Modular anatomic approach to oral tongue carcinoma: functional outcomes and quality of life.

IF 2.1 4区 医学 Q2 OTORHINOLARYNGOLOGY
Luca Gazzini, Virginia Dallari, Arianna Caselli, Fabio Vittadello, Luca Calabrese
{"title":"Modular anatomic approach to oral tongue carcinoma: functional outcomes and quality of life.","authors":"Luca Gazzini, Virginia Dallari, Arianna Caselli, Fabio Vittadello, Luca Calabrese","doi":"10.14639/0392-100X-N3041","DOIUrl":null,"url":null,"abstract":"<p><strong>Objectives: </strong>The purpose of this study is to present the long-term functional swallowing outcomes of various surgical approaches to oral tongue/floor of mouth squamous cell carcinoma (OTFOMSCC) according to a modular and compartment-based concept previously described elsewhere.</p><p><strong>Methods: </strong>A retrospective study was conducted on patients undergoing surgery for OTFOMSCC from January 2017 to April 2023 in the Department of Otorhinolaryngology at the Hospital of Bolzano. Functional swallowing outcomes and quality of life (QoL) were assessed through the administration of a scale and questionnaires between 6 months and 1 year postoperatively or after the end of adjuvant therapy, stratifying the results according to the surgical technique used.</p><p><strong>Results: </strong>A total of 92 patients with OTFOMSCC were enrolled: 44 patients underwent transoral anatomically guided surgery (TAGS) for early-stage tumours, and 48 underwent major surgery for advanced stages. Among the latter 48 patients: 35 underwent compartment tongue surgery (CTS), 3 underwent extended glossectomies (EG) Type A, 6 underwent EG Type B, and 4 underwent EG Type C. After TAGS, all patients resumed oral feeding for all consistencies. In the CTS group, only one patient faced challenges with pure liquids, yet all achieved the target of consuming a semisolid and semiliquid diet. EG exhibited a noticeable decline in performance from Type A to total glossectomy (Type C).</p><p><strong>Conclusions: </strong>Following an anatomically-guided approach to the resection of OTFOMSCC allows the surgery to be modulated on the structures involved by the tumour, thus achieving optimal oncological results, while maintaining the possibility to predict functional outcomes and postoperative QoL.</p>","PeriodicalId":6890,"journal":{"name":"Acta Otorhinolaryngologica Italica","volume":"44 5","pages":"285-295"},"PeriodicalIF":2.1000,"publicationDate":"2024-10-01","publicationTypes":"Journal Article","fieldsOfStudy":null,"isOpenAccess":false,"openAccessPdf":"https://www.ncbi.nlm.nih.gov/pmc/articles/PMC11556779/pdf/","citationCount":"0","resultStr":null,"platform":"Semanticscholar","paperid":null,"PeriodicalName":"Acta Otorhinolaryngologica Italica","FirstCategoryId":"3","ListUrlMain":"https://doi.org/10.14639/0392-100X-N3041","RegionNum":4,"RegionCategory":"医学","ArticlePicture":[],"TitleCN":null,"AbstractTextCN":null,"PMCID":null,"EPubDate":"","PubModel":"","JCR":"Q2","JCRName":"OTORHINOLARYNGOLOGY","Score":null,"Total":0}
引用次数: 0

Abstract

Objectives: The purpose of this study is to present the long-term functional swallowing outcomes of various surgical approaches to oral tongue/floor of mouth squamous cell carcinoma (OTFOMSCC) according to a modular and compartment-based concept previously described elsewhere.

Methods: A retrospective study was conducted on patients undergoing surgery for OTFOMSCC from January 2017 to April 2023 in the Department of Otorhinolaryngology at the Hospital of Bolzano. Functional swallowing outcomes and quality of life (QoL) were assessed through the administration of a scale and questionnaires between 6 months and 1 year postoperatively or after the end of adjuvant therapy, stratifying the results according to the surgical technique used.

