Treatment of Membranous Nephropathy in Chinese Patients: Comparison of Rituximab and Intravenous Cyclophosphamide with Steroids.

IF 3.1 4区 医学 Q1 UROLOGY & NEPHROLOGY
Kidney Diseases Pub Date : 2024-07-29 eCollection Date: 2024-10-01 DOI:10.1159/000540548
Xiaofan Hu, Hong Ren, Jing Xu, Chenni Gao, Yifan Wu, Yan Ouyang, Li Lin, Xiao Li, Na Liu, Weiming Wang, Jingyuan Xie, Nan Chen
{"title":"Treatment of Membranous Nephropathy in Chinese Patients: Comparison of Rituximab and Intravenous Cyclophosphamide with Steroids.","authors":"Xiaofan Hu, Hong Ren, Jing Xu, Chenni Gao, Yifan Wu, Yan Ouyang, Li Lin, Xiao Li, Na Liu, Weiming Wang, Jingyuan Xie, Nan Chen","doi":"10.1159/000540548","DOIUrl":null,"url":null,"abstract":"<p><strong>Introduction: </strong>Previous studies have shown that rituximab (RTX) and cyclic oral corticosteroid-cyclophosphamide (CTX) regimens have similar effects on primary membranous nephropathy (PMN). However, no studies have compared RTX with an intravenous CTX regimen, which is more commonly used in China and requires fewer cumulative CTX doses.</p><p><strong>Methods: </strong>We prospectively assigned 141 PMN patients with baseline proteinuria ≥4 g/24 h, serum albumin <30 g/L, and eGFR ≥30 mL/min × 1.73 m<sup>2</sup> despite at least 3 months of treatment with ACEI and/or ARB to the RTX group (375 mg/m<sup>2</sup> per injection per week × 4 injections) or to the CTX group (prednisone 0.8 mg/kg/day and intravenous CTX 500 mg/m<sup>2</sup> per month until the total dose reached 6-8 g). The primary endpoint was defined as a combination of partial remission or complete remission at 12 months.</p><p><strong>Results: </strong>By the end of 12 months, 43 of 70 patients (61.43%) in the RTX group and 54 of 71 patients (76.06%) in the CTX group reached the primary endpoint (<i>p</i> = 0.06). Significantly fewer patients in the RTX group achieved complete remission than the CTX group (14.29% vs. 33.80%, <i>p</i> = 0.01). The adverse events rate was similar between the RTX group and the CTX group (28.57% vs. 40.85%, <i>p</i> = 0.13). In subgroup analysis, we found that fewer patients from the RTX group achieved the primary endpoint than the CTX group (48.65% vs. 74.29%, <i>p</i> = 0.03) among patients with massive proteinuria (urine protein ≥8 g/24 h). During the observational phase, 61 patients in the RTX group and 58 in the CTX group completed 24 months of follow-up, exhibiting similar remission rates (RTX vs. CTX: 75.41% vs. 68.97%, <i>p</i> = 0.54).</p><p><strong>Conclusions: </strong>Our results show that the intravenous CTX regimen has similar safety and efficacy with higher rates of early complete remission than RTX in the treatment of PMN patients.</p>","PeriodicalId":17830,"journal":{"name":"Kidney Diseases","volume":"10 5","pages":"359-368"},"PeriodicalIF":3.1000,"publicationDate":"2024-07-29","publicationTypes":"Journal Article","fieldsOfStudy":null,"isOpenAccess":false,"openAccessPdf":"https://www.ncbi.nlm.nih.gov/pmc/articles/PMC11488835/pdf/","citationCount":"0","resultStr":null,"platform":"Semanticscholar","paperid":null,"PeriodicalName":"Kidney Diseases","FirstCategoryId":"3","ListUrlMain":"https://doi.org/10.1159/000540548","RegionNum":4,"RegionCategory":"医学","ArticlePicture":[],"TitleCN":null,"AbstractTextCN":null,"PMCID":null,"EPubDate":"2024/10/1 0:00:00","PubModel":"eCollection","JCR":"Q1","JCRName":"UROLOGY & NEPHROLOGY","Score":null,"Total":0}
引用次数: 0

