The LIVERAID (LIVER And Infectious Diseases)-ICU score predicts in-hospital mortality in liver cirrhosis patients with infections in the intensive care unit.

IF 2.9 Q2 GASTROENTEROLOGY & HEPATOLOGY
Hauke Hoppmann, Florian Zeman, Daniela Wittmann, Petra Stöckert, Sophie Schlosser-Hupf, Alexander Mehrl, Vlad Pavel, Martina Müller, Stephan Schmid
{"title":"The LIVERAID (LIVER And Infectious Diseases)-ICU score predicts in-hospital mortality in liver cirrhosis patients with infections in the intensive care unit.","authors":"Hauke Hoppmann, Florian Zeman, Daniela Wittmann, Petra Stöckert, Sophie Schlosser-Hupf, Alexander Mehrl, Vlad Pavel, Martina Müller, Stephan Schmid","doi":"10.1136/bmjgast-2024-001482","DOIUrl":null,"url":null,"abstract":"<p><strong>Objectives: </strong>The admission of patients with liver cirrhosis to the intensive care unit (ICU) due to infections is a frequent occurrence, often leading to complications such as hepatic encephalopathy, renal failure and circulatory collapse, significantly elevating mortality risks. Accurate and timely diagnosis and intervention are critical for improving therapeutic outcomes. In this context, medical scoring systems in ICUs are essential for precise diagnosis, severity assessment and appropriate therapeutic strategies. There are no specific models for the prediction of mortality in ICU patients with liver cirrhosis-associated infections. This study aims to develop an improved prognostic scoring system for predicting in-hospital mortality among liver cirrhosis patients with infections in the ICU. This scoring system is designed to enhance the predictive accuracy of in-hospital mortality complementing existing sepsis and liver-specific prognostic models.</p><p><strong>Methods: </strong>A retrospective analysis was conducted in 620 patients with liver cirrhosis, treated for infections in the ICU of a German university hospital during 2017-19. Advanced statistical techniques were employed to develop and validate the LIVERAID (LIVER And Infectious Diseases)-ICU score, a novel scoring system specifically tailored for liver cirrhosis patients in the ICU with infections. The development of the multivariable logistic regression model involved selecting variables with the highest prognostic efficacy, and its predictive performance was assessed using calibration plots and the concordance statistic (c-index) to evaluate both calibration and discrimination.</p><p><strong>Results: </strong>The LIVERAID-ICU score integrates Child-Pugh class, serum urea levels and respiratory metrics. It is designed for bedside calculation using basic clinical and laboratory data, with no need for additional tools. In the validation cohort, the LIVERAID-ICU score exhibited enhanced sensitivity and specificity (AUC=0.83) in forecasting in-hospital mortality of patients with liver cirrhosis-associated infections when compared with established scores like Sequential Organ Failure Assessment (SOFA) (p=0.045), Model for End-Stage Liver Disease (MELD) (p=0.097), Child (p<0.001) and CLIF consortium acute-on-chronic liver failure (CLIF-C ACLF) (p<0.001).</p><p><strong>Conclusion: </strong>The newly developed LIVERAID-ICU score represents a robust, streamlined and easy tool for predicting in-hospital mortality in liver cirrhosis patients with infections, surpassing the predictive capabilities of established liver or sepsis scores like SOFA, MELD, Child and CLIF-C ACLF. The reliance of the LIVERAID-ICU score on fundamental clinical and laboratory data facilitates its global application in ICUs, enabling immediate application at the bedside for patients with liver cirrhosis during episodes of suspected or confirmed infections.</p>","PeriodicalId":9235,"journal":{"name":"BMJ Open Gastroenterology","volume":"11 1","pages":""},"PeriodicalIF":2.9000,"publicationDate":"2024-10-08","publicationTypes":"Journal Article","fieldsOfStudy":null,"isOpenAccess":false,"openAccessPdf":"https://www.ncbi.nlm.nih.gov/pmc/articles/PMC11481117/pdf/","citationCount":"0","resultStr":null,"platform":"Semanticscholar","paperid":null,"PeriodicalName":"BMJ Open Gastroenterology","FirstCategoryId":"1085","ListUrlMain":"https://doi.org/10.1136/bmjgast-2024-001482","RegionNum":0,"RegionCategory":null,"ArticlePicture":[],"TitleCN":null,"AbstractTextCN":null,"PMCID":null,"EPubDate":"","PubModel":"","JCR":"Q2","JCRName":"GASTROENTEROLOGY & HEPATOLOGY","Score":null,"Total":0}
引用次数: 0

Abstract

Objectives: The admission of patients with liver cirrhosis to the intensive care unit (ICU) due to infections is a frequent occurrence, often leading to complications such as hepatic encephalopathy, renal failure and circulatory collapse, significantly elevating mortality risks. Accurate and timely diagnosis and intervention are critical for improving therapeutic outcomes. In this context, medical scoring systems in ICUs are essential for precise diagnosis, severity assessment and appropriate therapeutic strategies. There are no specific models for the prediction of mortality in ICU patients with liver cirrhosis-associated infections. This study aims to develop an improved prognostic scoring system for predicting in-hospital mortality among liver cirrhosis patients with infections in the ICU. This scoring system is designed to enhance the predictive accuracy of in-hospital mortality complementing existing sepsis and liver-specific prognostic models.

