Keratin-based topical cream for radiation dermatitis during head and neck radiotherapy: a randomised, open-label pilot study.

IF 0.5 Q4 RADIOLOGY, NUCLEAR MEDICINE & MEDICAL IMAGING
Journal of Radiotherapy in Practice Pub Date : 2024-01-01 Epub Date: 2024-04-15 DOI:10.1017/s1460396924000037
Ryan T Hughes, Beverly J Levine, Bart A Frizzell, Kathryn M Greven, Mercedes Porosnicu, Thomas W Lycan, Luke R Burnett, Karen M Winkfield
{"title":"Keratin-based topical cream for radiation dermatitis during head and neck radiotherapy: a randomised, open-label pilot study.","authors":"Ryan T Hughes, Beverly J Levine, Bart A Frizzell, Kathryn M Greven, Mercedes Porosnicu, Thomas W Lycan, Luke R Burnett, Karen M Winkfield","doi":"10.1017/s1460396924000037","DOIUrl":null,"url":null,"abstract":"<p><strong>Introduction: </strong>Radiation dermatitis (RD) is a frequent toxicity during radiotherapy (RT) for head and neck cancer (HNC). We report the first use of KeraStat<sup>®</sup> Cream (KC), a topical, keratin-based wound dressing, in patients with HNC receiving RT.</p><p><strong>Methods: </strong>This pilot study randomized HNC patients treated with definitive or postoperative RT (≥60 Gy) to KC or standard of care (SOC), applied at least twice daily during and for 1-month after RT. Outcomes of interest included adherence to the assigned regimen (at least 10 applications per week of treatment), clinician- and patient-reported RD, and skin-related quality of life.</p><p><strong>Results: </strong>24 patients were randomized and completed the study. Most patients had stage III-IV disease and oropharynx cancer. Median RT dose was 68 Gy; the bilateral neck was treated in 19 patients, and 18 patients received concurrent chemotherapy. Complete adherence was observed in 7/12 (SOC) vs. 10/12 (KC, <i>p</i> = 0.65). Adherence by patient-week was 61/68 versus 64/67, respectively (<i>p</i> = 0.20). No differences in RD were observed between groups.</p><p><strong>Conclusion: </strong>A randomized trial of KC versus SOC in HNC patients treated with RT is feasible with good adherence to study agent. An adequately powered randomized study is warranted to test the efficacy of KC in reducing RD.</p>","PeriodicalId":44597,"journal":{"name":"Journal of Radiotherapy in Practice","volume":"23 ","pages":""},"PeriodicalIF":0.5000,"publicationDate":"2024-01-01","publicationTypes":"Journal Article","fieldsOfStudy":null,"isOpenAccess":false,"openAccessPdf":"https://www.ncbi.nlm.nih.gov/pmc/articles/PMC11449460/pdf/","citationCount":"0","resultStr":null,"platform":"Semanticscholar","paperid":null,"PeriodicalName":"Journal of Radiotherapy in Practice","FirstCategoryId":"1085","ListUrlMain":"https://doi.org/10.1017/s1460396924000037","RegionNum":0,"RegionCategory":null,"ArticlePicture":[],"TitleCN":null,"AbstractTextCN":null,"PMCID":null,"EPubDate":"2024/4/15 0:00:00","PubModel":"Epub","JCR":"Q4","JCRName":"RADIOLOGY, NUCLEAR MEDICINE & MEDICAL IMAGING","Score":null,"Total":0}
引用次数: 0

Abstract

Introduction: Radiation dermatitis (RD) is a frequent toxicity during radiotherapy (RT) for head and neck cancer (HNC). We report the first use of KeraStat® Cream (KC), a topical, keratin-based wound dressing, in patients with HNC receiving RT.

