Therapeutic drug monitoring in children and adolescents with schizophrenia-spectrum, affective, behavioural, tic and other psychiatric disorders treated with aripiprazole: results of the TDM-VIGIL pharmacovigilance study.

IF 4 4区 医学 Q2 CLINICAL NEUROLOGY
Journal of Neural Transmission Pub Date : 2025-02-01 Epub Date: 2024-11-02 DOI:10.1007/s00702-024-02819-6
Jessica Riegger, Karin Maria Egberts, Hans-Willi Clement, Katja Schneider-Momm, Regina Taurines, Stefanie Fekete, Christoph Wewetzer, Andreas Karwautz, Christoph U Correll, Paul L Plener, Uwe Malzahn, Peter Heuschmann, Stefan Unterecker, Maike Scherf-Clavel, Hans Rock, Gisela Antony, Wolfgang Briegel, Tobias Banaschewski, Tobias Hellenschmidt, Michael Kaess, Michael Kölch, Tobias Renner, Christian Rexroth, Gerd Schulte-Körne, Susanne Walitza, Manfred Gerlach, Marcel Romanos, Christian Fleischhaker
{"title":"Therapeutic drug monitoring in children and adolescents with schizophrenia-spectrum, affective, behavioural, tic and other psychiatric disorders treated with aripiprazole: results of the TDM-VIGIL pharmacovigilance study.","authors":"Jessica Riegger, Karin Maria Egberts, Hans-Willi Clement, Katja Schneider-Momm, Regina Taurines, Stefanie Fekete, Christoph Wewetzer, Andreas Karwautz, Christoph U Correll, Paul L Plener, Uwe Malzahn, Peter Heuschmann, Stefan Unterecker, Maike Scherf-Clavel, Hans Rock, Gisela Antony, Wolfgang Briegel, Tobias Banaschewski, Tobias Hellenschmidt, Michael Kaess, Michael Kölch, Tobias Renner, Christian Rexroth, Gerd Schulte-Körne, Susanne Walitza, Manfred Gerlach, Marcel Romanos, Christian Fleischhaker","doi":"10.1007/s00702-024-02819-6","DOIUrl":null,"url":null,"abstract":"<p><p>Aripiprazole is approved for various severe mental disorders in adults and adolescents. However, off-label prescribing is common, especially in children and adolescents (youth) in whom aripiprazole therapeutic serum level reference ranges are lacking for any disorders. The aim of the study was to evaluate the relationship between aripiprazole dose and serum concentrations and provide further knowledge on the use of aripiprazole in order to improve drug safety and effectiveness in the treatment of minors. The clinical course of youth treated with aripiprazole in the multicentre pharmacovigilance study TDM-VIGIL was systematically followed and serum concentrations measured. Sex, age, weight and comedications were analysed to identify possible effect modifiers. A preliminary therapeutic reference range was estimated for youth with schizophrenia-spectrum disorders, affective disorders and behavioural/emotional/tic disorders coded as treatment responders based on a Clinical-Global Impressions-Improvement (CGI-I) score of much or very much improved. In 93 youth (mean age = 15.2 ± 2.6, range = 7.4-18.2 years, females = 53%, CGI-Severity = 4.4 ± 1.1, responders = 64%), a positive, moderate correlation between the weight-normalized daily dose (WNDD) and aripiprazole serum concentration (=0.791, p < 0.0001) was found. The WNDD and co-medications that interact with CYP2D6 and CYP3A4 affected aripiprazole serum levels, explaining 64% of the variance. In patients within the preliminary therapeutic ranges determined by interquartile ranges (IQRs), slightly better outcomes and fewer adverse drug reactions were found versus patients within preliminary therapeutic ranges determined by the mean ± SD. The preliminary reference range for paediatric patients with schizophrenia-spectrum disorders calculated by the IQR showed an identical lower threshold (100-230 ng/ml) compared to adult schizophrenia-spectrum disorders patients (100-350 ng/ml). The preliminary therapeutic ranges for patients with affective disorders was: 60-160 ng/ml and for patients with behavioural/tic disorders 60-140 ng/ml. The therapeutic reference ranges for aripiprazole in youth estimated via the 25th and 75th IQRs may result in more clinically relevant therapeutic windows. Further studies need to confirm these results, especially in patients with affective and behavioural/tic disorder diagnoses.</p>","PeriodicalId":16579,"journal":{"name":"Journal of Neural Transmission","volume":" ","pages":"295-312"},"PeriodicalIF":4.0000,"publicationDate":"2025-02-01","publicationTypes":"Journal Article","fieldsOfStudy":null,"isOpenAccess":false,"openAccessPdf":"https://www.ncbi.nlm.nih.gov/pmc/articles/PMC11785646/pdf/","citationCount":"0","resultStr":null,"platform":"Semanticscholar","paperid":null,"PeriodicalName":"Journal of Neural Transmission","FirstCategoryId":"3","ListUrlMain":"https://doi.org/10.1007/s00702-024-02819-6","RegionNum":4,"RegionCategory":"医学","ArticlePicture":[],"TitleCN":null,"AbstractTextCN":null,"PMCID":null,"EPubDate":"2024/11/2 0:00:00","PubModel":"Epub","JCR":"Q2","JCRName":"CLINICAL NEUROLOGY","Score":null,"Total":0}
引用次数: 0

