Efficacy of a chewable tablet containing sarolaner, moxidectin and pyrantel for the treatment of generalised demodicosis in dogs.

IF 1.4 3区 农林科学 Q3 DERMATOLOGY
Veterinary dermatology Pub Date : 2025-02-01 Epub Date: 2024-10-29 DOI:10.1111/vde.13305
Csilla Becskei, Julian Liebenberg, Tiago Fernandes, Stasia Borowski, Lina D'Hanis, Sean P Mahabir
{"title":"Efficacy of a chewable tablet containing sarolaner, moxidectin and pyrantel for the treatment of generalised demodicosis in dogs.","authors":"Csilla Becskei, Julian Liebenberg, Tiago Fernandes, Stasia Borowski, Lina D'Hanis, Sean P Mahabir","doi":"10.1111/vde.13305","DOIUrl":null,"url":null,"abstract":"<p><strong>Background: </strong>Demodicosis is common in dogs and is caused by proliferation of commensal Demodex canis mites.</p><p><strong>Objective: </strong>To evaluate the efficacy of sarolaner in combination with moxidectin and pyrantel (SMP) for the treatment of generalised demodicosis in dogs.</p><p><strong>Animals: </strong>One hundred and thirty dogs with generalised demodicosis.</p><p><strong>Materials and methods: </strong>In two separate randomised masked studies (laboratory and field studies), dogs received monthly oral SMP or afoxolaner + milbemycin oxime (AM). In the laboratory study, dogs received three monthly treatments with biweekly mite counts and clinical evaluations. In the field study, mite counts and clinical evaluations were performed monthly and treatments were administered until two consecutive skin scrapings were negative.</p><p><strong>Results: </strong>Both products were tolerated well. In the laboratory study, mite counts for SMP were significantly (p < 0.001) reduced by 88.8% on Day (D)14, by 99.2% on D29, and no live mites were detected thereafter with no statistically significant difference (p = 0.96) between the two treatment groups. In the field study, SMP provided 92.4%, 98.1%, 100% and 100% reduction in arithmetic mean live mite counts on D30, D60, D90 and D120, and was non-inferior to the control product on D30 and D60. Clinical signs of demodicosis improved in all dogs.</p><p><strong>Conclusions and clinical relevance: </strong>Monthly administration of SMP was effective for the treatment of generalised demodicosis in dogs as it eliminated Demodex mites after two monthly treatments in the laboratory study, and at most after three monthly treatments in the field study.</p>","PeriodicalId":23599,"journal":{"name":"Veterinary dermatology","volume":" ","pages":"34-42"},"PeriodicalIF":1.4000,"publicationDate":"2025-02-01","publicationTypes":"Journal Article","fieldsOfStudy":null,"isOpenAccess":false,"openAccessPdf":"https://www.ncbi.nlm.nih.gov/pmc/articles/PMC11696475/pdf/","citationCount":"0","resultStr":null,"platform":"Semanticscholar","paperid":null,"PeriodicalName":"Veterinary dermatology","FirstCategoryId":"97","ListUrlMain":"https://doi.org/10.1111/vde.13305","RegionNum":3,"RegionCategory":"农林科学","ArticlePicture":[],"TitleCN":null,"AbstractTextCN":null,"PMCID":null,"EPubDate":"2024/10/29 0:00:00","PubModel":"Epub","JCR":"Q3","JCRName":"DERMATOLOGY","Score":null,"Total":0}
引用次数: 0

Abstract

Background: Demodicosis is common in dogs and is caused by proliferation of commensal Demodex canis mites.

Objective: To evaluate the efficacy of sarolaner in combination with moxidectin and pyrantel (SMP) for the treatment of generalised demodicosis in dogs.

Animals: One hundred and thirty dogs with generalised demodicosis.

