The Effect of Exposure to Mobile Phones on Electrical Cardiac Measurements: A Multivariate Analysis and a Variable Selection Algorithm to Detect the Relationship With Mean Changes.

Q3 Biochemistry, Genetics and Molecular Biology
International Journal of Cell Biology Pub Date : 2024-10-03 eCollection Date: 2024-01-01 DOI:10.1155/2024/7093771
Nader Alharbi, Mohammed Alassiri
{"title":"The Effect of Exposure to Mobile Phones on Electrical Cardiac Measurements: A Multivariate Analysis and a Variable Selection Algorithm to Detect the Relationship With Mean Changes.","authors":"Nader Alharbi, Mohammed Alassiri","doi":"10.1155/2024/7093771","DOIUrl":null,"url":null,"abstract":"<p><p><b>Background:</b> The exponential growth in mobile phone usage has raised concerns about electromagnetic field (EMF) exposure and its health risks. Blood pressure and BMI, which impair heart function due to decreased adrenoreceptor responsiveness, parasympathetic tone withdrawal, and increased sympathetic activity, may further exacerbate these risks. However, the effects of radiofrequency electromagnetic (RF-EM) exposure from mobile phones on electrocardiograms (ECGs) and heart rate variability (HRV) in individuals remain unclear. <b>Purpose:</b> Building upon our previous findings on HRV changes due to mobile phone proximity, this study is aimed at significantly enhancing the analytical approach used to assess the effects of mobile phones on cardiac parameters. This study exploits data from a previous study but with a different purpose. The aim of this study is twofold: (a) to examine whether exposure to mobile phones changes the five variables (P-R, QRS, QT, ST, and HR) in a multivariate manner and (b) to examine whether the blood pressure and/or the body mass index (BMI), which acts as a proxy for obesity, have an effect on the change of these five variables. For both aspects of the study, four cycles are performed. <b>Method:</b> We conducted multivariate analysis on previously collected electrical cardiac measurement data from 20 healthy male subjects exposed to mobile phone EMF, with the mobile phones placed at four different body locations. The one-sample Hotelling <i>T</i> <sup>2</sup> test on the mean vector of differences was utilised instead of multiple paired <i>t</i>-tests. This multivariate method comprehensively analyzes data features and accounts for variable correlations, unlike multiple univariate analyses. Given our small sample size, we employed the MMPC variable selection algorithm to identify predictor variables significantly related to mean changes. <b>Results:</b> Significant alterations in ECG intervals and heart rate were noted in the subjects before and after the first EMF exposure cycle, independent of their BMI. Notably, heart rate, P-R, and QRS intervals fell postexposure while QT and ST intervals increased. These changes were influenced by variations in systolic blood pressure, with BMI showing no significant effect. <b>Conclusion:</b> The observed modifications in cardiac electrical measurements due to mobile phone EMF exposure are attributed to the effects of EMF itself, with no impact from BMI on the extent of these changes.</p>","PeriodicalId":39084,"journal":{"name":"International Journal of Cell Biology","volume":"2024 ","pages":"7093771"},"PeriodicalIF":0.0000,"publicationDate":"2024-10-03","publicationTypes":"Journal Article","fieldsOfStudy":null,"isOpenAccess":false,"openAccessPdf":"https://www.ncbi.nlm.nih.gov/pmc/articles/PMC11466589/pdf/","citationCount":"0","resultStr":null,"platform":"Semanticscholar","paperid":null,"PeriodicalName":"International Journal of Cell Biology","FirstCategoryId":"1085","ListUrlMain":"https://doi.org/10.1155/2024/7093771","RegionNum":0,"RegionCategory":null,"ArticlePicture":[],"TitleCN":null,"AbstractTextCN":null,"PMCID":null,"EPubDate":"2024/1/1 0:00:00","PubModel":"eCollection","JCR":"Q3","JCRName":"Biochemistry, Genetics and Molecular Biology","Score":null,"Total":0}
引用次数: 0

