Current status of modifiable risk factors for cardiovascular disease in Korean women.

IF 2.4 4区 医学 Q2 MEDICINE, GENERAL & INTERNAL
Korean Journal of Internal Medicine Pub Date : 2025-01-01 Epub Date: 2024-10-22 DOI:10.3904/kjim.2024.077
In-Jeong Cho, Mi-Seung Shin
{"title":"Current status of modifiable risk factors for cardiovascular disease in Korean women.","authors":"In-Jeong Cho, Mi-Seung Shin","doi":"10.3904/kjim.2024.077","DOIUrl":null,"url":null,"abstract":"<p><p>Hypertension, diabetes mellitus, dyslipidemia, obesity, and smoking are the primary modifiable risk factors contributing to the increasing morbidity and mortality rates from cardiovascular disease (CVD) among Korean women. Significant sex-related differences exist in the prevalence, awareness, treatment, and control of these risk factors, highlighting the importance of age- and sex-specific approaches to the management and prevention of CVD. Notably, the prevalence of hypertension and diabetes mellitus increases with age, with a higher prevalence in elderly women compared to men. Dyslipidemia and obesity are also trending upward, particularly in postmenopausal women, highlighting the impact of menopause on cardiovascular risk. The present review advocates for improved diagnostic, therapeutic, and educational efforts to mitigate the risk of CVD among Korean women, with the goals of reducing the overall burden of the disease and promoting better cardiovascular health outcomes.</p>","PeriodicalId":48785,"journal":{"name":"Korean Journal of Internal Medicine","volume":" ","pages":"15-23"},"PeriodicalIF":2.4000,"publicationDate":"2025-01-01","publicationTypes":"Journal Article","fieldsOfStudy":null,"isOpenAccess":false,"openAccessPdf":"https://www.ncbi.nlm.nih.gov/pmc/articles/PMC11725476/pdf/","citationCount":"0","resultStr":null,"platform":"Semanticscholar","paperid":null,"PeriodicalName":"Korean Journal of Internal Medicine","FirstCategoryId":"3","ListUrlMain":"https://doi.org/10.3904/kjim.2024.077","RegionNum":4,"RegionCategory":"医学","ArticlePicture":[],"TitleCN":null,"AbstractTextCN":null,"PMCID":null,"EPubDate":"2024/10/22 0:00:00","PubModel":"Epub","JCR":"Q2","JCRName":"MEDICINE, GENERAL & INTERNAL","Score":null,"Total":0}
引用次数: 0

Abstract

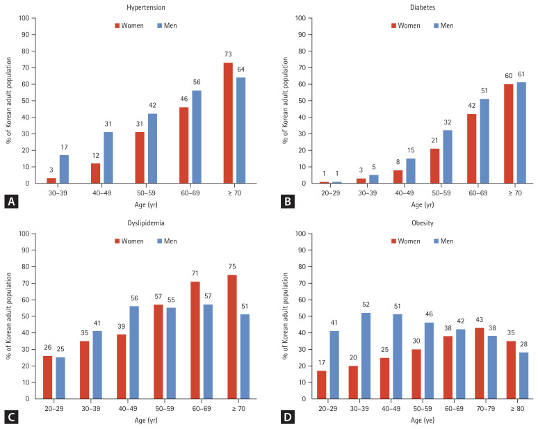
Hypertension, diabetes mellitus, dyslipidemia, obesity, and smoking are the primary modifiable risk factors contributing to the increasing morbidity and mortality rates from cardiovascular disease (CVD) among Korean women. Significant sex-related differences exist in the prevalence, awareness, treatment, and control of these risk factors, highlighting the importance of age- and sex-specific approaches to the management and prevention of CVD. Notably, the prevalence of hypertension and diabetes mellitus increases with age, with a higher prevalence in elderly women compared to men. Dyslipidemia and obesity are also trending upward, particularly in postmenopausal women, highlighting the impact of menopause on cardiovascular risk. The present review advocates for improved diagnostic, therapeutic, and educational efforts to mitigate the risk of CVD among Korean women, with the goals of reducing the overall burden of the disease and promoting better cardiovascular health outcomes.

Abstract Image

Abstract Image

Abstract Image

韩国妇女心血管疾病可改变风险因素的现状。
高血压、糖尿病、血脂异常、肥胖和吸烟是导致韩国女性心血管疾病(CVD)发病率和死亡率不断上升的主要可改变风险因素。在这些风险因素的患病率、认知、治疗和控制方面,存在着显著的性别差异,这凸显了针对不同年龄和性别的心血管疾病管理和预防方法的重要性。值得注意的是,高血压和糖尿病的患病率随着年龄的增长而增加,老年女性的患病率高于男性。血脂异常和肥胖也呈上升趋势,尤其是绝经后女性,这凸显了绝经对心血管风险的影响。本综述提倡改进诊断、治疗和教育工作,以降低韩国女性患心血管疾病的风险,从而减轻疾病的总体负担,改善心血管健康状况。
本文章由计算机程序翻译,如有差异,请以英文原文为准。
求助全文
约1分钟内获得全文 求助全文
来源期刊
Korean Journal of Internal Medicine
Korean Journal of Internal Medicine MEDICINE, GENERAL & INTERNAL-
CiteScore
5.10
自引率
4.20%
发文量
129
审稿时长
20 weeks
期刊介绍: The Korean Journal of Internal Medicine is an international medical journal published in English by the Korean Association of Internal Medicine. The Journal publishes peer-reviewed original articles, reviews, and editorials on all aspects of medicine, including clinical investigations and basic research. Both human and experimental animal studies are welcome, as are new findings on the epidemiology, pathogenesis, diagnosis, and treatment of diseases. Case reports will be published only in exceptional circumstances, when they illustrate a rare occurrence of clinical importance. Letters to the editor are encouraged for specific comments on published articles and general viewpoints.
×
引用
GB/T 7714-2015
复制
MLA
复制
APA
复制
导出至
BibTeX EndNote RefMan NoteFirst NoteExpress
×
提示
您的信息不完整,为了账户安全,请先补充。
现在去补充
×
提示
您因"违规操作"
具体请查看互助需知
我知道了
×
提示
确定
请完成安全验证×
copy
已复制链接
快去分享给好友吧!
我知道了
右上角分享
点击右上角分享
0
联系我们:info@booksci.cn Book学术提供免费学术资源搜索服务,方便国内外学者检索中英文文献。致力于提供最便捷和优质的服务体验。 Copyright © 2023 布克学术 All rights reserved.
京ICP备2023020795号-1
ghs 京公网安备 11010802042870号
Book学术文献互助
Book学术文献互助群
群 号:604180095
Book学术官方微信