Materials and methods: In two separate randomised masked studies (laboratory and field studies), dogs received monthly oral SMP or afoxolaner + milbemycin oxime (AM). In the laboratory study, dogs received three monthly treatments with biweekly mite counts and clinical evaluations. In the field study, mite counts and clinical evaluations were performed monthly and treatments were administered until two consecutive skin scrapings were negative.

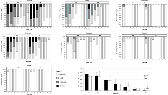
Results: Both products were tolerated well. In the laboratory study, mite counts for SMP were significantly (p < 0.001) reduced by 88.8% on Day (D)14, by 99.2% on D29, and no live mites were detected thereafter with no statistically significant difference (p = 0.96) between the two treatment groups. In the field study, SMP provided 92.4%, 98.1%, 100% and 100% reduction in arithmetic mean live mite counts on D30, D60, D90 and D120, and was non-inferior to the control product on D30 and D60. Clinical signs of demodicosis improved in all dogs.

Conclusions and clinical relevance: Monthly administration of SMP was effective for the treatment of generalised demodicosis in dogs as it eliminated Demodex mites after two monthly treatments in the laboratory study, and at most after three monthly treatments in the field study.

Abstract Image

Abstract Image

Abstract Image

含有沙乐灵、莫西菌素和吡蚜酮的咀嚼片治疗犬全身性脱皮病的疗效。
背景:犬脱毛症是一种常见病,由共生的犬脱毛螨增殖引起:犬脱毛症是犬的常见病,由共生的犬脱毛螨增殖引起:评估沙乐胺联合莫西菌素和吡蚜酮(SMP)治疗犬全身性脱皮病的疗效:130只患有全身性脱皮症的狗:在两项独立的随机掩蔽研究(实验室研究和现场研究)中,狗每月口服一次 SMP 或阿福霉素+米尔贝霉素肟(AM)。在实验室研究中,狗每月接受三次治疗,每两周进行一次螨虫计数和临床评估。在实地研究中,每月进行一次螨虫计数和临床评估,直到连续两次皮肤刮片呈阴性为止:结果:两种产品的耐受性都很好。在实验室研究中,SMP 的螨虫计数与临床相关性显著(p 结论):每月使用 SMP 能有效治疗犬的全身性脱皮病,因为在实验室研究中,每月使用两次 SMP 就能消灭螨虫,而在实地研究中,最多每月使用三次 SMP 就能消灭螨虫。
本文章由计算机程序翻译,如有差异,请以英文原文为准。
求助全文
约1分钟内获得全文 求助全文
来源期刊
Veterinary dermatology
Veterinary dermatology 农林科学-兽医学
CiteScore
3.20
自引率
21.40%
发文量
92
审稿时长
12-24 weeks
期刊介绍: Veterinary Dermatology is a bi-monthly, peer-reviewed, international journal which publishes papers on all aspects of the skin of mammals, birds, reptiles, amphibians and fish. Scientific research papers, clinical case reports and reviews covering the following aspects of dermatology will be considered for publication: -Skin structure (anatomy, histology, ultrastructure) -Skin function (physiology, biochemistry, pharmacology, immunology, genetics) -Skin microbiology and parasitology -Dermatopathology -Pathogenesis, diagnosis and treatment of skin diseases -New disease entities
×
引用
GB/T 7714-2015
复制
MLA
复制
APA
复制
导出至
BibTeX EndNote RefMan NoteFirst NoteExpress
×
提示
您的信息不完整,为了账户安全,请先补充。
现在去补充
×
提示
您因"违规操作"
具体请查看互助需知
我知道了
×
提示
确定
请完成安全验证×
copy
已复制链接
快去分享给好友吧!
我知道了
右上角分享
点击右上角分享
0
联系我们:info@booksci.cn Book学术提供免费学术资源搜索服务,方便国内外学者检索中英文文献。致力于提供最便捷和优质的服务体验。 Copyright © 2023 布克学术 All rights reserved.
京ICP备2023020795号-1
ghs 京公网安备 11010802042870号
Book学术文献互助
Book学术文献互助群
群 号:604180095
Book学术官方微信