Xylooligosaccharide Production From Lignocellulosic Biomass and Their Health Benefits as Prebiotics.

IF 3.4 Q2 BIOCHEMICAL RESEARCH METHODS
Biochemistry Research International Pub Date : 2024-11-05 eCollection Date: 2024-01-01 DOI:10.1155/2024/6179375
Kajal Kumari, Sushil Nagar, Sakshi Goyal, Sonu Maan, Vishal Chugh, Vinod Kumar, Neeraj Kharor
{"title":"Xylooligosaccharide Production From Lignocellulosic Biomass and Their Health Benefits as Prebiotics.","authors":"Kajal Kumari, Sushil Nagar, Sakshi Goyal, Sonu Maan, Vishal Chugh, Vinod Kumar, Neeraj Kharor","doi":"10.1155/2024/6179375","DOIUrl":null,"url":null,"abstract":"<p><p>Lignocellulosic biomass (LCB) comprising of wheat bran, coconut husk, rice husk, cereals straw, and other hardwood and softwoods is a good source for the production of xylooligosaccharides (XOS) (prebiotic). XOS produced are nondigestible carbohydrates being stable under stomach pH and digestive enzymes so they can be easily delivered to the intestine in native form, thus stimulating the growth of probiotics. Here we review about the raw material, production, purification, and application of XOS with health benefits. Importance of XOS being valuable food ingredient is increasing as they perform a variety of functions, including reduction in cholesterol levels, gastrointestinal health maintenance, anticancer and antioxidant properties, and modulation of immune system. We also discuss the different characterization methods which are necessary to determine the degree of polymerization (DP) of XOS. Low DP (xylobiose and xylotriose) is usually preferred for the application of XOS in various sectors. This review emphasizes the growing significance of XOS as a prebiotic, serving as nourishment for probiotics.</p>","PeriodicalId":8826,"journal":{"name":"Biochemistry Research International","volume":"2024 ","pages":"6179375"},"PeriodicalIF":3.4000,"publicationDate":"2024-11-05","publicationTypes":"Journal Article","fieldsOfStudy":null,"isOpenAccess":false,"openAccessPdf":"https://www.ncbi.nlm.nih.gov/pmc/articles/PMC11557181/pdf/","citationCount":"0","resultStr":null,"platform":"Semanticscholar","paperid":null,"PeriodicalName":"Biochemistry Research International","FirstCategoryId":"1085","ListUrlMain":"https://doi.org/10.1155/2024/6179375","RegionNum":0,"RegionCategory":null,"ArticlePicture":[],"TitleCN":null,"AbstractTextCN":null,"PMCID":null,"EPubDate":"2024/1/1 0:00:00","PubModel":"eCollection","JCR":"Q2","JCRName":"BIOCHEMICAL RESEARCH METHODS","Score":null,"Total":0}
引用次数: 0

Abstract

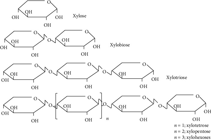
Lignocellulosic biomass (LCB) comprising of wheat bran, coconut husk, rice husk, cereals straw, and other hardwood and softwoods is a good source for the production of xylooligosaccharides (XOS) (prebiotic). XOS produced are nondigestible carbohydrates being stable under stomach pH and digestive enzymes so they can be easily delivered to the intestine in native form, thus stimulating the growth of probiotics. Here we review about the raw material, production, purification, and application of XOS with health benefits. Importance of XOS being valuable food ingredient is increasing as they perform a variety of functions, including reduction in cholesterol levels, gastrointestinal health maintenance, anticancer and antioxidant properties, and modulation of immune system. We also discuss the different characterization methods which are necessary to determine the degree of polymerization (DP) of XOS. Low DP (xylobiose and xylotriose) is usually preferred for the application of XOS in various sectors. This review emphasizes the growing significance of XOS as a prebiotic, serving as nourishment for probiotics.

Abstract Image

Abstract Image

Abstract Image

从木质纤维素生物质中生产低聚木糖及其作为益生元对健康的益处。
木质纤维素生物质(LCB)包括麦麸、椰子壳、稻壳、谷物秸秆以及其他硬木和软木,是生产木寡糖(XOS)(益生元)的良好来源。生产的 XOS 是不可消化的碳水化合物,在胃的 pH 值和消化酶的作用下非常稳定,因此很容易以原生态的形式输送到肠道,从而刺激益生菌的生长。在此,我们将对具有健康益处的 XOS 的原料、生产、提纯和应用进行综述。XOS 具有多种功能,包括降低胆固醇水平、维护胃肠道健康、抗癌和抗氧化特性以及调节免疫系统,因此作为有价值的食品配料,其重要性与日俱增。我们还讨论了确定 XOS 聚合度(DP)所需的不同表征方法。低聚合度(木糖和木三糖)通常是将 XOS 应用于各个领域的首选。本综述强调,作为益生菌的营养品,木糖醇作为益生元的重要性与日俱增。
本文章由计算机程序翻译,如有差异,请以英文原文为准。
求助全文
约1分钟内获得全文 求助全文
来源期刊
Biochemistry Research International
Biochemistry Research International BIOCHEMICAL RESEARCH METHODS-
CiteScore
6.30
自引率
0.00%
发文量
27
审稿时长
14 weeks
×
引用
GB/T 7714-2015
复制
MLA
复制
APA
复制
导出至
BibTeX EndNote RefMan NoteFirst NoteExpress
×
提示
您的信息不完整,为了账户安全,请先补充。
现在去补充
×
提示
您因"违规操作"
具体请查看互助需知
我知道了
×
提示
确定
请完成安全验证×
copy
已复制链接
快去分享给好友吧!
我知道了
右上角分享
点击右上角分享
0
联系我们:info@booksci.cn Book学术提供免费学术资源搜索服务,方便国内外学者检索中英文文献。致力于提供最便捷和优质的服务体验。 Copyright © 2023 布克学术 All rights reserved.
京ICP备2023020795号-1
ghs 京公网安备 11010802042870号
Book学术文献互助
Book学术文献互助群
群 号:604180095
Book学术官方微信