Abstract

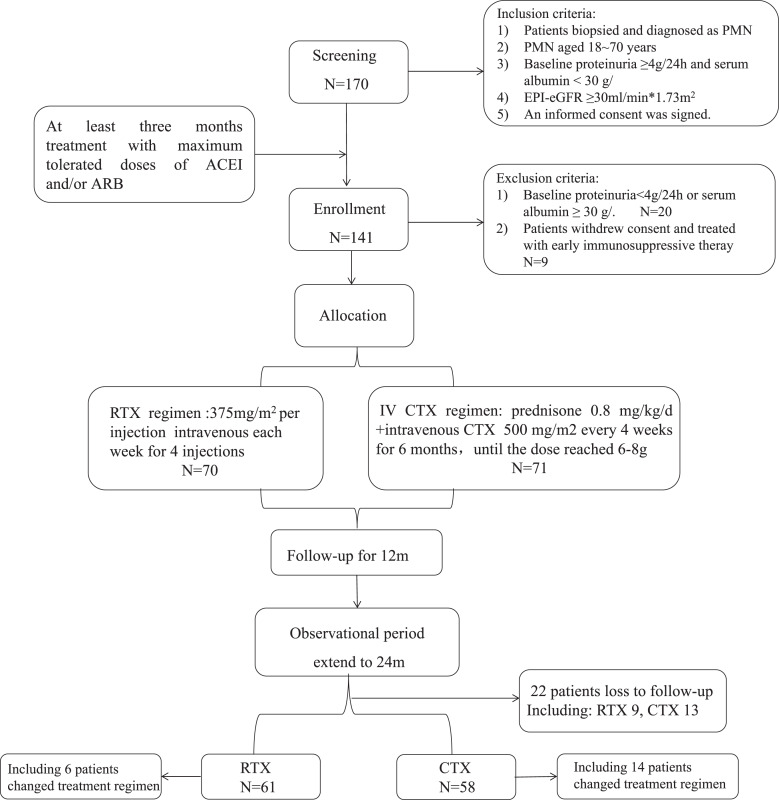
Introduction: Previous studies have shown that rituximab (RTX) and cyclic oral corticosteroid-cyclophosphamide (CTX) regimens have similar effects on primary membranous nephropathy (PMN). However, no studies have compared RTX with an intravenous CTX regimen, which is more commonly used in China and requires fewer cumulative CTX doses.

Methods: We prospectively assigned 141 PMN patients with baseline proteinuria ≥4 g/24 h, serum albumin <30 g/L, and eGFR ≥30 mL/min × 1.73 m2 despite at least 3 months of treatment with ACEI and/or ARB to the RTX group (375 mg/m2 per injection per week × 4 injections) or to the CTX group (prednisone 0.8 mg/kg/day and intravenous CTX 500 mg/m2 per month until the total dose reached 6-8 g). The primary endpoint was defined as a combination of partial remission or complete remission at 12 months.

Results: By the end of 12 months, 43 of 70 patients (61.43%) in the RTX group and 54 of 71 patients (76.06%) in the CTX group reached the primary endpoint (p = 0.06). Significantly fewer patients in the RTX group achieved complete remission than the CTX group (14.29% vs. 33.80%, p = 0.01). The adverse events rate was similar between the RTX group and the CTX group (28.57% vs. 40.85%, p = 0.13). In subgroup analysis, we found that fewer patients from the RTX group achieved the primary endpoint than the CTX group (48.65% vs. 74.29%, p = 0.03) among patients with massive proteinuria (urine protein ≥8 g/24 h). During the observational phase, 61 patients in the RTX group and 58 in the CTX group completed 24 months of follow-up, exhibiting similar remission rates (RTX vs. CTX: 75.41% vs. 68.97%, p = 0.54).