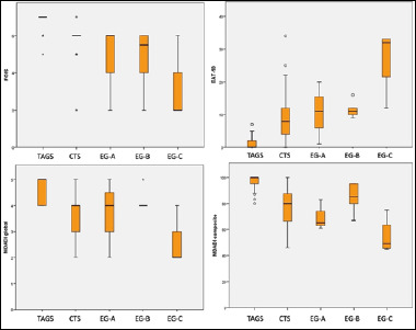
Results: A total of 92 patients with OTFOMSCC were enrolled: 44 patients underwent transoral anatomically guided surgery (TAGS) for early-stage tumours, and 48 underwent major surgery for advanced stages. Among the latter 48 patients: 35 underwent compartment tongue surgery (CTS), 3 underwent extended glossectomies (EG) Type A, 6 underwent EG Type B, and 4 underwent EG Type C. After TAGS, all patients resumed oral feeding for all consistencies. In the CTS group, only one patient faced challenges with pure liquids, yet all achieved the target of consuming a semisolid and semiliquid diet. EG exhibited a noticeable decline in performance from Type A to total glossectomy (Type C).

Conclusions: Following an anatomically-guided approach to the resection of OTFOMSCC allows the surgery to be modulated on the structures involved by the tumour, thus achieving optimal oncological results, while maintaining the possibility to predict functional outcomes and postoperative QoL.

Abstract Image

Abstract Image

Abstract Image

口腔舌癌的模块化解剖方法:功能结果和生活质量。
研究目的:本研究的目的是根据之前在其他地方描述过的基于模块和分区的概念,介绍各种手术方法治疗口腔舌/口底鳞状细胞癌(OTFOMSCC)的长期吞咽功能结果:2017年1月至2023年4月期间,博尔扎诺医院耳鼻喉科对接受口腔舌/口底鳞癌手术的患者进行了一项回顾性研究。在术后6个月至1年期间或辅助治疗结束后,通过使用量表和问卷对功能性吞咽结果和生活质量(QoL)进行评估,并根据所使用的手术技术对结果进行分层:共有92名OTFOMSCC患者入选:结果:共纳入了 92 名 OTFOMSCC 患者:44 名患者接受了经口解剖引导手术(TAGS)治疗早期肿瘤,48 名患者接受了大手术治疗晚期肿瘤。在后 48 名患者中在接受 TAGS 手术后,所有患者都恢复了所有浓度的口腔喂养。在 CTS 组中,只有一名患者在进食纯流质食物时遇到困难,但所有患者都实现了进食半固体和半流质食物的目标。从A型到全玻璃体切除术(C型),EG的表现明显下降:结论:在解剖学指导下进行OTFOMSCC切除术,可以根据肿瘤涉及的结构调整手术,从而达到最佳的肿瘤治疗效果,同时还能预测功能结果和术后生活质量。
本文章由计算机程序翻译,如有差异,请以英文原文为准。
求助全文
约1分钟内获得全文 求助全文
来源期刊
Acta Otorhinolaryngologica Italica
Acta Otorhinolaryngologica Italica OTORHINOLARYNGOLOGY-
CiteScore
3.40
自引率
10.00%
发文量
97
审稿时长
6-12 weeks
期刊介绍: Acta Otorhinolaryngologica Italica first appeared as “Annali di Laringologia Otologia e Faringologia” and was founded in 1901 by Giulio Masini. It is the official publication of the Italian Hospital Otology Association (A.O.O.I.) and, since 1976, also of the Società Italiana di Otorinolaringoiatria e Chirurgia Cervico-Facciale (S.I.O.Ch.C.-F.). The journal publishes original articles (clinical trials, cohort studies, case-control studies, cross-sectional surveys, and diagnostic test assessments) of interest in the field of otorhinolaryngology as well as clinical techniques and technology (a short report of unique or original methods for surgical techniques, medical management or new devices or technology), editorials (including editorial guests – special contribution) and letters to the Editor-in-Chief. Articles concerning science investigations and well prepared systematic reviews (including meta-analyses) on themes related to basic science, clinical otorhinolaryngology and head and neck surgery have high priority.
×
引用
GB/T 7714-2015
复制
MLA
复制
APA
复制
导出至
BibTeX EndNote RefMan NoteFirst NoteExpress
×
提示
您的信息不完整,为了账户安全,请先补充。
现在去补充
×
提示
您因"违规操作"
具体请查看互助需知
我知道了
×
提示
确定
请完成安全验证×
copy
已复制链接
快去分享给好友吧!
我知道了
右上角分享
点击右上角分享
0
联系我们:info@booksci.cn Book学术提供免费学术资源搜索服务,方便国内外学者检索中英文文献。致力于提供最便捷和优质的服务体验。 Copyright © 2023 布克学术 All rights reserved.
京ICP备2023020795号-1
ghs 京公网安备 11010802042870号
Book学术文献互助
Book学术文献互助群
群 号:604180095
Book学术官方微信