Reliability and Validity of the L Test in Persons With Multiple Sclerosis.

IF 1.8 4区 心理学 Q4 PSYCHOLOGY, EXPERIMENTAL
Perceptual and Motor Skills Pub Date : 2025-04-01 Epub Date: 2024-11-07 DOI:10.1177/00315125241298728
Furkan Bilek, Caner F Demir
{"title":"Reliability and Validity of the L Test in Persons With Multiple Sclerosis.","authors":"Furkan Bilek, Caner F Demir","doi":"10.1177/00315125241298728","DOIUrl":null,"url":null,"abstract":"<p><p>The L Test has been developed to assess balance and gait disorders. Our aim in this study was to estimate the test-retest reliability and validity of the L Test when used with 82 persons with multiple sclerosis (PwMS). For these participants, we examined the degree of agreement between the results of a first and second administration of the L Test (separated by one day), using Bland-Altman analysis and intra-class correlation coefficients (ICCs). We computed minimal detectable change (MDC) and standard error of measurement (SEM) values for the L Test and evaluated concurrent validity by correlating L Test results with the Timed Up and Go test (TUG) and the 10-minute Walk Test (10MWT). Prior to administering these measurements, we randomized the sequence of the test administrations to our participants. The Bland-Altman analysis showed that L Test was reproducible, with upper and lower limits of agreement of 0.99 and -1.45 seconds, respectively. The L Test demonstrated excellent test-retest reliability, with an ICC value of 0.996 (95% CI: 0.994-0.998). Cronbach's alpha coefficient was 0.996. The performance of the L Test is measured by seconds required to complete the task, and we found the L Test SEM value to be 0.35 seconds, and its MDC value to be 0.97 seconds. The L Test showed a strong correlation with both the TUG test (rho = 0.936; <i>p</i> < .001) and the 10MWT (rho = 0.925; <i>p</i> < .001). We concluded that the L Test is a reliable and valid \\ tool for assessing functional mobility and balance in PwMS.</p>","PeriodicalId":19869,"journal":{"name":"Perceptual and Motor Skills","volume":" ","pages":"262-277"},"PeriodicalIF":1.8000,"publicationDate":"2025-04-01","publicationTypes":"Journal Article","fieldsOfStudy":null,"isOpenAccess":false,"openAccessPdf":"https://www.ncbi.nlm.nih.gov/pmc/articles/PMC11894887/pdf/","citationCount":"0","resultStr":null,"platform":"Semanticscholar","paperid":null,"PeriodicalName":"Perceptual and Motor Skills","FirstCategoryId":"102","ListUrlMain":"https://doi.org/10.1177/00315125241298728","RegionNum":4,"RegionCategory":"心理学","ArticlePicture":[],"TitleCN":null,"AbstractTextCN":null,"PMCID":null,"EPubDate":"2024/11/7 0:00:00","PubModel":"Epub","JCR":"Q4","JCRName":"PSYCHOLOGY, EXPERIMENTAL","Score":null,"Total":0}
引用次数: 0