Methods: A retrospective analysis was conducted in 620 patients with liver cirrhosis, treated for infections in the ICU of a German university hospital during 2017-19. Advanced statistical techniques were employed to develop and validate the LIVERAID (LIVER And Infectious Diseases)-ICU score, a novel scoring system specifically tailored for liver cirrhosis patients in the ICU with infections. The development of the multivariable logistic regression model involved selecting variables with the highest prognostic efficacy, and its predictive performance was assessed using calibration plots and the concordance statistic (c-index) to evaluate both calibration and discrimination.

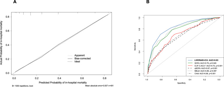
Results: The LIVERAID-ICU score integrates Child-Pugh class, serum urea levels and respiratory metrics. It is designed for bedside calculation using basic clinical and laboratory data, with no need for additional tools. In the validation cohort, the LIVERAID-ICU score exhibited enhanced sensitivity and specificity (AUC=0.83) in forecasting in-hospital mortality of patients with liver cirrhosis-associated infections when compared with established scores like Sequential Organ Failure Assessment (SOFA) (p=0.045), Model for End-Stage Liver Disease (MELD) (p=0.097), Child (p<0.001) and CLIF consortium acute-on-chronic liver failure (CLIF-C ACLF) (p<0.001).

Conclusion: The newly developed LIVERAID-ICU score represents a robust, streamlined and easy tool for predicting in-hospital mortality in liver cirrhosis patients with infections, surpassing the predictive capabilities of established liver or sepsis scores like SOFA, MELD, Child and CLIF-C ACLF. The reliance of the LIVERAID-ICU score on fundamental clinical and laboratory data facilitates its global application in ICUs, enabling immediate application at the bedside for patients with liver cirrhosis during episodes of suspected or confirmed infections.

Abstract Image

Abstract Image

Abstract Image

LIVERAID(肝脏和感染性疾病)-ICU评分可预测在重症监护病房感染的肝硬化患者的院内死亡率。
目的:肝硬化患者因感染入住重症监护室(ICU)的情况屡见不鲜,往往会导致肝性脑病、肾功能衰竭和循环衰竭等并发症,大大增加了死亡风险。准确及时的诊断和干预对于改善治疗效果至关重要。在这种情况下,重症监护室的医疗评分系统对精确诊断、严重程度评估和适当的治疗策略至关重要。目前还没有专门的模型来预测 ICU 中肝硬化相关感染患者的死亡率。本研究旨在开发一种改进的预后评分系统,用于预测重症监护病房肝硬化感染患者的院内死亡率。该评分系统旨在提高院内死亡率预测的准确性,补充现有的败血症和肝脏特异性预后模型:对2017-19年间在德国一所大学医院重症监护室接受感染治疗的620名肝硬化患者进行了回顾性分析。采用先进的统计技术开发并验证了LIVERAID(肝脏和感染性疾病)-ICU评分,这是一种专为ICU感染的肝硬化患者量身定制的新型评分系统。在建立多变量逻辑回归模型时,我们选择了预后效果最好的变量,并使用校准图和一致性统计量(c-index)对其预测性能进行了评估,以评价其校准性和区分度:LIVERAID-ICU评分综合了Child-Pugh分级、血清尿素水平和呼吸指标。它的设计目的是利用基本的临床和实验室数据进行床旁计算,无需其他工具。在验证队列中,LIVERAID-ICU 评分在预测肝硬化相关感染患者的院内死亡率方面显示出更高的灵敏度和特异性(AUC=0.83),与已建立的评分如器官功能衰竭序列评估(SOFA)(p=0.045)、终末期肝病模型(MELD)(p=0.097)、Child(pConclusion)等相比均有所提高:新开发的 LIVERAID-ICU 评分是预测肝硬化合并感染患者院内死亡率的可靠、简便、易用的工具,其预测能力超过了 SOFA、MELD、Child 和 CLIF-C ACLF 等既有的肝脏或败血症评分。LIVERAID-ICU 评分依赖于基本的临床和实验室数据,这为其在重症监护病房的全面应用提供了便利,使其能够在疑似或确诊感染发作期间立即应用于肝硬化患者的床边治疗。
本文章由计算机程序翻译,如有差异,请以英文原文为准。
求助全文
约1分钟内获得全文 求助全文
来源期刊
BMJ Open Gastroenterology
BMJ Open Gastroenterology GASTROENTEROLOGY & HEPATOLOGY-
CiteScore
5.90
自引率
3.20%
发文量
68
审稿时长
2 weeks
期刊介绍: BMJ Open Gastroenterology is an online-only, peer-reviewed, open access gastroenterology journal, dedicated to publishing high-quality medical research from all disciplines and therapeutic areas of gastroenterology. It is the open access companion journal of Gut and is co-owned by the British Society of Gastroenterology. The journal publishes all research study types, from study protocols to phase I trials to meta-analyses, including small or specialist studies. Publishing procedures are built around continuous publication, publishing research online as soon as the article is ready.
×
引用
GB/T 7714-2015
复制
MLA
复制
APA
复制
导出至
BibTeX EndNote RefMan NoteFirst NoteExpress
×
提示
您的信息不完整,为了账户安全,请先补充。
现在去补充
×
提示
您因"违规操作"
具体请查看互助需知
我知道了
×
提示
确定
请完成安全验证×
copy
已复制链接
快去分享给好友吧!
我知道了
右上角分享
点击右上角分享
0
联系我们:info@booksci.cn Book学术提供免费学术资源搜索服务,方便国内外学者检索中英文文献。致力于提供最便捷和优质的服务体验。 Copyright © 2023 布克学术 All rights reserved.
京ICP备2023020795号-1
ghs 京公网安备 11010802042870号
Book学术文献互助
Book学术文献互助群
群 号:604180095
Book学术官方微信