[Application Research of Serum miR-4646-5p, miR-3654 Combined with Traditional Lung Cancer Tumor Markers in the Diagnosis of Lung Cancer in Xuanwei, Yunnan Province].

Q4 Medicine
Renning Zhang, Xinrui Wan, Xuan Huang, Mingping Li, Kai Xu, Raohong Fang, Ya Li
{"title":"[Application Research of Serum miR-4646-5p, miR-3654 Combined with Traditional Lung Cancer Tumor Markers in the Diagnosis of Lung Cancer in Xuanwei, Yunnan Province].","authors":"Renning Zhang, Xinrui Wan, Xuan Huang, Mingping Li, Kai Xu, Raohong Fang, Ya Li","doi":"10.3779/j.issn.1009-3419.2024.101.23","DOIUrl":null,"url":null,"abstract":"<p><strong>Background: </strong>The incidence rate of lung cancer in Xuanwei has been continuously increasing in recent years, and it also features high incidence across all age groups and high mortality rates among female lung cancer patients. Therefore, the search for more stable biomarkers for the diagnosis of Xuanwei lung cancer holds tremendous clinical application prospects. This study aims to explore the clinical application value of these four microRNAs (miRNAs) individually and in combination with traditional lung cancer tumor markers in the detection and diagnosis of Xuanwei lung cancer.</p><p><strong>Methods: </strong>By detecting the expression levels of four miRNAs and five traditional lung cancer tumor markers in the serum of 45 Xuanwei lung cancer patients and healthy physical examination participants, the Logistic regression model was employed to comprehensively evaluate the sensitivity, specificity, diagnostic efficacy, and other relevant statistical indicators of the four miRNAs in the diagnosis of Xuanwei lung cancer.</p><p><strong>Results: </strong>Among the individual miRNAs, miR-4646-5p and miR-3654 showed significant differences in expression levels between the Xuanwei lung cancer group and the control group (P<0.05). miR-3654 demonstrated the best diagnostic performance with a sensitivity of 86.7%, specificity of 82.2%, and an area under the curve of 0.847. Combining miR-3654 with miR-4646-5p and carcinoembryonic antigen (CEA) resulted in the highest diagnostic efficacy for Xuanwei lung cancer, with a sensitivity of 73.3%, specificity of 93.3%, area under the curve of 0.901, and a positive predictive value of 91.7%.</p><p><strong>Conclusions: </strong>Among the four miRNAs, serum miR-3654 exhibits the best diagnostic efficacy for Xuanwei lung cancer. Combined with miR-4646-5p and CEA, its diagnostic value for Xuanwei lung cancer can be effectively enhanced, making it a promising screening indicator for Xuanwei lung cancer.</p>","PeriodicalId":39317,"journal":{"name":"中国肺癌杂志","volume":"27 9","pages":"654-664"},"PeriodicalIF":0.0000,"publicationDate":"2024-09-20","publicationTypes":"Journal Article","fieldsOfStudy":null,"isOpenAccess":false,"openAccessPdf":"https://www.ncbi.nlm.nih.gov/pmc/articles/PMC11534570/pdf/","citationCount":"0","resultStr":null,"platform":"Semanticscholar","paperid":null,"PeriodicalName":"中国肺癌杂志","FirstCategoryId":"3","ListUrlMain":"https://doi.org/10.3779/j.issn.1009-3419.2024.101.23","RegionNum":0,"RegionCategory":null,"ArticlePicture":[],"TitleCN":null,"AbstractTextCN":null,"PMCID":null,"EPubDate":"","PubModel":"","JCR":"Q4","JCRName":"Medicine","Score":null,"Total":0}
引用次数: 0

Abstract

Background: The incidence rate of lung cancer in Xuanwei has been continuously increasing in recent years, and it also features high incidence across all age groups and high mortality rates among female lung cancer patients. Therefore, the search for more stable biomarkers for the diagnosis of Xuanwei lung cancer holds tremendous clinical application prospects. This study aims to explore the clinical application value of these four microRNAs (miRNAs) individually and in combination with traditional lung cancer tumor markers in the detection and diagnosis of Xuanwei lung cancer.

Methods: By detecting the expression levels of four miRNAs and five traditional lung cancer tumor markers in the serum of 45 Xuanwei lung cancer patients and healthy physical examination participants, the Logistic regression model was employed to comprehensively evaluate the sensitivity, specificity, diagnostic efficacy, and other relevant statistical indicators of the four miRNAs in the diagnosis of Xuanwei lung cancer.