Abstract

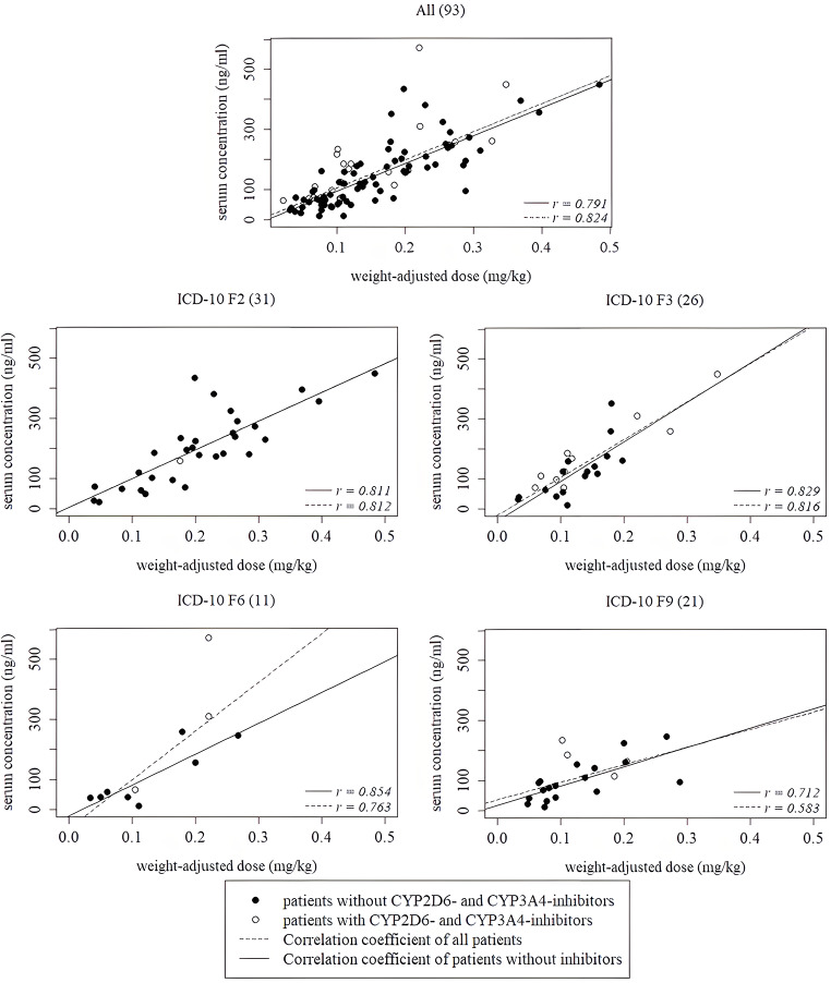
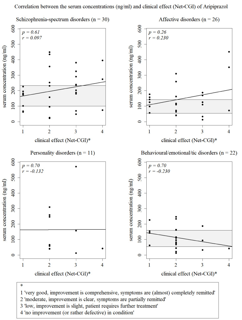
Aripiprazole is approved for various severe mental disorders in adults and adolescents. However, off-label prescribing is common, especially in children and adolescents (youth) in whom aripiprazole therapeutic serum level reference ranges are lacking for any disorders. The aim of the study was to evaluate the relationship between aripiprazole dose and serum concentrations and provide further knowledge on the use of aripiprazole in order to improve drug safety and effectiveness in the treatment of minors. The clinical course of youth treated with aripiprazole in the multicentre pharmacovigilance study TDM-VIGIL was systematically followed and serum concentrations measured. Sex, age, weight and comedications were analysed to identify possible effect modifiers. A preliminary therapeutic reference range was estimated for youth with schizophrenia-spectrum disorders, affective disorders and behavioural/emotional/tic disorders coded as treatment responders based on a Clinical-Global Impressions-Improvement (CGI-I) score of much or very much improved. In 93 youth (mean age = 15.2 ± 2.6, range = 7.4-18.2 years, females = 53%, CGI-Severity = 4.4 ± 1.1, responders = 64%), a positive, moderate correlation between the weight-normalized daily dose (WNDD) and aripiprazole serum concentration (=0.791, p < 0.0001) was found. The WNDD and co-medications that interact with CYP2D6 and CYP3A4 affected aripiprazole serum levels, explaining 64% of the variance. In patients within the preliminary therapeutic ranges determined by interquartile ranges (IQRs), slightly better outcomes and fewer adverse drug reactions were found versus patients within preliminary therapeutic ranges determined by the mean ± SD. The preliminary reference range for paediatric patients with schizophrenia-spectrum disorders calculated by the IQR showed an identical lower threshold (100-230 ng/ml) compared to adult schizophrenia-spectrum disorders patients (100-350 ng/ml). The preliminary therapeutic ranges for patients with affective disorders was: 60-160 ng/ml and for patients with behavioural/tic disorders 60-140 ng/ml. The therapeutic reference ranges for aripiprazole in youth estimated via the 25th and 75th IQRs may result in more clinically relevant therapeutic windows. Further studies need to confirm these results, especially in patients with affective and behavioural/tic disorder diagnoses.

