Comparative Targeted Genome Profiling between Solid and Liquid Biopsies in Gastroenteropancreatic Neuroendocrine Neoplasms: A Proof-of-Concept Pilot Study.

IF 2.8 2区 医学 Q2 ENDOCRINOLOGY & METABOLISM
Neuroendocrinology Pub Date : 2025-01-01 Epub Date: 2024-10-24 DOI:10.1159/000541346
Irene Gagliardi, Federica Campolo, Patricia Borges de Souza, Lucrezia Rossi, Manuela Albertelli, Federica Grillo, Luigi Caputi, Massimiliano Mazza, Antongiulio Faggiano, Maria Chiara Zatelli
{"title":"Comparative Targeted Genome Profiling between Solid and Liquid Biopsies in Gastroenteropancreatic Neuroendocrine Neoplasms: A Proof-of-Concept Pilot Study.","authors":"Irene Gagliardi, Federica Campolo, Patricia Borges de Souza, Lucrezia Rossi, Manuela Albertelli, Federica Grillo, Luigi Caputi, Massimiliano Mazza, Antongiulio Faggiano, Maria Chiara Zatelli","doi":"10.1159/000541346","DOIUrl":null,"url":null,"abstract":"<p><strong>Introduction: </strong>Clinical presentation and genetic profile of gastroenteropancreatic neuroendocrine tumors (GEP-NETs) are highly variable, hampering their management. Sequencing of circulating tumor DNA from liquid biopsy (LB) has been proposed as a less invasive alternative to solid biopsy (SB). Our aim was to compare the mutational profile (MP) provided by LB with that deriving from SB in GEP-NETs.</p><p><strong>Methods: </strong>SB and LB were derived simultaneously from 6 GEP-NET patients. A comparative targeted next-generation sequencing (NGS) analysis was performed on DNA from SB and LB to evaluate the mutational status of 11 genes (MEN1, DAXX, ATRX, MUTYH, SETD2, DEPDC5, TSC2, ARID1A, CHECK2, MTOR, and PTEN).</p><p><strong>Results: </strong>Patients (M:F = 2:1; median age 64 years) included 3 with pancreatic and 3 with ileal NETs. NGS detected a median number of 55 variants/sample in SB and 66.5 variants/sample in LB specimens (mutational burden: 0.2-1.9 and 0.3-1.8 mut/Mb, respectively). Missense and nonsense mutations were prevalent in both, mainly represented by C>T transitions. ARID1A, MTOR, and ATRX were consistently mutated in SB, and ARID1A, TSC2, MEN1, PTEN, SETD2, and MUTYH were consistently mutated in LB. DAXX mutations were absent in LB. Seventeen recurrent mutations were shared between SB and LB; in particular, MTOR single-nucleotide variants c.G4731A and c.C2997T were shared by 5 out of 6 patients. Hierarchical clustering supported genetic similarity between SB and LB.</p><p><strong>Conclusions: </strong>This pilot study explores the applicability of LB in GEP-NET MP evaluation. Further studies with larger cohorts are needed to validate LB and to define the clinical impact.</p>","PeriodicalId":19117,"journal":{"name":"Neuroendocrinology","volume":" ","pages":"422-433"},"PeriodicalIF":2.8000,"publicationDate":"2025-01-01","publicationTypes":"Journal Article","fieldsOfStudy":null,"isOpenAccess":false,"openAccessPdf":"https://www.ncbi.nlm.nih.gov/pmc/articles/PMC12169798/pdf/","citationCount":"0","resultStr":null,"platform":"Semanticscholar","paperid":null,"PeriodicalName":"Neuroendocrinology","FirstCategoryId":"3","ListUrlMain":"https://doi.org/10.1159/000541346","RegionNum":2,"RegionCategory":"医学","ArticlePicture":[],"TitleCN":null,"AbstractTextCN":null,"PMCID":null,"EPubDate":"2024/10/24 0:00:00","PubModel":"Epub","JCR":"Q2","JCRName":"ENDOCRINOLOGY & METABOLISM","Score":null,"Total":0}
引用次数: 0

Abstract

Introduction: Clinical presentation and genetic profile of gastroenteropancreatic neuroendocrine tumors (GEP-NETs) are highly variable, hampering their management. Sequencing of circulating tumor DNA from liquid biopsy (LB) has been proposed as a less invasive alternative to solid biopsy (SB). Our aim was to compare the mutational profile (MP) provided by LB with that deriving from SB in GEP-NETs.

Methods: SB and LB were derived simultaneously from 6 GEP-NET patients. A comparative targeted next-generation sequencing (NGS) analysis was performed on DNA from SB and LB to evaluate the mutational status of 11 genes (MEN1, DAXX, ATRX, MUTYH, SETD2, DEPDC5, TSC2, ARID1A, CHECK2, MTOR, and PTEN).

