Exploring the role of plasmapheresis prior to thyroidectomy in managing thyrotoxicosis: a comprehensive scoping review.

IF 1.3 4区 医学 Q4 ENGINEERING, BIOMEDICAL
Journal of Artificial Organs Pub Date : 2025-06-01 Epub Date: 2024-10-10 DOI:10.1007/s10047-024-01476-6
Weronika Koziak, Stanisław Dudek, Zbigniew Putowski, Filippo Sanfilippo, Mateusz Zawadka
{"title":"Exploring the role of plasmapheresis prior to thyroidectomy in managing thyrotoxicosis: a comprehensive scoping review.","authors":"Weronika Koziak, Stanisław Dudek, Zbigniew Putowski, Filippo Sanfilippo, Mateusz Zawadka","doi":"10.1007/s10047-024-01476-6","DOIUrl":null,"url":null,"abstract":"<p><p>A thyroid storm is the most extreme and life-threatening presentation of thyrotoxicosis. Thyroidectomy can be used for definitive treatment. It should be performed after euthyroidism is accomplished. The use of therapeutic plasma exchange (TPE) is a last resort option in cases where standard pharmacological therapy proves to be ineffective. Due to its rare prevalence, there are limited data evaluating the usefulness and efficacy of TPE as a bridging therapy to thyroidectomy. The absence of relevant literature prompted us to conduct a scoping review. The following bibliographic databases were searched for articles dated 30 November 2023: Medline, EMBASE, Web of Science and Google Scholar. The search identified 1047 records, of which 42 articles were accepted with a total of 234 patients. The dominant indications for TPE were side effects due to conventional treatment. The mean fT4 level decreased 51.9% of baseline after TPE, while the mean fT3 level decreased 66.6% of baseline. The main side effects observed with FFP were allergic reactions, while the use of an albumin solution was associated with perioperative bleeding. Based on the limited data available in the literature, we recognize plasmapheresis as an effective treatment option for reducing thyroid hormone levels prior to thyroidectomy in patients with thyrotoxicosis. Available data suggest that it might be reasonable to limit the number of sessions in favor of an earlier surgical intervention. To reduce the risk of bleeding, FFP may be a better option as a replacement fluid, especially in the session prior to thyroidectomy.</p>","PeriodicalId":15177,"journal":{"name":"Journal of Artificial Organs","volume":" ","pages":"146-153"},"PeriodicalIF":1.3000,"publicationDate":"2025-06-01","publicationTypes":"Journal Article","fieldsOfStudy":null,"isOpenAccess":false,"openAccessPdf":"https://www.ncbi.nlm.nih.gov/pmc/articles/PMC12078344/pdf/","citationCount":"0","resultStr":null,"platform":"Semanticscholar","paperid":null,"PeriodicalName":"Journal of Artificial Organs","FirstCategoryId":"5","ListUrlMain":"https://doi.org/10.1007/s10047-024-01476-6","RegionNum":4,"RegionCategory":"医学","ArticlePicture":[],"TitleCN":null,"AbstractTextCN":null,"PMCID":null,"EPubDate":"2024/10/10 0:00:00","PubModel":"Epub","JCR":"Q4","JCRName":"ENGINEERING, BIOMEDICAL","Score":null,"Total":0}
引用次数: 0