Abstract Image

Abstract Image

Abstract Image

使用阿立哌唑治疗精神分裂症、情感、行为、抽搐和其他精神障碍的儿童和青少年的治疗药物监测:TDM-VIGIL 药物警戒研究的结果。
阿立哌唑被批准用于治疗成人和青少年的各种严重精神障碍。然而,标签外处方却很常见,尤其是在儿童和青少年(青年)中,他们的阿立哌唑治疗血清浓度参考范围对任何疾病都是缺失的。本研究旨在评估阿立哌唑剂量与血清浓度之间的关系,进一步了解阿立哌唑的使用情况,以提高治疗未成年人的药物安全性和有效性。在多中心药物警戒研究TDM-VIGIL中,对接受阿立哌唑治疗的青少年的临床过程进行了系统跟踪,并测量了血清浓度。对性别、年龄、体重和合并用药进行了分析,以确定可能的效应调节因素。对患有精神分裂症谱系障碍、情感障碍和行为/情感/抽动障碍的青少年进行了初步治疗参考范围估算,并根据临床-总体印象-改善(CGI-I)评分,将其编码为 "治疗应答者",即 "大为改善 "或 "非常改善"。在 93 名青少年(平均年龄 = 15.2 ± 2.6,年龄范围 = 7.4-18.2 岁,女性 = 53%,CGI-严重程度 = 4.4 ± 1.1,应答者 = 64%)中,体重归一化每日剂量(WNDD)与阿立哌唑血清浓度之间呈中度正相关(=0.791,p<0.05)。
本文章由计算机程序翻译,如有差异,请以英文原文为准。
求助全文
约1分钟内获得全文 求助全文
来源期刊
Journal of Neural Transmission
Journal of Neural Transmission 医学-临床神经学
CiteScore
7.20
自引率
3.00%
发文量
112
审稿时长
2 months
期刊介绍: The investigation of basic mechanisms involved in the pathogenesis of neurological and psychiatric disorders has undoubtedly deepened our knowledge of these types of disorders. The impact of basic neurosciences on the understanding of the pathophysiology of the brain will further increase due to important developments such as the emergence of more specific psychoactive compounds and new technologies. The Journal of Neural Transmission aims to establish an interface between basic sciences and clinical neurology and psychiatry. It intends to put a special emphasis on translational publications of the newest developments in the field from all disciplines of the neural sciences that relate to a better understanding and treatment of neurological and psychiatric disorders.
×
引用
GB/T 7714-2015
复制
MLA
复制
APA
复制
导出至
BibTeX EndNote RefMan NoteFirst NoteExpress
×
提示
您的信息不完整,为了账户安全,请先补充。
现在去补充
×
提示
您因"违规操作"
具体请查看互助需知
我知道了
×
提示
确定
请完成安全验证×
copy
已复制链接
快去分享给好友吧!
我知道了
右上角分享
点击右上角分享
0
联系我们:info@booksci.cn Book学术提供免费学术资源搜索服务,方便国内外学者检索中英文文献。致力于提供最便捷和优质的服务体验。 Copyright © 2023 布克学术 All rights reserved.
京ICP备2023020795号-1
ghs 京公网安备 11010802042870号
Book学术文献互助
Book学术文献互助群
群 号:604180095
Book学术官方微信