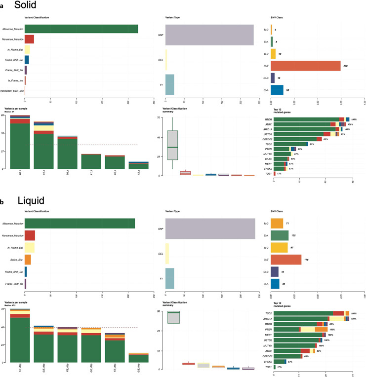
Results: Patients (M:F = 2:1; median age 64 years) included 3 with pancreatic and 3 with ileal NETs. NGS detected a median number of 55 variants/sample in SB and 66.5 variants/sample in LB specimens (mutational burden: 0.2-1.9 and 0.3-1.8 mut/Mb, respectively). Missense and nonsense mutations were prevalent in both, mainly represented by C>T transitions. ARID1A, MTOR, and ATRX were consistently mutated in SB, and ARID1A, TSC2, MEN1, PTEN, SETD2, and MUTYH were consistently mutated in LB. DAXX mutations were absent in LB. Seventeen recurrent mutations were shared between SB and LB; in particular, MTOR single-nucleotide variants c.G4731A and c.C2997T were shared by 5 out of 6 patients. Hierarchical clustering supported genetic similarity between SB and LB.

Conclusions: This pilot study explores the applicability of LB in GEP-NET MP evaluation. Further studies with larger cohorts are needed to validate LB and to define the clinical impact.

Abstract Image

Abstract Image

Abstract Image

胃肠胰神经内分泌肿瘤(GEP-NENs)实体活检和液体活检的靶向基因组图谱比较:概念验证试验研究。
简介:胃肠道胰腺神经内分泌肿瘤(GEP-NET)的临床表现和遗传特征千差万别,阻碍了其治疗。液体活检(LB)的循环肿瘤DNA(ctDNA)测序被认为是实体活检(SB)的微创替代方法。我们的目的是比较 LB 与 SB 在 GEP-NET 中提供的突变图谱(MP):方法:SB和LB同时来自6名GEP-NETs患者。对 SB 和 LB 的 DNA 进行了有针对性的下一代测序(NGS)对比分析,以评估 11 个基因(MEN1、DAXX、ATRX、MUTYH、SETD2、DEPDC5、TSC2、ARID1A、CHECK2、MTOR、PTEN)的突变状态:患者(男:女=2:1;中位年龄 64 岁)包括 3 名胰腺 NET 患者和 3 名回肠 NET 患者。NGS 在 SB 标本中检测到的变异中位数为 55 个/样本,在 LB 标本中检测到的变异中位数为 66.5 个/样本(突变负荷分别为 0.2-1.9 突变/Mb 和 0.3-1.8 突变/Mb)。二者都普遍存在错义和无义突变,主要表现为C>T转换。SB中ARID1A、MTOR和ATRX持续发生突变,而LB中ARID1A、TSC2、MEN1、PTEN、SETD2和MUTYH持续发生突变。在 LB 中没有 DAXX 突变。SB和LB共有17个复发性突变;特别是,6名患者中有5名共有MTOR单核苷酸变异(SNV)c.G4731A和c.C2997T。层次聚类支持 SB 和 LB 之间的遗传相似性:本试验研究探讨了 LB 在 GEP-NETs MP 评估中的适用性。要验证 LB 的有效性并确定其临床影响,还需要进行更大规模的研究。
本文章由计算机程序翻译,如有差异,请以英文原文为准。
求助全文
约1分钟内获得全文 求助全文
来源期刊
Neuroendocrinology
Neuroendocrinology 医学-内分泌学与代谢
CiteScore
8.30
自引率
2.40%
发文量
50
审稿时长
6-12 weeks
期刊介绍: ''Neuroendocrinology'' publishes papers reporting original research in basic and clinical neuroendocrinology. The journal explores the complex interactions between neuronal networks and endocrine glands (in some instances also immunecells) in both central and peripheral nervous systems. Original contributions cover all aspects of the field, from molecular and cellular neuroendocrinology, physiology, pharmacology, and the neuroanatomy of neuroendocrine systems to neuroendocrine correlates of behaviour, clinical neuroendocrinology and neuroendocrine cancers. Readers also benefit from reviews by noted experts, which highlight especially active areas of current research, and special focus editions of topical interest.
×
引用
GB/T 7714-2015
复制
MLA
复制
APA
复制
导出至
BibTeX EndNote RefMan NoteFirst NoteExpress
×
提示
您的信息不完整,为了账户安全,请先补充。
现在去补充
×
提示
您因"违规操作"
具体请查看互助需知
我知道了
×
提示
确定
请完成安全验证×
copy
已复制链接
快去分享给好友吧!
我知道了
右上角分享
点击右上角分享
0
联系我们:info@booksci.cn Book学术提供免费学术资源搜索服务,方便国内外学者检索中英文文献。致力于提供最便捷和优质的服务体验。 Copyright © 2023 布克学术 All rights reserved.
京ICP备2023020795号-1
ghs 京公网安备 11010802042870号
Book学术文献互助
Book学术文献互助群
群 号:604180095
Book学术官方微信