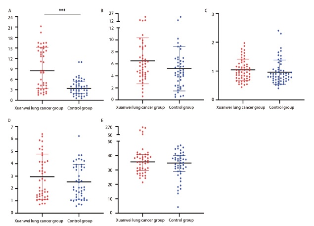
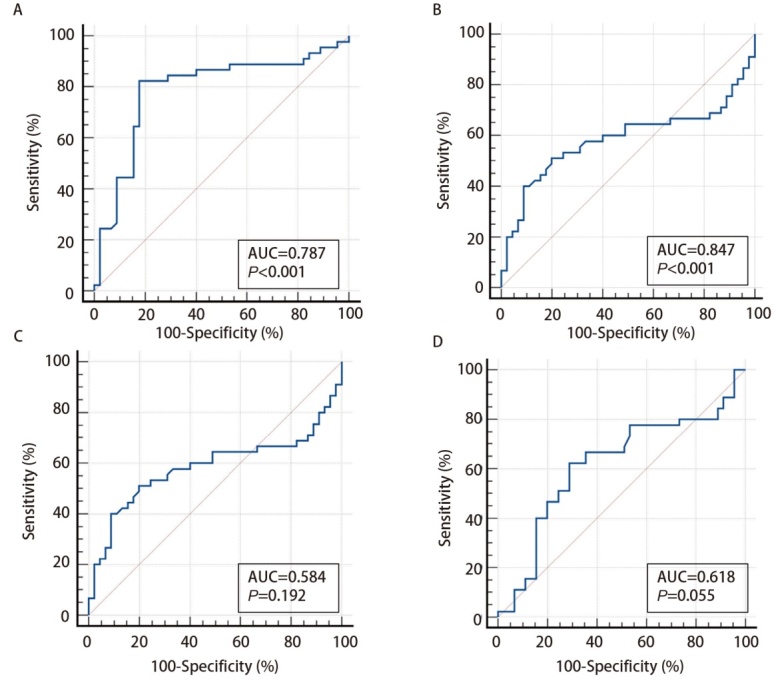
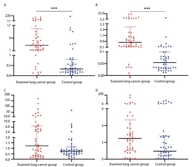
Results: Among the individual miRNAs, miR-4646-5p and miR-3654 showed significant differences in expression levels between the Xuanwei lung cancer group and the control group (P<0.05). miR-3654 demonstrated the best diagnostic performance with a sensitivity of 86.7%, specificity of 82.2%, and an area under the curve of 0.847. Combining miR-3654 with miR-4646-5p and carcinoembryonic antigen (CEA) resulted in the highest diagnostic efficacy for Xuanwei lung cancer, with a sensitivity of 73.3%, specificity of 93.3%, area under the curve of 0.901, and a positive predictive value of 91.7%.

Conclusions: Among the four miRNAs, serum miR-3654 exhibits the best diagnostic efficacy for Xuanwei lung cancer. Combined with miR-4646-5p and CEA, its diagnostic value for Xuanwei lung cancer can be effectively enhanced, making it a promising screening indicator for Xuanwei lung cancer.

Abstract Image

Abstract Image

Abstract Image

[云南省宣威市血清miR-4646-5p、miR-3654结合传统肺癌肿瘤标志物在肺癌诊断中的应用研究】。]
背景:近年来,宣威地区肺癌发病率持续上升,并呈现出各年龄段发病率高、女性肺癌患者死亡率高的特点。因此,寻找更稳定的宣威肺癌诊断生物标志物具有巨大的临床应用前景。本研究旨在探讨这四种microRNAs(miRNAs)单独或与传统肺癌肿瘤标志物联合检测和诊断宣威肺癌的临床应用价值:方法:通过检测45例宣威肺癌患者和健康体检者血清中4种miRNAs和5种传统肺癌肿瘤标志物的表达水平,采用Logistic回归模型综合评价4种miRNAs在宣威肺癌诊断中的敏感性、特异性、诊断效果等相关统计学指标:结果:在各miRNA中,miR-4646-5p和miR-3654在宣威肺癌组与对照组之间的表达水平存在显著差异(PConclusions:在四种miRNA中,血清miR-3654对宣威肺癌的诊断效果最好。结合 miR-4646-5p 和 CEA,可有效提高其对宣威肺癌的诊断价值,使其成为宣威肺癌筛查的一个有前途的指标。
本文章由计算机程序翻译,如有差异,请以英文原文为准。
求助全文
约1分钟内获得全文 求助全文
来源期刊
中国肺癌杂志
中国肺癌杂志 Medicine-Pulmonary and Respiratory Medicine
CiteScore
1.40
自引率
0.00%
发文量
5131
审稿时长
14 weeks
期刊介绍: Chinese Journal of Lung Cancer(CJLC, pISSN 1009-3419, eISSN 1999-6187), a monthly Open Access journal, is hosted by Chinese Anti-Cancer Association, Chinese Antituberculosis Association, Tianjin Medical University General Hospital. CJLC was indexed in DOAJ, EMBASE/SCOPUS, Chemical Abstract(CA), CSA-Biological Science, HINARI, EBSCO-CINAHL,CABI Abstract, Global Health, CNKI, etc. Editor-in-Chief: Professor Qinghua ZHOU.
×
引用
GB/T 7714-2015
复制
MLA
复制
APA
复制
导出至
BibTeX EndNote RefMan NoteFirst NoteExpress
×
提示
您的信息不完整,为了账户安全,请先补充。
现在去补充
×
提示
您因"违规操作"
具体请查看互助需知
我知道了
×
提示
确定
请完成安全验证×
copy
已复制链接
快去分享给好友吧!
我知道了
右上角分享
点击右上角分享
0
联系我们:info@booksci.cn Book学术提供免费学术资源搜索服务,方便国内外学者检索中英文文献。致力于提供最便捷和优质的服务体验。 Copyright © 2023 布克学术 All rights reserved.
京ICP备2023020795号-1
ghs 京公网安备 11010802042870号
Book学术文献互助
Book学术文献互助群
群 号:604180095
Book学术官方微信