发文量
169
审稿时长
16 weeks
期刊介绍: Clinical Epidemiology is an international, peer reviewed, open access journal. Clinical Epidemiology focuses on the application of epidemiological principles and questions relating to patients and clinical care in terms of prevention, diagnosis, prognosis, and treatment. Clinical Epidemiology welcomes papers covering these topics in form of original research and systematic reviews. Clinical Epidemiology has a special interest in international electronic medical patient records and other routine health care data, especially as applied to safety of medical interventions, clinical utility of diagnostic procedures, understanding short- and long-term clinical course of diseases, clinical epidemiological and biostatistical methods, and systematic reviews. When considering submission of a paper utilizing publicly-available data, authors should ensure that such studies add significantly to the body of knowledge and that they use appropriate validated methods for identifying health outcomes. The journal has launched special series describing existing data sources for clinical epidemiology, international health care systems and validation studies of algorithms based on databases and registries.
×
引用
GB/T 7714-2015
复制
MLA
复制
APA
复制
导出至
BibTeX EndNote RefMan NoteFirst NoteExpress
×
提示
您的信息不完整,为了账户安全,请先补充。
现在去补充
×
提示
您因"违规操作"
具体请查看互助需知
我知道了
×
提示
确定
请完成安全验证×
copy
已复制链接
快去分享给好友吧!
我知道了
右上角分享
点击右上角分享
0
联系我们:info@booksci.cn Book学术提供免费学术资源搜索服务,方便国内外学者检索中英文文献。致力于提供最便捷和优质的服务体验。 Copyright © 2023 布克学术 All rights reserved.
京ICP备2023020795号-1
ghs 京公网安备 11010802042870号
Book学术文献互助
Book学术文献互助群
群 号:604180095
Book学术官方微信