Skin protective effect of Indian gooseberry and barley sprout complex on skin dryness, wrinkles, and melanogenesis by cell models.

IF 1.5 4区 医学 Q3 NUTRITION & DIETETICS
Nutrition Research and Practice Pub Date : 2024-10-01 Epub Date: 2024-06-13 DOI:10.4162/nrp.2024.18.5.587
Minhee Lee, Dakyung Kim, Mi-Ryeong Park, Soyoung Kim, Jong-Lae Kim, Ok-Kyung Kim, Jeongmin Lee
{"title":"Skin protective effect of Indian gooseberry and barley sprout complex on skin dryness, wrinkles, and melanogenesis by cell models.","authors":"Minhee Lee, Dakyung Kim, Mi-Ryeong Park, Soyoung Kim, Jong-Lae Kim, Ok-Kyung Kim, Jeongmin Lee","doi":"10.4162/nrp.2024.18.5.587","DOIUrl":null,"url":null,"abstract":"<p><strong>Background/objectives: </strong>UV radiation is a major factor contributing to DNA damage in skin cells, including stem cells and mesenchymal stem cells, leading to the depletion of these crucial cells. This study examined whether a mixture of Indian gooseberry and barley sprout (IB) could inhibit UVB irradiation and 3-isobutyl-1-methylxanthine (IBMX)-induced photoaging and oxidative stress in the skin using HaCaT, Hs27, and B16F10 cells.</p><p><strong>Materials/methods: </strong>The moisturizing-related factors, the collagen synthesis-related c-Jun N-terminal kinase (JNK)/c-Fos/c-Jun/matrix metalloproteinases (MMPs) pathway, and the melanogenesis-related cyclic adenosine monophosphate (cAMP)/protein kinase A (PKA)/cAMP-responsive binding protein (CREB)/melanocyte inducing transcription factor (MITF)/tyrosinase-related protein (TRP)/tyrosinase activation pathways were analyzed <i>in vitro</i> by an enzyme-linked immunosorbent assay, real-time polymerase chain reaction, and Western blot analysis.</p><p><strong>Results: </strong>The IB complex increased the hyaluronic acid and sphingomyelin levels and the collagenase inhibitory activity, enhanced hydration-related factors, including collagen, <i>hyaluronic acid synthase</i> (<i>HAS</i>), <i>elastin</i>, <i>long chain base subunit 1</i> (<i>LCB1</i>) (<i>serine palmitoyltransferase</i>; <i>SPT</i>), and <i>delta 4-desaturase sphingolipid 1</i> (<i>DEGS1</i>), modulated the inflammatory cytokines levels, antioxidant enzyme activities and the NF-κB/MMPs/cyclooxygenase-2 (COX-2) pathway in UVB-irradiated HaCaT cells, and inhibited wrinkle formation by down-regulation of the JNK/c-Fos/c-Jun/MMP pathway and up-regulation of the <i>transforming growth factor-β receptor I</i> (<i>TGFβR1</i>)/small mothers against decapentaplegic homolog (Smad3)/<i>procollagen type І</i> pathway in UVB-irradiated Hs27 cells. Moreover, the IB complex prevented melanin production by down-regulating the PKA/CREB/MITF/TRP-1/TRP-2 pathway in IBMX-induced B16F10 cells.</p><p><strong>Conclusion: </strong>These findings suggest that the IB complex has the potential to serve as a safeguard, shielding the skin from UVB radiation-induced photo-damage.</p>","PeriodicalId":19232,"journal":{"name":"Nutrition Research and Practice","volume":"18 5","pages":"587-601"},"PeriodicalIF":1.5000,"publicationDate":"2024-10-01","publicationTypes":"Journal Article","fieldsOfStudy":null,"isOpenAccess":false,"openAccessPdf":"https://www.ncbi.nlm.nih.gov/pmc/articles/PMC11464281/pdf/","citationCount":"0","resultStr":null,"platform":"Semanticscholar","paperid":null,"PeriodicalName":"Nutrition Research and Practice","FirstCategoryId":"3","ListUrlMain":"https://doi.org/10.4162/nrp.2024.18.5.587","RegionNum":4,"RegionCategory":"医学","ArticlePicture":[],"TitleCN":null,"AbstractTextCN":null,"PMCID":null,"EPubDate":"2024/6/13 0:00:00","PubModel":"Epub","JCR":"Q3","JCRName":"NUTRITION & DIETETICS","Score":null,"Total":0}
引用次数: 0

Abstract

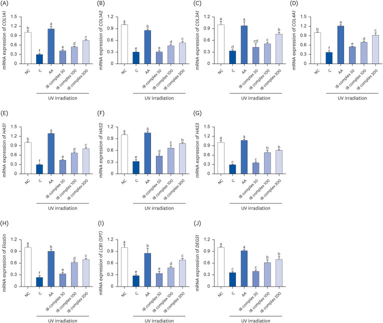
Background/objectives: UV radiation is a major factor contributing to DNA damage in skin cells, including stem cells and mesenchymal stem cells, leading to the depletion of these crucial cells. This study examined whether a mixture of Indian gooseberry and barley sprout (IB) could inhibit UVB irradiation and 3-isobutyl-1-methylxanthine (IBMX)-induced photoaging and oxidative stress in the skin using HaCaT, Hs27, and B16F10 cells.