Methods: This pilot study randomized HNC patients treated with definitive or postoperative RT (≥60 Gy) to KC or standard of care (SOC), applied at least twice daily during and for 1-month after RT. Outcomes of interest included adherence to the assigned regimen (at least 10 applications per week of treatment), clinician- and patient-reported RD, and skin-related quality of life.

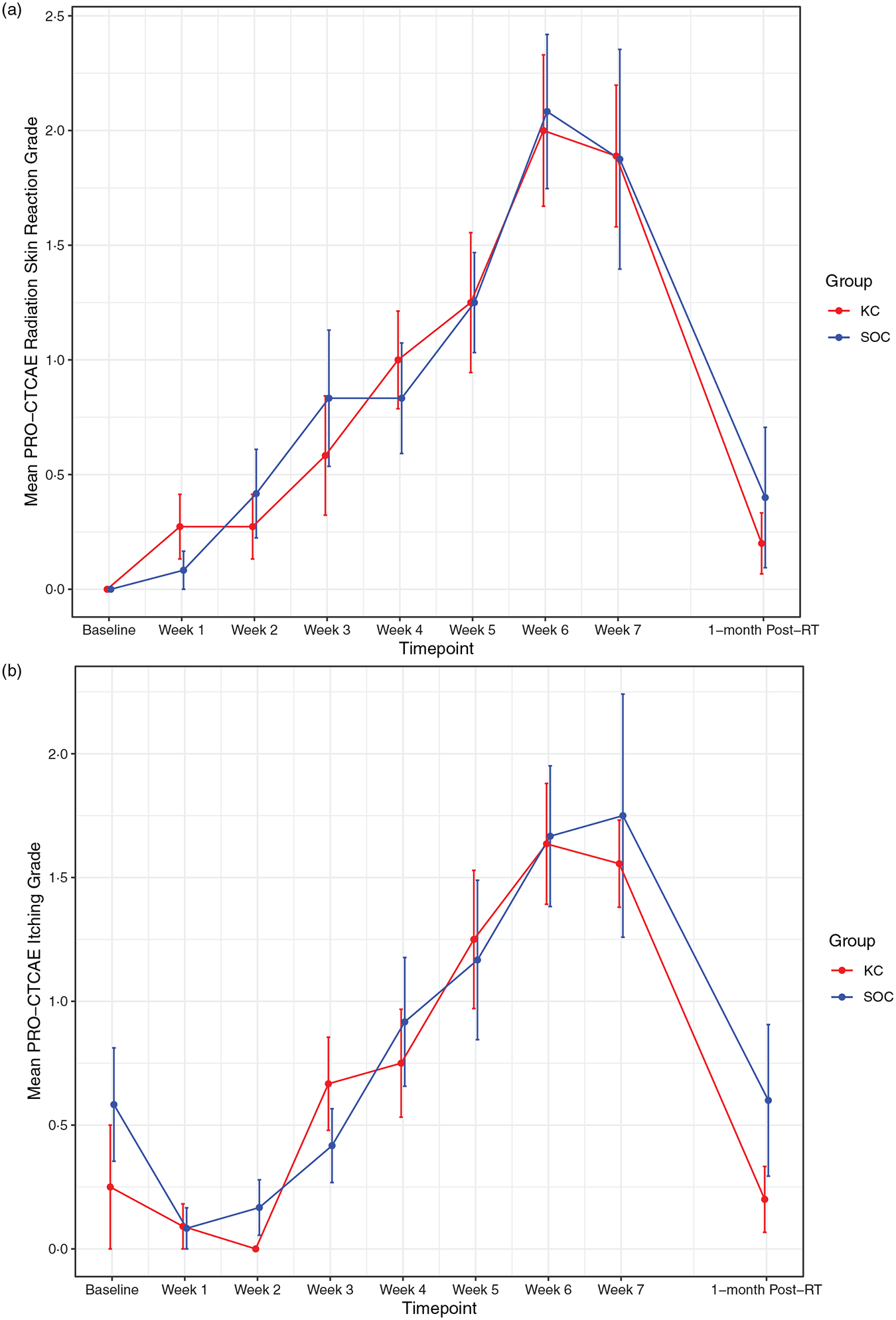
Results: 24 patients were randomized and completed the study. Most patients had stage III-IV disease and oropharynx cancer. Median RT dose was 68 Gy; the bilateral neck was treated in 19 patients, and 18 patients received concurrent chemotherapy. Complete adherence was observed in 7/12 (SOC) vs. 10/12 (KC, p = 0.65). Adherence by patient-week was 61/68 versus 64/67, respectively (p = 0.20). No differences in RD were observed between groups.