Conclusions: Our results show that the intravenous CTX regimen has similar safety and efficacy with higher rates of early complete remission than RTX in the treatment of PMN patients.

Abstract Image

Abstract Image

Abstract Image

中国患者膜性肾病的治疗:利妥昔单抗和静脉注射环磷酰胺与类固醇的比较
导言以往的研究表明,利妥昔单抗(RTX)和周期性口服皮质类固醇-环磷酰胺(CTX)治疗方案对原发性膜性肾病(PMN)的疗效相似。然而,目前还没有研究将 RTX 与静脉 CTX 方案进行比较,后者在中国更常用,所需的 CTX 累积剂量也更少:我们前瞻性地将 141 例基线蛋白尿≥4 g/24 h、血清白蛋白为 2 且接受 ACEI 和/或 ARB 治疗至少 3 个月的 PMN 患者分配到 RTX 组(每周每次注射 375 mg/m2 × 4 次注射)或 CTX 组(泼尼松 0.8 mg/kg/天,每月静脉注射 CTX 500 mg/m2,直至总剂量达到 6-8 g)。主要终点定义为12个月时部分缓解或完全缓解的组合:12个月后,RTX组70名患者中有43名(61.43%)达到主要终点,CTX组71名患者中有54名(76.06%)达到主要终点(P = 0.06)。RTX组获得完全缓解的患者明显少于CTX组(14.29% vs. 33.80%,p = 0.01)。RTX组和CTX组的不良反应发生率相似(28.57% vs. 40.85%,P = 0.13)。在亚组分析中,我们发现在大量蛋白尿(尿蛋白≥8 g/24 h)患者中,RTX 组达到主要终点的人数少于 CTX 组(48.65% vs. 74.29%,p = 0.03)。在观察阶段,RTX 组 61 名患者和 CTX 组 58 名患者完成了 24 个月的随访,缓解率相似(RTX vs. CTX:75.41% vs. 68.97%,p = 0.54):我们的研究结果表明,在治疗 PMN 患者时,静脉 CTX 方案具有相似的安全性和有效性,其早期完全缓解率高于 RTX。
本文章由计算机程序翻译,如有差异,请以英文原文为准。
求助全文
约1分钟内获得全文 求助全文
来源期刊
Kidney Diseases
Kidney Diseases UROLOGY & NEPHROLOGY-
CiteScore
6.00
自引率
2.70%
发文量
33
审稿时长
27 weeks
期刊介绍: ''Kidney Diseases'' aims to provide a platform for Asian and Western research to further and support communication and exchange of knowledge. Review articles cover the most recent clinical and basic science relevant to the entire field of nephrological disorders, including glomerular diseases, acute and chronic kidney injury, tubulo-interstitial disease, hypertension and metabolism-related disorders, end-stage renal disease, and genetic kidney disease. Special articles are prepared by two authors, one from East and one from West, which compare genetics, epidemiology, diagnosis methods, and treatment options of a disease.
×
引用
GB/T 7714-2015
复制
MLA
复制
APA
复制
导出至
BibTeX EndNote RefMan NoteFirst NoteExpress
×
提示
您的信息不完整,为了账户安全,请先补充。
现在去补充
×
提示
您因"违规操作"
具体请查看互助需知
我知道了
×
提示
确定
请完成安全验证×
copy
已复制链接
快去分享给好友吧!
我知道了
右上角分享
点击右上角分享
0
联系我们:info@booksci.cn Book学术提供免费学术资源搜索服务,方便国内外学者检索中英文文献。致力于提供最便捷和优质的服务体验。 Copyright © 2023 布克学术 All rights reserved.
京ICP备2023020795号-1
ghs 京公网安备 11010802042870号
Book学术文献互助
Book学术文献互助群
群 号:604180095
Book学术官方微信