Materials/methods: The moisturizing-related factors, the collagen synthesis-related c-Jun N-terminal kinase (JNK)/c-Fos/c-Jun/matrix metalloproteinases (MMPs) pathway, and the melanogenesis-related cyclic adenosine monophosphate (cAMP)/protein kinase A (PKA)/cAMP-responsive binding protein (CREB)/melanocyte inducing transcription factor (MITF)/tyrosinase-related protein (TRP)/tyrosinase activation pathways were analyzed in vitro by an enzyme-linked immunosorbent assay, real-time polymerase chain reaction, and Western blot analysis.

Results: The IB complex increased the hyaluronic acid and sphingomyelin levels and the collagenase inhibitory activity, enhanced hydration-related factors, including collagen, hyaluronic acid synthase (HAS), elastin, long chain base subunit 1 (LCB1) (serine palmitoyltransferase; SPT), and delta 4-desaturase sphingolipid 1 (DEGS1), modulated the inflammatory cytokines levels, antioxidant enzyme activities and the NF-κB/MMPs/cyclooxygenase-2 (COX-2) pathway in UVB-irradiated HaCaT cells, and inhibited wrinkle formation by down-regulation of the JNK/c-Fos/c-Jun/MMP pathway and up-regulation of the transforming growth factor-β receptor I (TGFβR1)/small mothers against decapentaplegic homolog (Smad3)/procollagen type І pathway in UVB-irradiated Hs27 cells. Moreover, the IB complex prevented melanin production by down-regulating the PKA/CREB/MITF/TRP-1/TRP-2 pathway in IBMX-induced B16F10 cells.

Conclusion: These findings suggest that the IB complex has the potential to serve as a safeguard, shielding the skin from UVB radiation-induced photo-damage.

Abstract Image

Abstract Image

Abstract Image

印度鹅莓和大麦芽复合物通过细胞模型对皮肤干燥、皱纹和黑色素生成的保护作用。
背景/目的:紫外线辐射是导致皮肤细胞(包括干细胞和间充质干细胞)DNA损伤的主要因素,从而导致这些关键细胞的耗竭。本研究使用 HaCaT、Hs27 和 B16F10 细胞研究了印度鹅莓和大麦芽(IB)的混合物能否抑制 UVB 照射和 3-异丁基-1-甲基黄嘌呤(IBMX)诱导的皮肤光老化和氧化应激:保湿相关因子、胶原合成相关的 c-Jun N 端激酶(JNK)/c-Fos/c-Jun/基质金属蛋白酶(MMPs)通路、和黑色素生成相关的环磷酸腺苷(cAMP)/蛋白激酶 A(PKA)/cAMP 反应结合蛋白(CREB)/黑色素细胞诱导转录因子(MITF)/酪氨酸酶相关蛋白(TRP)/酪氨酸酶活化途径。结果显示IB 复合物提高了透明质酸和鞘磷脂的水平以及胶原酶抑制活性,增强了水合相关因子,包括胶原蛋白、透明质酸合成酶(HAS)、弹性蛋白、长链碱基亚基 1(LCB1)(丝氨酸棕榈酰基转移酶;SPT)和δ 4-不饱和酶鞘脂 1(DEGS1),调节 UVB 照射下 HaCaT 细胞中的炎性细胞因子水平、抗氧化酶活性和 NF-κB/MMPs/ 环氧化酶-2(COX-2)通路、并通过下调 JNK/c-Fos/c-Jun/MMP 通路和上调转化生长因子-β受体 I(TGFβR1)/抗癸型截瘫小母亲同源物(Smad3)/Ⅰ型胶原蛋白通路,抑制经 UVB 照射的 Hs27 细胞中皱纹的形成。此外,IB复合物通过下调IBMX诱导的B16F10细胞中的PKA/CREB/MITF/TRP-1/TRP-2通路,阻止了黑色素的生成:这些研究结果表明,IB 复合物具有保护皮肤免受 UVB 辐射引起的光损伤的潜力。
本文章由计算机程序翻译,如有差异,请以英文原文为准。
求助全文
约1分钟内获得全文 求助全文
来源期刊
Nutrition Research and Practice
Nutrition Research and Practice NUTRITION & DIETETICS-
CiteScore
3.50
自引率
4.20%
发文量
62
审稿时长
6-12 weeks
期刊介绍: Nutrition Research and Practice (NRP) is an official journal, jointly published by the Korean Nutrition Society and the Korean Society of Community Nutrition since 2007. The journal had been published quarterly at the initial stage and has been published bimonthly since 2010. NRP aims to stimulate research and practice across diverse areas of human nutrition. The Journal publishes peer-reviewed original manuscripts on nutrition biochemistry and metabolism, community nutrition, nutrition and disease management, nutritional epidemiology, nutrition education, foodservice management in the following categories: Original Research Articles, Notes, Communications, and Reviews. Reviews will be received by the invitation of the editors only. Statements made and opinions expressed in the manuscripts published in this Journal represent the views of authors and do not necessarily reflect the opinion of the Societies.
×
引用
GB/T 7714-2015
复制
MLA
复制
APA
复制
导出至
BibTeX EndNote RefMan NoteFirst NoteExpress
×
提示
您的信息不完整,为了账户安全,请先补充。
现在去补充
×
提示
您因"违规操作"
具体请查看互助需知
我知道了
×
提示
确定
请完成安全验证×
copy
已复制链接
快去分享给好友吧!
我知道了
右上角分享
点击右上角分享
0
联系我们:info@booksci.cn Book学术提供免费学术资源搜索服务,方便国内外学者检索中英文文献。致力于提供最便捷和优质的服务体验。 Copyright © 2023 布克学术 All rights reserved.
京ICP备2023020795号-1
ghs 京公网安备 11010802042870号
Book学术文献互助
Book学术文献互助群
群 号:604180095
Book学术官方微信