A Consideration on Infinite and Finite Dosing in Skin Permeation Using Reconstructed Models.

IF 3.2 4区 医学 Q2 DERMATOLOGY
Skin Pharmacology and Physiology Pub Date : 2024-01-01 Epub Date: 2024-10-04 DOI:10.1159/000541325
Yuko Saeki, Eiko Kato, Yoshihiro Tokudome
{"title":"A Consideration on Infinite and Finite Dosing in Skin Permeation Using Reconstructed Models.","authors":"Yuko Saeki, Eiko Kato, Yoshihiro Tokudome","doi":"10.1159/000541325","DOIUrl":null,"url":null,"abstract":"<p><strong>Introduction: </strong>When vitamin derivatives penetrate the epidermis, they release active compound such as ascorbic acids (AsA) and tocopherols via enzymatic digestion of chemical modifiers. To determine the transdermal penetration of the derivatives, the total permeation of both the derivatives and their active compounds that released from the derivatives should be considered. In this study, we established a skin penetration test method using a cultured, reconstructed skin model with active epidermal enzymes. And we analyzed two vitamin derivatives with different chemical properties: magnesium ascorbyl phosphate (APM) and sodium tocopheryl phosphate (TPNa), both of which has been confirmed their skin permeation in the reconstructed models and the digestion to AsA and α-tocopherol by the epidermal enzymes, respectively.</p><p><strong>Methods: </strong>We prepared the 1% of water solution containing either APM or TPNa. Then, we tested the cumulative permeation of the derivatives at 2 application volumes, 25 μL/cm2 (finite dosing) and 85 μL/cm2 (infinite dosing), on cultured reconstructed skin and observed the permeation of the permeants every 2 h up to 24 h.</p><p><strong>Results: </strong>When the applied formula was used to assess the evaporation rate to determine an end point of the test system, all the water evaporated in 6 h in finite model and in 8 h in infinite model. Both models showed that the cumulative permeation of the active compounds increased and a constant flux until 8 h after application; however, the flux decreased thereafter, indicating that the decreased flux depended on an end point of the test system. This indicated that our test system can analyze the permeation of the vitamin derivatives within 8 h before reaching the end point.</p><p><strong>Conclusion: </strong>Using an infinite model of this system, we assessed the cumulative permeation of vitamin derivatives within 8 h using a reconstructed skin model.</p><p><strong>Introduction: </strong>When vitamin derivatives penetrate the epidermis, they release active compound such as ascorbic acids (AsA) and tocopherols via enzymatic digestion of chemical modifiers. To determine the transdermal penetration of the derivatives, the total permeation of both the derivatives and their active compounds that released from the derivatives should be considered. In this study, we established a skin penetration test method using a cultured, reconstructed skin model with active epidermal enzymes. And we analyzed two vitamin derivatives with different chemical properties: magnesium ascorbyl phosphate (APM) and sodium tocopheryl phosphate (TPNa), both of which has been confirmed their skin permeation in the reconstructed models and the digestion to AsA and α-tocopherol by the epidermal enzymes, respectively.</p><p><strong>Methods: </strong>We prepared the 1% of water solution containing either APM or TPNa. Then, we tested the cumulative permeation of the derivatives at 2 application volumes, 25 μL/cm2 (finite dosing) and 85 μL/cm2 (infinite dosing), on cultured reconstructed skin and observed the permeation of the permeants every 2 h up to 24 h.</p><p><strong>Results: </strong>When the applied formula was used to assess the evaporation rate to determine an end point of the test system, all the water evaporated in 6 h in finite model and in 8 h in infinite model. Both models showed that the cumulative permeation of the active compounds increased and a constant flux until 8 h after application; however, the flux decreased thereafter, indicating that the decreased flux depended on an end point of the test system. This indicated that our test system can analyze the permeation of the vitamin derivatives within 8 h before reaching the end point.</p><p><strong>Conclusion: </strong>Using an infinite model of this system, we assessed the cumulative permeation of vitamin derivatives within 8 h using a reconstructed skin model.</p>","PeriodicalId":21748,"journal":{"name":"Skin Pharmacology and Physiology","volume":" ","pages":"109-115"},"PeriodicalIF":3.2000,"publicationDate":"2024-01-01","publicationTypes":"Journal Article","fieldsOfStudy":null,"isOpenAccess":false,"openAccessPdf":"https://www.ncbi.nlm.nih.gov/pmc/articles/PMC11797928/pdf/","citationCount":"0","resultStr":null,"platform":"Semanticscholar","paperid":null,"PeriodicalName":"Skin Pharmacology and Physiology","FirstCategoryId":"3","ListUrlMain":"https://doi.org/10.1159/000541325","RegionNum":4,"RegionCategory":"医学","ArticlePicture":[],"TitleCN":null,"AbstractTextCN":null,"PMCID":null,"EPubDate":"2024/10/4 0:00:00","PubModel":"Epub","JCR":"Q2","JCRName":"DERMATOLOGY","Score":null,"Total":0}
引用次数: 0

