In Vitro Cytotoxicity of Fluorinated Quaternary Ammonium Salts in Colorectal Cancer Cells and In Silico Pharmacology.

IF 3 Q3 PHARMACOLOGY & PHARMACY
Advances in Pharmacological and Pharmaceutical Sciences Pub Date : 2024-10-30 eCollection Date: 2024-01-01 DOI:10.1155/2024/2671547
Adriana Milena Olarte Aponte, Victoria Ospina, Sergio A Pulido, Luz Amalia Ríos-Vásquez, Luz Adriana Betancur Jaramillo, Carlos Mario Muñetón Peña, Rogelio Ocampo-Cardona, Sara M Robledo
{"title":"In Vitro Cytotoxicity of Fluorinated Quaternary Ammonium Salts in Colorectal Cancer Cells and In Silico Pharmacology.","authors":"Adriana Milena Olarte Aponte, Victoria Ospina, Sergio A Pulido, Luz Amalia Ríos-Vásquez, Luz Adriana Betancur Jaramillo, Carlos Mario Muñetón Peña, Rogelio Ocampo-Cardona, Sara M Robledo","doi":"10.1155/2024/2671547","DOIUrl":null,"url":null,"abstract":"<p><p>Colorectal cancer (CRC) is a multifactorial disease driven by genetic and epigenetic alterations that modulate specific metabolic pathways. Despite the availability of effective treatments like 5-fluorouracil (5-FU), pharmacological therapy for CRC still faces significant challenges, including drug resistance, toxicity, and limited specificity. Therefore, discovering new compounds remains critical to overcoming these barriers and expanding treatment options. This study evaluated the cytotoxicity of fluorinated quaternary ammonium salts (FQAS) library in CRC-derived cell lines with premetastatic and metastatic phenotypes. The genetic and epigenetic background of the CRC cell lines and the selectivity of cytotoxicity compared to nontumor cells and between different CRC stages were also assessed. Additionally, the in silico pharmacological properties of these FQASs were analyzed. Results showed that FQASs <b>9-14</b> exhibited significant cytotoxic activity against both premetastatic and metastatic CRC cell lines, with FQASs <b>9</b>, <b>13</b>, and <b>14</b> displaying selective toxicity toward CRC cells over normal murine colorectal cells. However, in silico studies indicated poor oral bioavailability for these compounds, suggesting that an injection-based delivery route may be more effective for targeting CRC cells. In conclusion, CF<sub>3</sub>-containing FQASs are promising therapeutic candidates for CRC treatment.</p>","PeriodicalId":7369,"journal":{"name":"Advances in Pharmacological and Pharmaceutical Sciences","volume":"2024 ","pages":"2671547"},"PeriodicalIF":3.0000,"publicationDate":"2024-10-30","publicationTypes":"Journal Article","fieldsOfStudy":null,"isOpenAccess":false,"openAccessPdf":"https://www.ncbi.nlm.nih.gov/pmc/articles/PMC11540889/pdf/","citationCount":"0","resultStr":null,"platform":"Semanticscholar","paperid":null,"PeriodicalName":"Advances in Pharmacological and Pharmaceutical Sciences","FirstCategoryId":"1085","ListUrlMain":"https://doi.org/10.1155/2024/2671547","RegionNum":0,"RegionCategory":null,"ArticlePicture":[],"TitleCN":null,"AbstractTextCN":null,"PMCID":null,"EPubDate":"2024/1/1 0:00:00","PubModel":"eCollection","JCR":"Q3","JCRName":"PHARMACOLOGY & PHARMACY","Score":null,"Total":0}
引用次数: 0

Abstract

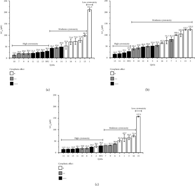
Colorectal cancer (CRC) is a multifactorial disease driven by genetic and epigenetic alterations that modulate specific metabolic pathways. Despite the availability of effective treatments like 5-fluorouracil (5-FU), pharmacological therapy for CRC still faces significant challenges, including drug resistance, toxicity, and limited specificity. Therefore, discovering new compounds remains critical to overcoming these barriers and expanding treatment options. This study evaluated the cytotoxicity of fluorinated quaternary ammonium salts (FQAS) library in CRC-derived cell lines with premetastatic and metastatic phenotypes. The genetic and epigenetic background of the CRC cell lines and the selectivity of cytotoxicity compared to nontumor cells and between different CRC stages were also assessed. Additionally, the in silico pharmacological properties of these FQASs were analyzed. Results showed that FQASs 9-14 exhibited significant cytotoxic activity against both premetastatic and metastatic CRC cell lines, with FQASs 9, 13, and 14 displaying selective toxicity toward CRC cells over normal murine colorectal cells. However, in silico studies indicated poor oral bioavailability for these compounds, suggesting that an injection-based delivery route may be more effective for targeting CRC cells. In conclusion, CF3-containing FQASs are promising therapeutic candidates for CRC treatment.

Abstract Image

Abstract Image

氟化季铵盐对结直肠癌细胞的体外细胞毒性和硅药理学。
结直肠癌(CRC)是一种多因素疾病,由基因和表观遗传学改变驱动,这些改变会调节特定的代谢途径。尽管有 5-氟尿嘧啶(5-FU)等有效的治疗方法,但 CRC 的药物治疗仍然面临着巨大的挑战,包括耐药性、毒性和有限的特异性。因此,发现新化合物对于克服这些障碍和扩大治疗选择仍然至关重要。本研究评估了氟化季铵盐(FQAS)库在具有转移前和转移表型的 CRC 衍生细胞系中的细胞毒性。还评估了 CRC 细胞系的遗传和表观遗传背景,以及与非肿瘤细胞相比和不同 CRC 分期之间的细胞毒性选择性。此外,还分析了这些 FQASs 的硅药理学特性。结果表明,FQASs 9-14 对转移前和转移性 CRC 细胞系都具有显著的细胞毒性活性,其中 FQASs 9、13 和 14 对 CRC 细胞的毒性选择性高于正常小鼠结直肠细胞。然而,硅学研究表明,这些化合物的口服生物利用度较低,这表明注射给药途径可能对靶向 CRC 细胞更有效。总之,含 CF3 的 FQASs 是治疗 CRC 的理想候选药物。
本文章由计算机程序翻译,如有差异,请以英文原文为准。
求助全文
约1分钟内获得全文 求助全文
来源期刊
CiteScore
4.30
自引率
3.60%
发文量
0
审稿时长
17 weeks
×
引用
GB/T 7714-2015
复制
MLA
复制
APA
复制
导出至
BibTeX EndNote RefMan NoteFirst NoteExpress
×
提示
您的信息不完整,为了账户安全,请先补充。
现在去补充
×
提示
您因"违规操作"
具体请查看互助需知
我知道了
×
提示
确定
请完成安全验证×
copy
已复制链接
快去分享给好友吧!
我知道了
右上角分享
点击右上角分享
0
联系我们:info@booksci.cn Book学术提供免费学术资源搜索服务,方便国内外学者检索中英文文献。致力于提供最便捷和优质的服务体验。 Copyright © 2023 布克学术 All rights reserved.
京ICP备2023020795号-1
ghs 京公网安备 11010802042870号
Book学术文献互助
Book学术文献互助群
群 号:604180095
Book学术官方微信