Abstract

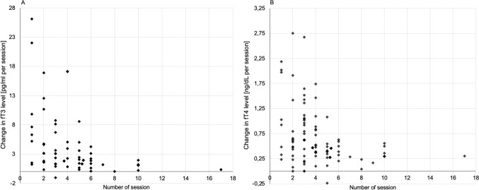
A thyroid storm is the most extreme and life-threatening presentation of thyrotoxicosis. Thyroidectomy can be used for definitive treatment. It should be performed after euthyroidism is accomplished. The use of therapeutic plasma exchange (TPE) is a last resort option in cases where standard pharmacological therapy proves to be ineffective. Due to its rare prevalence, there are limited data evaluating the usefulness and efficacy of TPE as a bridging therapy to thyroidectomy. The absence of relevant literature prompted us to conduct a scoping review. The following bibliographic databases were searched for articles dated 30 November 2023: Medline, EMBASE, Web of Science and Google Scholar. The search identified 1047 records, of which 42 articles were accepted with a total of 234 patients. The dominant indications for TPE were side effects due to conventional treatment. The mean fT4 level decreased 51.9% of baseline after TPE, while the mean fT3 level decreased 66.6% of baseline. The main side effects observed with FFP were allergic reactions, while the use of an albumin solution was associated with perioperative bleeding. Based on the limited data available in the literature, we recognize plasmapheresis as an effective treatment option for reducing thyroid hormone levels prior to thyroidectomy in patients with thyrotoxicosis. Available data suggest that it might be reasonable to limit the number of sessions in favor of an earlier surgical intervention. To reduce the risk of bleeding, FFP may be a better option as a replacement fluid, especially in the session prior to thyroidectomy.

Abstract Image

Abstract Image

探索甲状腺切除术前浆吸疗法在控制甲状腺毒症中的作用:综合范围综述。
甲状腺风暴是甲状腺毒症最极端和危及生命的表现。甲状腺切除术可用于最终治疗。但应在甲状腺功能恢复正常后进行。治疗性血浆置换术(TPE)是标准药物治疗无效时的最后选择。由于其发病率极低,目前评估治疗性血浆置换作为甲状腺切除术桥接疗法的作用和疗效的数据非常有限。相关文献的缺乏促使我们进行了一次范围审查。我们在以下文献数据库中检索了 2023 年 11 月 30 日之前的文章:Medline、EMBASE、Web of Science 和 Google Scholar。搜索结果发现了 1047 条记录,其中 42 篇文章被采纳,共涉及 234 名患者。TPE的主要适应症是常规治疗的副作用。TPE 治疗后,fT4 的平均水平比基线下降了 51.9%,而 fT3 的平均水平比基线下降了 66.6%。使用 FFP 观察到的主要副作用是过敏反应,而使用白蛋白溶液则与围手术期出血有关。根据文献中有限的数据,我们认为浆细胞疗法是甲状腺毒症患者在甲状腺切除术前降低甲状腺激素水平的有效治疗方案。现有数据表明,限制治疗次数以尽早进行手术干预可能是合理的。为了降低出血风险,FFP可能是更好的替代液体选择,尤其是在甲状腺切除术前的疗程中。
本文章由计算机程序翻译,如有差异,请以英文原文为准。
求助全文
约1分钟内获得全文 求助全文
来源期刊
Journal of Artificial Organs
Journal of Artificial Organs 医学-工程:生物医学
CiteScore
2.80
自引率
15.40%
发文量
68
审稿时长
6-12 weeks
期刊介绍: The aim of the Journal of Artificial Organs is to introduce to colleagues worldwide a broad spectrum of important new achievements in the field of artificial organs, ranging from fundamental research to clinical applications. The scope of the Journal of Artificial Organs encompasses but is not restricted to blood purification, cardiovascular intervention, biomaterials, and artificial metabolic organs. Additionally, the journal will cover technical and industrial innovations. Membership in the Japanese Society for Artificial Organs is not a prerequisite for submission.
×
引用
GB/T 7714-2015
复制
MLA
复制
APA
复制
导出至
BibTeX EndNote RefMan NoteFirst NoteExpress
×
提示
您的信息不完整,为了账户安全,请先补充。
现在去补充
×
提示
您因"违规操作"
具体请查看互助需知
我知道了
×
提示
确定
请完成安全验证×
copy
已复制链接
快去分享给好友吧!
我知道了
右上角分享
点击右上角分享
0
联系我们:info@booksci.cn Book学术提供免费学术资源搜索服务,方便国内外学者检索中英文文献。致力于提供最便捷和优质的服务体验。 Copyright © 2023 布克学术 All rights reserved.
京ICP备2023020795号-1
ghs 京公网安备 11010802042870号
Book学术文献互助
Book学术文献互助群
群 号:604180095
Book学术官方微信