The cardiac, vasomotor and myocardial branches of the baroreflex in hypotension: indications of reduced venous return to the heart.

IF 3.4 3区 医学 Q1 CLINICAL NEUROLOGY
Clinical Autonomic Research Pub Date : 2025-02-01 Epub Date: 2024-10-17 DOI:10.1007/s10286-024-01076-7
Gustavo A Reyes Del Paso, Casandra I Montoro, Dmitry M Daydov, Stefan Duschek
{"title":"The cardiac, vasomotor and myocardial branches of the baroreflex in hypotension: indications of reduced venous return to the heart.","authors":"Gustavo A Reyes Del Paso, Casandra I Montoro, Dmitry M Daydov, Stefan Duschek","doi":"10.1007/s10286-024-01076-7","DOIUrl":null,"url":null,"abstract":"<p><strong>Purpose: </strong>Alterations of autonomic cardiovascular control are implicated in the origin of chronic low blood pressure (BP) (hypotension), but comprehensive analysis of baroreflex function is still lacking. This study explored baroreflex function in its cardiac, vascular and myocardial branches METHODS: Continuous BP was recorded at rest and during a mental arithmetic task in 40 hypotensive and 40 normotensive participants. Assessed cardiovascular variables included stroke volume (SV) (calculated by the Modelflow method), heart rate (HR), cardiac output (CO), total peripheral resistance (TPR) and heart rate variability (HRV). Baroreflex sensitivity (BRS) was calculated using the spontaneous sequence method.</p><p><strong>Results: </strong>Hypotensive participants exhibited greater BRS in the three baroreflex branches, in addition to lower SV, HR and CO and higher HRV and TPR. Reactivity for BP, HRV and CO during the stress task was reduced in hypotensive individuals. The greater cardiac BRS can explain the lower HR and higher HRV observed in hypotension, suggestive of increased vagal cardiac influences. The higher vasomotor BRS may contribute to the greater TPR observed in the hypotensive participants. Abnormal associations between myocardial BRS and SV arose, suggesting aberrant autonomic control of myocardial contractility in hypotension.</p><p><strong>Conclusion: </strong>The results indicate that hemodynamic deficits in hypotension are related to preload factors, probably triggered by hypovolemia and reduced unstressed blood reserves, resulting in lower venous return, ventricular preload and SV. In contrast, afterload mechanisms seem to work appropriately.</p>","PeriodicalId":10168,"journal":{"name":"Clinical Autonomic Research","volume":" ","pages":"87-99"},"PeriodicalIF":3.4000,"publicationDate":"2025-02-01","publicationTypes":"Journal Article","fieldsOfStudy":null,"isOpenAccess":false,"openAccessPdf":"https://www.ncbi.nlm.nih.gov/pmc/articles/PMC11937168/pdf/","citationCount":"0","resultStr":null,"platform":"Semanticscholar","paperid":null,"PeriodicalName":"Clinical Autonomic Research","FirstCategoryId":"3","ListUrlMain":"https://doi.org/10.1007/s10286-024-01076-7","RegionNum":3,"RegionCategory":"医学","ArticlePicture":[],"TitleCN":null,"AbstractTextCN":null,"PMCID":null,"EPubDate":"2024/10/17 0:00:00","PubModel":"Epub","JCR":"Q1","JCRName":"CLINICAL NEUROLOGY","Score":null,"Total":0}
引用次数: 0

Abstract

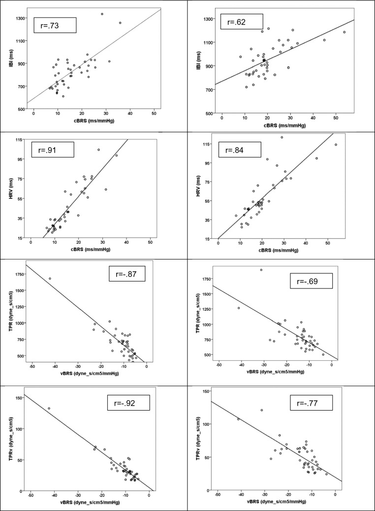
Purpose: Alterations of autonomic cardiovascular control are implicated in the origin of chronic low blood pressure (BP) (hypotension), but comprehensive analysis of baroreflex function is still lacking. This study explored baroreflex function in its cardiac, vascular and myocardial branches METHODS: Continuous BP was recorded at rest and during a mental arithmetic task in 40 hypotensive and 40 normotensive participants. Assessed cardiovascular variables included stroke volume (SV) (calculated by the Modelflow method), heart rate (HR), cardiac output (CO), total peripheral resistance (TPR) and heart rate variability (HRV). Baroreflex sensitivity (BRS) was calculated using the spontaneous sequence method.

