The Effect of Actives in Desensitizing and Conventional Mouth Rinses Against Dentin Erosive Wear.

Brazilian dental journal Pub Date : 2024-10-28 eCollection Date: 2024-01-01 DOI:10.1590/0103-6440202405500
Diana Roberta Pereira Grandizoli, Letícia Oba Sakae, Ana Luísa Meira Renzo, Sávio José Cardoso Bezerra, Samira Helena Niemeyer, Taís Scaramucci
{"title":"The Effect of Actives in Desensitizing and Conventional Mouth Rinses Against Dentin Erosive Wear.","authors":"Diana Roberta Pereira Grandizoli, Letícia Oba Sakae, Ana Luísa Meira Renzo, Sávio José Cardoso Bezerra, Samira Helena Niemeyer, Taís Scaramucci","doi":"10.1590/0103-6440202405500","DOIUrl":null,"url":null,"abstract":"<p><p>This study evaluated the effect of actives present in conventional and desensitizing mouth rinses on the control of dentin erosive tooth wear. Two hundred and seventy dentin specimens from human molars were prepared. The specimens were randomly allocated into 10 experimental groups (n=10): 4 corresponding to desensitizing mouth rinses, 4 to conventional mouth rinses, a negative control group (C-: distilled water), and a positive control group (C+: 500 ppm fluoride plus 800 ppm tin mouth rinse). Specimens were subjected to an erosion-abrasion cycling model: 5 min immersion in 0.3% citric acid and 60 min exposure to artificial saliva. This procedure was repeated 4x/day for 5 days. Immediately after the first and last erosive challenges, the specimens were brushed with a slurry of fluoride toothpaste for 15 s, with a total of 2 min exposure to the slurry. Afterward, the specimens were exposed to the mouth rinses. Dentin surface loss (SL, in µm) was determined by optical profilometry. Data were statistically analyzed by using Kruskal-Wallis and Dunn's tests (α=0.05). The only mouth rinses that presented significantly lower dentin SL than the C- was a desensitizing one containing sodium fluoride (220 ppm F-) with dipotassium oxalate (1.4%) and the C+ (p<0.001 and p=0.013, respectively), without significant differences between them (p>0.05). Dentin SL of the other groups did not significantly differ from the C- (p>0.05). The combination of sodium fluoride with dipotassium oxalate in a desensitizing mouth rinse showed a promising result against dentin erosive wear, matching the protection offered by a fluoride/tin mouth rinse.</p>","PeriodicalId":101363,"journal":{"name":"Brazilian dental journal","volume":"35 ","pages":"e245500"},"PeriodicalIF":0.0000,"publicationDate":"2024-10-28","publicationTypes":"Journal Article","fieldsOfStudy":null,"isOpenAccess":false,"openAccessPdf":"https://www.ncbi.nlm.nih.gov/pmc/articles/PMC11520502/pdf/","citationCount":"0","resultStr":null,"platform":"Semanticscholar","paperid":null,"PeriodicalName":"Brazilian dental journal","FirstCategoryId":"1085","ListUrlMain":"https://doi.org/10.1590/0103-6440202405500","RegionNum":0,"RegionCategory":null,"ArticlePicture":[],"TitleCN":null,"AbstractTextCN":null,"PMCID":null,"EPubDate":"2024/1/1 0:00:00","PubModel":"eCollection","JCR":"","JCRName":"","Score":null,"Total":0}
引用次数: 0