Abstract

Introduction: When vitamin derivatives penetrate the epidermis, they release active compound such as ascorbic acids (AsA) and tocopherols via enzymatic digestion of chemical modifiers. To determine the transdermal penetration of the derivatives, the total permeation of both the derivatives and their active compounds that released from the derivatives should be considered. In this study, we established a skin penetration test method using a cultured, reconstructed skin model with active epidermal enzymes. And we analyzed two vitamin derivatives with different chemical properties: magnesium ascorbyl phosphate (APM) and sodium tocopheryl phosphate (TPNa), both of which has been confirmed their skin permeation in the reconstructed models and the digestion to AsA and α-tocopherol by the epidermal enzymes, respectively.

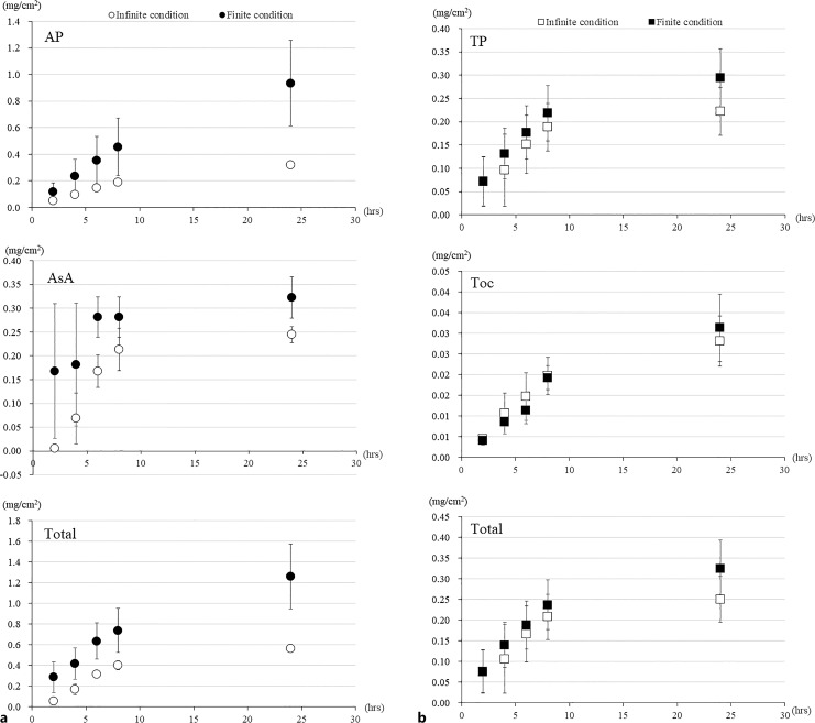
Methods: We prepared the 1% of water solution containing either APM or TPNa. Then, we tested the cumulative permeation of the derivatives at 2 application volumes, 25 μL/cm2 (finite dosing) and 85 μL/cm2 (infinite dosing), on cultured reconstructed skin and observed the permeation of the permeants every 2 h up to 24 h.

Results: When the applied formula was used to assess the evaporation rate to determine an end point of the test system, all the water evaporated in 6 h in finite model and in 8 h in infinite model. Both models showed that the cumulative permeation of the active compounds increased and a constant flux until 8 h after application; however, the flux decreased thereafter, indicating that the decreased flux depended on an end point of the test system. This indicated that our test system can analyze the permeation of the vitamin derivatives within 8 h before reaching the end point.

Conclusion: Using an infinite model of this system, we assessed the cumulative permeation of vitamin derivatives within 8 h using a reconstructed skin model.

Introduction: When vitamin derivatives penetrate the epidermis, they release active compound such as ascorbic acids (AsA) and tocopherols via enzymatic digestion of chemical modifiers. To determine the transdermal penetration of the derivatives, the total permeation of both the derivatives and their active compounds that released from the derivatives should be considered. In this study, we established a skin penetration test method using a cultured, reconstructed skin model with active epidermal enzymes. And we analyzed two vitamin derivatives with different chemical properties: magnesium ascorbyl phosphate (APM) and sodium tocopheryl phosphate (TPNa), both of which has been confirmed their skin permeation in the reconstructed models and the digestion to AsA and α-tocopherol by the epidermal enzymes, respectively.