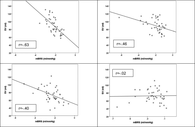
Results: Hypotensive participants exhibited greater BRS in the three baroreflex branches, in addition to lower SV, HR and CO and higher HRV and TPR. Reactivity for BP, HRV and CO during the stress task was reduced in hypotensive individuals. The greater cardiac BRS can explain the lower HR and higher HRV observed in hypotension, suggestive of increased vagal cardiac influences. The higher vasomotor BRS may contribute to the greater TPR observed in the hypotensive participants. Abnormal associations between myocardial BRS and SV arose, suggesting aberrant autonomic control of myocardial contractility in hypotension.

Conclusion: The results indicate that hemodynamic deficits in hypotension are related to preload factors, probably triggered by hypovolemia and reduced unstressed blood reserves, resulting in lower venous return, ventricular preload and SV. In contrast, afterload mechanisms seem to work appropriately.

Abstract Image

Abstract Image

低血压时气压反射的心脏、血管运动和心肌分支:心脏静脉回流减少的迹象。
目的:自律性心血管控制的改变与慢性低血压(BP)的起因有关,但目前仍缺乏对气压反射功能的全面分析。本研究探讨了心肌、血管和心肌分支的气压反射功能 方法:对 40 名低血压和 40 名正常血压的参与者在休息时和进行心算任务时的连续血压进行记录。评估的心血管变量包括每搏量(SV)(通过 Modelflow 方法计算)、心率(HR)、心输出量(CO)、总外周阻力(TPR)和心率变异性(HRV)。气压反射敏感性(BRS)采用自发序列法计算:结果:除 SV、HR 和 CO 值较低,HRV 和 TPR 值较高外,低血压患者的三个气压反射分支的 BRS 值较高。在压力任务中,低血压患者对血压、心率变异和一氧化碳的反应降低。更高的心脏 BRS 可以解释在低血压时观察到的更低心率和更高心率变异,这表明迷走神经对心脏的影响增加了。血管运动 BRS 较高可能是导致低血压患者 TPR 较高的原因。心肌BRS和SV之间出现异常关联,表明低血压时心肌收缩力的自律神经控制失常:结果表明,低血压时的血流动力学缺陷与前负荷因素有关,可能是由低血容量和未受压血液储备减少引发,导致静脉回流、心室前负荷和 SV 降低。相比之下,后负荷机制似乎发挥了适当的作用。
本文章由计算机程序翻译,如有差异,请以英文原文为准。
求助全文
约1分钟内获得全文 求助全文
来源期刊
Clinical Autonomic Research
Clinical Autonomic Research 医学-临床神经学
CiteScore
7.40
自引率
6.90%
发文量
65
审稿时长
>12 weeks
期刊介绍: Clinical Autonomic Research aims to draw together and disseminate research work from various disciplines and specialties dealing with clinical problems resulting from autonomic dysfunction. Areas to be covered include: cardiovascular system, neurology, diabetes, endocrinology, urology, pain disorders, ophthalmology, gastroenterology, toxicology and clinical pharmacology, skin infectious diseases, renal disease. This journal is an essential source of new information for everyone working in areas involving the autonomic nervous system. A major feature of Clinical Autonomic Research is its speed of publication coupled with the highest refereeing standards.
×
引用
GB/T 7714-2015
复制
MLA
复制
APA
复制
导出至
BibTeX EndNote RefMan NoteFirst NoteExpress
×
提示
您的信息不完整,为了账户安全,请先补充。
现在去补充
×
提示
您因"违规操作"
具体请查看互助需知
我知道了
×
提示
确定
请完成安全验证×
copy
已复制链接
快去分享给好友吧!
我知道了
右上角分享
点击右上角分享
0
联系我们:info@booksci.cn Book学术提供免费学术资源搜索服务,方便国内外学者检索中英文文献。致力于提供最便捷和优质的服务体验。 Copyright © 2023 布克学术 All rights reserved.
京ICP备2023020795号-1
ghs 京公网安备 11010802042870号
Book学术文献互助
Book学术文献互助群
群 号:604180095
Book学术官方微信