Abstract

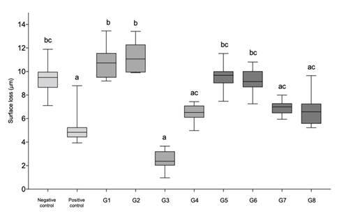
This study evaluated the effect of actives present in conventional and desensitizing mouth rinses on the control of dentin erosive tooth wear. Two hundred and seventy dentin specimens from human molars were prepared. The specimens were randomly allocated into 10 experimental groups (n=10): 4 corresponding to desensitizing mouth rinses, 4 to conventional mouth rinses, a negative control group (C-: distilled water), and a positive control group (C+: 500 ppm fluoride plus 800 ppm tin mouth rinse). Specimens were subjected to an erosion-abrasion cycling model: 5 min immersion in 0.3% citric acid and 60 min exposure to artificial saliva. This procedure was repeated 4x/day for 5 days. Immediately after the first and last erosive challenges, the specimens were brushed with a slurry of fluoride toothpaste for 15 s, with a total of 2 min exposure to the slurry. Afterward, the specimens were exposed to the mouth rinses. Dentin surface loss (SL, in µm) was determined by optical profilometry. Data were statistically analyzed by using Kruskal-Wallis and Dunn's tests (α=0.05). The only mouth rinses that presented significantly lower dentin SL than the C- was a desensitizing one containing sodium fluoride (220 ppm F-) with dipotassium oxalate (1.4%) and the C+ (p<0.001 and p=0.013, respectively), without significant differences between them (p>0.05). Dentin SL of the other groups did not significantly differ from the C- (p>0.05). The combination of sodium fluoride with dipotassium oxalate in a desensitizing mouth rinse showed a promising result against dentin erosive wear, matching the protection offered by a fluoride/tin mouth rinse.

Abstract Image

脱敏漱口水和传统漱口水中的活性成分对牙本质腐蚀磨损的影响
本研究评估了传统漱口水和脱敏漱口水中的活性成分对控制牙本质腐蚀性牙齿磨损的影响。研究人员从人类臼齿上制备了 270 个牙本质标本。标本被随机分配到 10 个实验组(n=10):其中 4 组使用脱敏漱口水,4 组使用传统漱口水,1 组为阴性对照组(C-:蒸馏水),1 组为阳性对照组(C+:500 ppm 氟化物加 800 ppm 锡漱口水)。对试样进行侵蚀-磨损循环模型试验:在 0.3% 柠檬酸中浸泡 5 分钟,然后在人工唾液中暴露 60 分钟。这一过程每天重复 4 次,持续 5 天。在第一次和最后一次侵蚀挑战后,立即用含氟牙膏浆液刷洗试样 15 秒钟,总共接触浆液 2 分钟。之后,将试样暴露于漱口水中。牙本质表面损失(SL,以 µm 为单位)由光学轮廓仪测定。数据采用 Kruskal-Wallis 和 Dunn 检验进行统计分析(α=0.05)。只有含氟钠(220 ppm F-)和草酸二钾(1.4%)的脱敏漱口水和 C+(P0.05)的牙本质溶解度明显低于 C-。其他组的牙本质 SL 与 C- 没有明显差异(p>0.05)。在脱敏漱口水中结合使用氟化钠和草酸二钾对牙本质侵蚀磨损有很好的保护作用,与氟/锡漱口水的保护作用相当。
本文章由计算机程序翻译,如有差异,请以英文原文为准。
求助全文
约1分钟内获得全文 求助全文
来源期刊
自引率
0.00%
发文量
0
×
引用
GB/T 7714-2015
复制
MLA
复制
APA
复制
导出至
BibTeX EndNote RefMan NoteFirst NoteExpress
×
提示
您的信息不完整,为了账户安全,请先补充。
现在去补充
×
提示
您因"违规操作"
具体请查看互助需知
我知道了
×
提示
确定
请完成安全验证×
copy
已复制链接
快去分享给好友吧!
我知道了
右上角分享
点击右上角分享
0
联系我们:info@booksci.cn Book学术提供免费学术资源搜索服务,方便国内外学者检索中英文文献。致力于提供最便捷和优质的服务体验。 Copyright © 2023 布克学术 All rights reserved.
京ICP备2023020795号-1
ghs 京公网安备 11010802042870号
Book学术文献互助
Book学术文献互助群
群 号:604180095
Book学术官方微信