Abstract

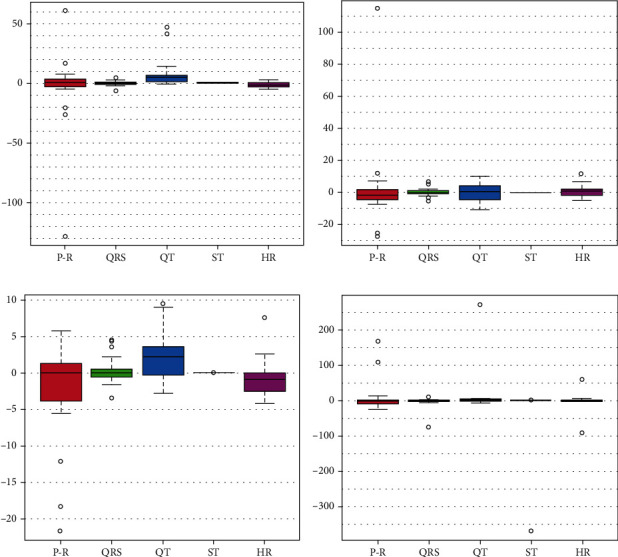
Background: The exponential growth in mobile phone usage has raised concerns about electromagnetic field (EMF) exposure and its health risks. Blood pressure and BMI, which impair heart function due to decreased adrenoreceptor responsiveness, parasympathetic tone withdrawal, and increased sympathetic activity, may further exacerbate these risks. However, the effects of radiofrequency electromagnetic (RF-EM) exposure from mobile phones on electrocardiograms (ECGs) and heart rate variability (HRV) in individuals remain unclear. Purpose: Building upon our previous findings on HRV changes due to mobile phone proximity, this study is aimed at significantly enhancing the analytical approach used to assess the effects of mobile phones on cardiac parameters. This study exploits data from a previous study but with a different purpose. The aim of this study is twofold: (a) to examine whether exposure to mobile phones changes the five variables (P-R, QRS, QT, ST, and HR) in a multivariate manner and (b) to examine whether the blood pressure and/or the body mass index (BMI), which acts as a proxy for obesity, have an effect on the change of these five variables. For both aspects of the study, four cycles are performed. Method: We conducted multivariate analysis on previously collected electrical cardiac measurement data from 20 healthy male subjects exposed to mobile phone EMF, with the mobile phones placed at four different body locations. The one-sample Hotelling T 2 test on the mean vector of differences was utilised instead of multiple paired t-tests. This multivariate method comprehensively analyzes data features and accounts for variable correlations, unlike multiple univariate analyses. Given our small sample size, we employed the MMPC variable selection algorithm to identify predictor variables significantly related to mean changes. Results: Significant alterations in ECG intervals and heart rate were noted in the subjects before and after the first EMF exposure cycle, independent of their BMI. Notably, heart rate, P-R, and QRS intervals fell postexposure while QT and ST intervals increased. These changes were influenced by variations in systolic blood pressure, with BMI showing no significant effect. Conclusion: The observed modifications in cardiac electrical measurements due to mobile phone EMF exposure are attributed to the effects of EMF itself, with no impact from BMI on the extent of these changes.

Abstract Image

Abstract Image

Abstract Image

接触移动电话对心电测量的影响:多变量分析和变量选择算法检测与平均值变化的关系。
背景:移动电话使用量的指数式增长引发了人们对电磁场(EMF)暴露及其健康风险的担忧。血压和体重指数因肾上腺素受体反应性降低、副交感神经张力减弱和交感神经活动增加而损害心脏功能,可能会进一步加剧这些风险。然而,手机射频电磁(RF-EM)暴露对个人心电图(ECG)和心率变异性(HRV)的影响仍不清楚。目的:本研究以我们之前关于手机接近导致心率变异性变化的研究结果为基础,旨在大幅改进用于评估手机对心脏参数影响的分析方法。本研究利用了之前研究的数据,但目的不同。本研究的目的有两个:(a) 以多变量方式研究接触手机是否会改变五个变量(P-R、QRS、QT、ST 和 HR);(b) 研究血压和/或作为肥胖替代指标的体重指数(BMI)是否会对这五个变量的变化产生影响。这两方面的研究共进行了四个周期。方法:我们对之前收集的 20 名暴露于手机电磁场的健康男性受试者的心电测量数据进行了多变量分析,手机被放置在身体的四个不同位置。我们采用了对平均差异向量的单样本霍特林 T 2 检验,而不是多重配对 t 检验。与多重单变量分析不同,这种多变量方法能全面分析数据特征并考虑变量相关性。鉴于样本量较小,我们采用了 MMPC 变量选择算法来确定与平均变化显著相关的预测变量。结果受试者在第一个电磁场暴露周期前后的心电图间期和心率发生了明显变化,这与他们的体重指数无关。值得注意的是,暴露后心率、P-R 和 QRS 间期下降,而 QT 和 ST 间期上升。这些变化受收缩压变化的影响,而体重指数(BMI)则无明显影响。结论观察到的暴露于手机电磁场导致的心电测量变化归因于电磁场本身的影响,而体重指数对这些变化的程度没有影响。
本文章由计算机程序翻译,如有差异,请以英文原文为准。
求助全文
约1分钟内获得全文 求助全文
来源期刊
International Journal of Cell Biology
International Journal of Cell Biology Biochemistry, Genetics and Molecular Biology-Cell Biology
CiteScore
3.30
自引率
0.00%
发文量
4
审稿时长
20 weeks
×
引用
GB/T 7714-2015
复制
MLA
复制
APA
复制
导出至
BibTeX EndNote RefMan NoteFirst NoteExpress
×
提示
您的信息不完整,为了账户安全,请先补充。
现在去补充
×
提示
您因"违规操作"
具体请查看互助需知
我知道了
×
提示
确定
请完成安全验证×
copy
已复制链接
快去分享给好友吧!
我知道了
右上角分享
点击右上角分享
0
联系我们:info@booksci.cn Book学术提供免费学术资源搜索服务,方便国内外学者检索中英文文献。致力于提供最便捷和优质的服务体验。 Copyright © 2023 布克学术 All rights reserved.
京ICP备2023020795号-1
ghs 京公网安备 11010802042870号
Book学术文献互助
Book学术文献互助群
群 号:604180095
Book学术官方微信