Abstract

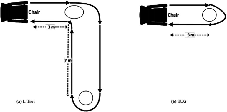
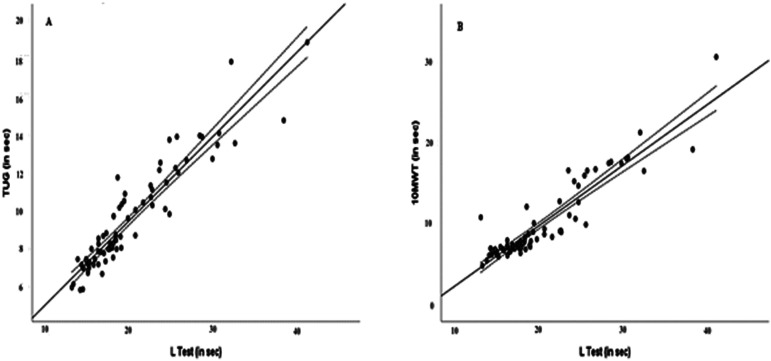
The L Test has been developed to assess balance and gait disorders. Our aim in this study was to estimate the test-retest reliability and validity of the L Test when used with 82 persons with multiple sclerosis (PwMS). For these participants, we examined the degree of agreement between the results of a first and second administration of the L Test (separated by one day), using Bland-Altman analysis and intra-class correlation coefficients (ICCs). We computed minimal detectable change (MDC) and standard error of measurement (SEM) values for the L Test and evaluated concurrent validity by correlating L Test results with the Timed Up and Go test (TUG) and the 10-minute Walk Test (10MWT). Prior to administering these measurements, we randomized the sequence of the test administrations to our participants. The Bland-Altman analysis showed that L Test was reproducible, with upper and lower limits of agreement of 0.99 and -1.45 seconds, respectively. The L Test demonstrated excellent test-retest reliability, with an ICC value of 0.996 (95% CI: 0.994-0.998). Cronbach's alpha coefficient was 0.996. The performance of the L Test is measured by seconds required to complete the task, and we found the L Test SEM value to be 0.35 seconds, and its MDC value to be 0.97 seconds. The L Test showed a strong correlation with both the TUG test (rho = 0.936; p < .001) and the 10MWT (rho = 0.925; p < .001). We concluded that the L Test is a reliable and valid \ tool for assessing functional mobility and balance in PwMS.

Abstract Image

Abstract Image

Abstract Image

多发性硬化症患者 L 测试的可靠性和有效性。
L 测试是为评估平衡和步态障碍而开发的。本研究的目的是评估 L 测试在 82 名多发性硬化症患者(PwMS)中使用时的重复测试可靠性和有效性。对于这些参与者,我们使用布兰-阿尔特曼分析法和类内相关系数(ICCs)来检验 L 测试第一次和第二次施测结果(间隔一天)之间的一致程度。我们计算了 L 测试的最小可检测变化(MDC)和测量标准误差(SEM)值,并通过将 L 测试结果与定时起立行走测试(TUG)和 10 分钟步行测试(10MWT)相关联来评估并发有效性。在进行这些测量之前,我们随机安排了参与者的测试顺序。布兰德-阿尔特曼分析表明,L 测试具有良好的再现性,一致性的上限和下限分别为 0.99 秒和-1.45 秒。L 测试的重测可靠性极佳,ICC 值为 0.996(95% CI:0.994-0.998)。克朗巴赫α系数为 0.996。我们发现 L 测试的 SEM 值为 0.35 秒,MDC 值为 0.97 秒。L 测试与 TUG 测试(rho = 0.936;p < .001)和 10MWT 测试(rho = 0.925;p < .001)均显示出很强的相关性。我们的结论是,L 测试是一种可靠有效的工具,可用于评估 PwMS 的功能活动能力和平衡能力。
本文章由计算机程序翻译,如有差异,请以英文原文为准。
求助全文
约1分钟内获得全文 求助全文
来源期刊
Perceptual and Motor Skills
Perceptual and Motor Skills PSYCHOLOGY, EXPERIMENTAL-
CiteScore
2.90
自引率
6.20%
发文量
110
×
引用
GB/T 7714-2015
复制
MLA
复制
APA
复制
导出至
BibTeX EndNote RefMan NoteFirst NoteExpress
×
提示
您的信息不完整,为了账户安全,请先补充。
现在去补充
×
提示
您因"违规操作"
具体请查看互助需知
我知道了
×
提示
确定
请完成安全验证×
copy
已复制链接
快去分享给好友吧!
我知道了
右上角分享
点击右上角分享
0
联系我们:info@booksci.cn Book学术提供免费学术资源搜索服务,方便国内外学者检索中英文文献。致力于提供最便捷和优质的服务体验。 Copyright © 2023 布克学术 All rights reserved.
京ICP备2023020795号-1
ghs 京公网安备 11010802042870号
Book学术文献互助
Book学术文献互助群
群 号:604180095
Book学术官方微信