Controlled Inhalation of Tetrahydrocannabinol-Predominant Cannabis Flos Mitigates Severity of Post-Traumatic Stress Disorder Symptoms and Improves Quality of Sleep and General Mood in Cannabis-Experienced UK Civilians: A Real-World, Observational Study.

Q1 Medicine
Medical Cannabis and Cannabinoids Pub Date : 2024-08-28 eCollection Date: 2024-01-01 DOI:10.1159/000540978
Waseem Sultan, Alvaro Madiedo, Guillermo Moreno-Sanz
{"title":"Controlled Inhalation of Tetrahydrocannabinol-Predominant Cannabis Flos Mitigates Severity of Post-Traumatic Stress Disorder Symptoms and Improves Quality of Sleep and General Mood in Cannabis-Experienced UK Civilians: A Real-World, Observational Study.","authors":"Waseem Sultan, Alvaro Madiedo, Guillermo Moreno-Sanz","doi":"10.1159/000540978","DOIUrl":null,"url":null,"abstract":"<p><strong>Introduction: </strong>Approximately 4% of the UK population experiences PTSD. Individuals must exhibit symptoms across four clusters to receive a diagnosis: intrusion, avoidance, altered reactivity, and altered mood. Evidence suggests that cannabinoid agonists such as nabilone and tetrahydrocannabinol (THC) may alleviate PTSD symptoms. We investigated the safety and effectiveness of THC-predominant cannabis flowers for inhalation to manage PTSD symptoms in a real-world setting.</p><p><strong>Methods: </strong>We analysed data from the UK patient registry, T21. Validated questionnaires were used to collect PROMs for health-related quality of life (HRQoL), mood/anxiety, sleep, and PTSD-specific symptoms. Inclusion criteria were (i) a confirmed diagnosis of PTSD, (ii) completed PROMs questionnaires at baseline and at the 3-month follow-up, and (iii) received a prescription for a chemotype 1 (THC-predominant) cannabis flower.</p><p><strong>Results: </strong>Fifty-eight patients were included, 34 of which also had PROMs recorded at 6 months. Most were males (65.5%) with an average age of 39.2 years who had previously used cannabis illicitly (95.6%). At 3 months, participants reported significant improvements in overall health, mood, and sleep quality (<i>p</i> < 0.001) but not in the proxy for HRQoL (<i>p</i> = 0.052). Similarly, participants reported substantial benefits in managing intrusion symptoms (<i>p</i> < 0.001), mood alterations (<i>p</i> < 0.001), and reactivity alterations (<i>p</i> = 0.002), which were sustained or further improved at 6 months. Participants did not report any side effects associated with CBMPs.</p><p><strong>Conclusions: </strong>Inhalation of THC is well tolerated and useful for managing symptoms of PTSD in cannabis-experienced individuals. However, further research is needed to evaluate the long-term safety and outcomes of controlled inhalation of CBMP in patients naïve to cannabis.</p>","PeriodicalId":18415,"journal":{"name":"Medical Cannabis and Cannabinoids","volume":"7 1","pages":"149-159"},"PeriodicalIF":0.0000,"publicationDate":"2024-08-28","publicationTypes":"Journal Article","fieldsOfStudy":null,"isOpenAccess":false,"openAccessPdf":"https://www.ncbi.nlm.nih.gov/pmc/articles/PMC11521486/pdf/","citationCount":"0","resultStr":null,"platform":"Semanticscholar","paperid":null,"PeriodicalName":"Medical Cannabis and Cannabinoids","FirstCategoryId":"1085","ListUrlMain":"https://doi.org/10.1159/000540978","RegionNum":0,"RegionCategory":null,"ArticlePicture":[],"TitleCN":null,"AbstractTextCN":null,"PMCID":null,"EPubDate":"2024/1/1 0:00:00","PubModel":"eCollection","JCR":"Q1","JCRName":"Medicine","Score":null,"Total":0}
引用次数: 0

Abstract

Introduction: Approximately 4% of the UK population experiences PTSD. Individuals must exhibit symptoms across four clusters to receive a diagnosis: intrusion, avoidance, altered reactivity, and altered mood. Evidence suggests that cannabinoid agonists such as nabilone and tetrahydrocannabinol (THC) may alleviate PTSD symptoms. We investigated the safety and effectiveness of THC-predominant cannabis flowers for inhalation to manage PTSD symptoms in a real-world setting.