Conclusion: A randomized trial of KC versus SOC in HNC patients treated with RT is feasible with good adherence to study agent. An adequately powered randomized study is warranted to test the efficacy of KC in reducing RD.

Abstract Image

Abstract Image

Abstract Image

治疗头颈部放疗期间放射性皮炎的角蛋白外用乳膏:一项随机、开放标签试验研究。
导言:放射性皮炎(RD)是头颈部癌症(HNC)放射治疗(RT)过程中经常出现的一种毒性反应。我们报告了首次在接受 RT 治疗的 HNC 患者中使用 KeraStat® Cream (KC)(一种基于角蛋白的局部伤口敷料)的情况:这项试验性研究将接受最终或术后 RT(≥60 Gy)治疗的 HNC 患者随机分配给 KC 或标准护理(SOC),在 RT 期间和 RT 后 1 个月内每天至少使用两次。研究结果包括对指定方案的依从性(每周至少涂抹 10 次)、临床医生和患者报告的 RD 以及与皮肤相关的生活质量。大多数患者都是口咽癌III-IV期患者。中位 RT 剂量为 68 Gy;19 名患者接受了双侧颈部治疗,18 名患者同时接受了化疗。7/12(SOC)对10/12(KC,P = 0.65)例患者完全坚持治疗。按患者周数计算的坚持率分别为 61/68 对 64/67(p = 0.20)。两组患者的 RD 无差异:结论:在接受 RT 治疗的 HNC 患者中进行 KC 与 SOC 的随机试验是可行的,且患者对研究药物的依从性良好。有必要进行充分有效的随机研究,以检验 KC 在降低 RD 方面的疗效。
本文章由计算机程序翻译,如有差异,请以英文原文为准。
求助全文
约1分钟内获得全文 求助全文
来源期刊
Journal of Radiotherapy in Practice
Journal of Radiotherapy in Practice RADIOLOGY, NUCLEAR MEDICINE & MEDICAL IMAGING-
CiteScore
0.80
自引率
0.00%
发文量
36
期刊介绍: Journal of Radiotherapy in Practice is a peer-reviewed journal covering all of the current modalities specific to clinical oncology and radiotherapy. The journal aims to publish research from a wide range of styles and encourage debate and the exchange of information and opinion from within the field of radiotherapy practice and clinical oncology. The journal also aims to encourage technical evaluations and case studies as well as equipment reviews that will be of interest to an international radiotherapy audience.
×
引用
GB/T 7714-2015
复制
MLA
复制
APA
复制
导出至
BibTeX EndNote RefMan NoteFirst NoteExpress
×
提示
您的信息不完整,为了账户安全,请先补充。
现在去补充
×
提示
您因"违规操作"
具体请查看互助需知
我知道了
×
提示
确定
请完成安全验证×
copy
已复制链接
快去分享给好友吧!
我知道了
右上角分享
点击右上角分享
0
联系我们:info@booksci.cn Book学术提供免费学术资源搜索服务,方便国内外学者检索中英文文献。致力于提供最便捷和优质的服务体验。 Copyright © 2023 布克学术 All rights reserved.
京ICP备2023020795号-1
ghs 京公网安备 11010802042870号
Book学术文献互助
Book学术文献互助群
群 号:604180095
Book学术官方微信