Methods: We prepared the 1% of water solution containing either APM or TPNa. Then, we tested the cumulative permeation of the derivatives at 2 application volumes, 25 μL/cm2 (finite dosing) and 85 μL/cm2 (infinite dosing), on cultured reconstructed skin and observed the permeation of the permeants every 2 h up to 24 h.

Results: When the applied formula was used to assess the evaporation rate to determine an end point of the test system, all the water evaporated in 6 h in finite model and in 8 h in infinite model. Both models showed that the cumulative permeation of the active compounds increased and a constant flux until 8 h after application; however, the flux decreased thereafter, indicating that the decreased flux depended on an end point of the test system. This indicated that our test system can analyze the permeation of the vitamin derivatives within 8 h before reaching the end point.

Conclusion: Using an infinite model of this system, we assessed the cumulative permeation of vitamin derivatives within 8 h using a reconstructed skin model.

Abstract Image

Abstract Image

Abstract Image

利用重构模型考虑皮肤渗透中的无限剂量和有限剂量。
介绍:维生素衍生物穿透表皮后,会通过酶消化化学改性剂释放出抗坏血酸和生育酚等活性化合物。要确定衍生物的透皮渗透性,应考虑衍生物及其释放的活性化合物的总渗透性。在本研究中,我们利用具有活性表皮酶的培养、重建皮肤模型,建立了一种皮肤渗透测试方法。我们分析了两种具有不同化学性质的维生素衍生物:抗坏血酸磷酸酯镁(APM)和生育酚磷酸酯钠(TPNa):我们制备了含有 APM 或 TPNa 的 1%水溶液。方法:我们配制了含有 APM 或 TPNa 的 1% 水溶液,然后在培养的再造皮肤上测试了衍生物在 25 μL/cm2 (有限剂量)和 85 μL/cm2 (无限剂量)两种涂抹量下的累积渗透性,并每隔 2 小时观察渗透物的渗透情况,直至 24 小时:结果表明:当使用所应用的公式来评估蒸发率以确定测试系统的终点时,有限模型在 6 小时内蒸发了所有的水,无限模型在 8 小时内蒸发了所有的水。这两个模型都表明,活性化合物的累积渗透率在施用后 8 小时之前一直在增加,且通量恒定,但之后通量下降,这表明通量的下降取决于测试系统的终点。这表明我们的测试系统可以在达到终点之前的 8 小时内分析维生素衍生物的渗透情况:结论:使用该系统的无限模型,我们利用重建的皮肤模型评估了维生素衍生物在 8 小时内的累积渗透情况。
本文章由计算机程序翻译,如有差异,请以英文原文为准。
求助全文
约1分钟内获得全文 求助全文
来源期刊
Skin Pharmacology and Physiology
Skin Pharmacology and Physiology 医学-皮肤病学
CiteScore
5.20
自引率
7.40%
发文量
23
审稿时长
>12 weeks
期刊介绍: In the past decade research into skin pharmacology has rapidly developed with new and promising drugs and therapeutic concepts being introduced regularly. Recently, the use of nanoparticles for drug delivery in dermatology and cosmetology has become a topic of intensive research, yielding remarkable and in part surprising results. Another topic of current research is the use of tissue tolerable plasma in wound treatment. Stimulating not only wound healing processes but also the penetration of topically applied substances into the skin, this novel technique is expected to deliver very interesting results.
×
引用
GB/T 7714-2015
复制
MLA
复制
APA
复制
导出至
BibTeX EndNote RefMan NoteFirst NoteExpress
×
提示
您的信息不完整,为了账户安全,请先补充。
现在去补充
×
提示
您因"违规操作"
具体请查看互助需知
我知道了
×
提示
确定
请完成安全验证×
copy
已复制链接
快去分享给好友吧!
我知道了
右上角分享
点击右上角分享
0
联系我们:info@booksci.cn Book学术提供免费学术资源搜索服务,方便国内外学者检索中英文文献。致力于提供最便捷和优质的服务体验。 Copyright © 2023 布克学术 All rights reserved.
京ICP备2023020795号-1
ghs 京公网安备 11010802042870号
Book学术文献互助
Book学术文献互助群
群 号:604180095
Book学术官方微信