Methods: We analysed data from the UK patient registry, T21. Validated questionnaires were used to collect PROMs for health-related quality of life (HRQoL), mood/anxiety, sleep, and PTSD-specific symptoms. Inclusion criteria were (i) a confirmed diagnosis of PTSD, (ii) completed PROMs questionnaires at baseline and at the 3-month follow-up, and (iii) received a prescription for a chemotype 1 (THC-predominant) cannabis flower.

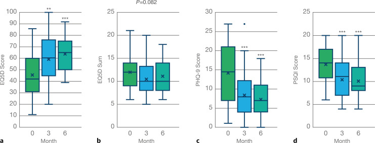
Results: Fifty-eight patients were included, 34 of which also had PROMs recorded at 6 months. Most were males (65.5%) with an average age of 39.2 years who had previously used cannabis illicitly (95.6%). At 3 months, participants reported significant improvements in overall health, mood, and sleep quality (p < 0.001) but not in the proxy for HRQoL (p = 0.052). Similarly, participants reported substantial benefits in managing intrusion symptoms (p < 0.001), mood alterations (p < 0.001), and reactivity alterations (p = 0.002), which were sustained or further improved at 6 months. Participants did not report any side effects associated with CBMPs.

Conclusions: Inhalation of THC is well tolerated and useful for managing symptoms of PTSD in cannabis-experienced individuals. However, further research is needed to evaluate the long-term safety and outcomes of controlled inhalation of CBMP in patients naïve to cannabis.

Abstract Image

Abstract Image

有控制地吸入以四氢大麻酚为主的大麻烟雾可减轻创伤后应激障碍症状的严重程度,改善吸食大麻的英国平民的睡眠质量和总体情绪:真实世界观察研究》。
简介英国约有 4% 的人口患有创伤后应激障碍。患者必须表现出四类症状才能被诊断为创伤后应激障碍:侵入、回避、反应性改变和情绪改变。有证据表明,纳比隆和四氢大麻酚(THC)等大麻素激动剂可减轻创伤后应激障碍症状。我们调查了在现实世界中吸入以四氢大麻酚为主的大麻花来控制创伤后应激障碍症状的安全性和有效性:我们分析了英国患者登记处 T21 的数据。我们使用经过验证的调查问卷来收集与健康相关的生活质量 (HRQoL)、情绪/焦虑、睡眠和创伤后应激障碍特异性症状的 PROMs。纳入标准为:(i) 确诊为创伤后应激障碍;(ii) 在基线和 3 个月随访时填写 PROMs 问卷;(iii) 收到化学类型 1(以四氢大麻酚为主)大麻花处方:结果:共纳入了 58 名患者,其中 34 人在 6 个月时还记录了 PROMs。大多数患者为男性(65.5%),平均年龄 39.2 岁,以前曾非法使用过大麻(95.6%)。3 个月时,参与者报告在整体健康、情绪和睡眠质量方面有明显改善(p < 0.001),但在替代 HRQoL 方面没有改善(p = 0.052)。同样,参与者报告称,他们在控制入侵症状(p < 0.001)、情绪改变(p < 0.001)和反应性改变(p = 0.002)方面获得了很大的益处,这些益处在 6 个月时得到了维持或进一步改善。参与者未报告任何与CBMPs相关的副作用:吸入四氢大麻酚具有良好的耐受性,有助于控制有大麻经历的人的创伤后应激障碍症状。然而,还需要进一步研究,以评估对大麻不敏感的患者控制性吸入 CBMP 的长期安全性和效果。
本文章由计算机程序翻译,如有差异,请以英文原文为准。
求助全文
约1分钟内获得全文 求助全文
来源期刊
Medical Cannabis and Cannabinoids
Medical Cannabis and Cannabinoids Medicine-Complementary and Alternative Medicine
CiteScore
6.00
自引率
0.00%
发文量
18
审稿时长
18 weeks
×
引用
GB/T 7714-2015
复制
MLA
复制
APA
复制
导出至
BibTeX EndNote RefMan NoteFirst NoteExpress
×
提示
您的信息不完整,为了账户安全,请先补充。
现在去补充
×
提示
您因"违规操作"
具体请查看互助需知
我知道了
×
提示
确定
请完成安全验证×
copy
已复制链接
快去分享给好友吧!
我知道了
右上角分享
点击右上角分享
0
联系我们:info@booksci.cn Book学术提供免费学术资源搜索服务,方便国内外学者检索中英文文献。致力于提供最便捷和优质的服务体验。 Copyright © 2023 布克学术 All rights reserved.
京ICP备2023020795号-1
ghs 京公网安备 11010802042870号
Book学术文献互助
Book学术文献互助群
群 号:604180095
Book学术官方微信