Randomized study of the effects of empagliflozin and topiramate dual therapy on anthropometric and metabolic indices in non-diabetic individuals with overweight/obesity on a calorie-restricted diet.

IF 2.8 3区 医学 Q2 PSYCHIATRY
Behnaz Abiri, Amirhossein Ramezani Ahmadi, Farhad Hosseinpanah, Ali Valizadeh, Afshin Zarghi, Majid Valizadeh
{"title":"Randomized study of the effects of empagliflozin and topiramate dual therapy on anthropometric and metabolic indices in non-diabetic individuals with overweight/obesity on a calorie-restricted diet.","authors":"Behnaz Abiri, Amirhossein Ramezani Ahmadi, Farhad Hosseinpanah, Ali Valizadeh, Afshin Zarghi, Majid Valizadeh","doi":"10.1007/s40519-024-01692-2","DOIUrl":null,"url":null,"abstract":"<p><strong>Objectives: </strong>The objective of this study was to evaluate the effectiveness of the combined use of empagliflozin (EMPA) and topiramate (TPM) versus a placebo in overweight/obese individuals without diabetes on a calorie-restricted diet.</p><p><strong>Methods: </strong>In this study, 44 non-diabetic and overweight/obese subjects who were on a calorie restricted diet were randomly assigned into 2 groups: (1) Participants received a 10 mg EMPA tablet daily plus TPM tablet (at the 1st week 25 mg once a day and from the second week 25 mg twice a day); (2) Participants received an empagliflozin placebo (daily) plus a topiramate placebo (as mentioned for topiramate tablet in group 1), for 12 weeks. At baseline and weeks 4, 8, 12, weight, height, body mass index (BMI), waist circumference (WC), and body composition were evaluated. Before and after the intervention, blood pressure, C reactive protein, and glucose and lipid profile parameters were measured.</p><p><strong>Results: </strong>The EMPA/TPM group, compared to placebo, had a greater percent change of weight at week 12 (- 8.92 ± 1.80 vs. - 4.93 ± 1.17). The intervention group had a greater percent change of fat mass and fat percent at week 12 (P < 0.05). However, there was no difference in the percent of change in fat-free percent between the two groups at week 12 (P = 0.577). Within-group analysis found a significant reduction in SBP, DBP, FBS, insulin, HOMA-IR, TC, LDL, HDL, TG, and CRP in both groups (P < 0.05). At week 12, no statistically significant difference was observed between the two groups in any of mentioned variables (P > 0.05).</p><p><strong>Conclusion: </strong>In non-diabetic overweight/obese individuals, the combination of EMPA/TPM and calorie restriction led to a notable decrease in body weight and was generally well-tolerated. Further research is required to evaluate the potential advantages of utilizing this combination for sustained weight management in the long run.</p><p><strong>Level i: </strong>Randomized clinical trial.</p>","PeriodicalId":11391,"journal":{"name":"Eating and Weight Disorders - Studies on Anorexia, Bulimia and Obesity","volume":"29 1","pages":"64"},"PeriodicalIF":2.8000,"publicationDate":"2024-10-03","publicationTypes":"Journal Article","fieldsOfStudy":null,"isOpenAccess":false,"openAccessPdf":"https://www.ncbi.nlm.nih.gov/pmc/articles/PMC11450015/pdf/","citationCount":"0","resultStr":null,"platform":"Semanticscholar","paperid":null,"PeriodicalName":"Eating and Weight Disorders - Studies on Anorexia, Bulimia and Obesity","FirstCategoryId":"3","ListUrlMain":"https://doi.org/10.1007/s40519-024-01692-2","RegionNum":3,"RegionCategory":"医学","ArticlePicture":[],"TitleCN":null,"AbstractTextCN":null,"PMCID":null,"EPubDate":"","PubModel":"","JCR":"Q2","JCRName":"PSYCHIATRY","Score":null,"Total":0}
引用次数: 0

Abstract

Objectives: The objective of this study was to evaluate the effectiveness of the combined use of empagliflozin (EMPA) and topiramate (TPM) versus a placebo in overweight/obese individuals without diabetes on a calorie-restricted diet.

Methods: In this study, 44 non-diabetic and overweight/obese subjects who were on a calorie restricted diet were randomly assigned into 2 groups: (1) Participants received a 10 mg EMPA tablet daily plus TPM tablet (at the 1st week 25 mg once a day and from the second week 25 mg twice a day); (2) Participants received an empagliflozin placebo (daily) plus a topiramate placebo (as mentioned for topiramate tablet in group 1), for 12 weeks. At baseline and weeks 4, 8, 12, weight, height, body mass index (BMI), waist circumference (WC), and body composition were evaluated. Before and after the intervention, blood pressure, C reactive protein, and glucose and lipid profile parameters were measured.

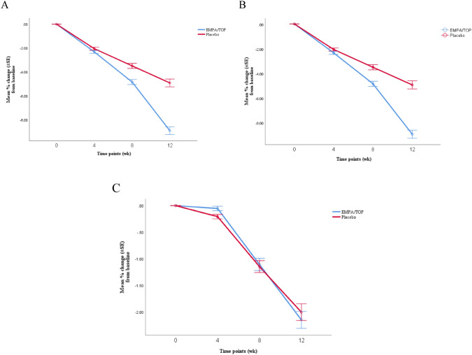
Results: The EMPA/TPM group, compared to placebo, had a greater percent change of weight at week 12 (- 8.92 ± 1.80 vs. - 4.93 ± 1.17). The intervention group had a greater percent change of fat mass and fat percent at week 12 (P < 0.05). However, there was no difference in the percent of change in fat-free percent between the two groups at week 12 (P = 0.577). Within-group analysis found a significant reduction in SBP, DBP, FBS, insulin, HOMA-IR, TC, LDL, HDL, TG, and CRP in both groups (P < 0.05). At week 12, no statistically significant difference was observed between the two groups in any of mentioned variables (P > 0.05).

Conclusion: In non-diabetic overweight/obese individuals, the combination of EMPA/TPM and calorie restriction led to a notable decrease in body weight and was generally well-tolerated. Further research is required to evaluate the potential advantages of utilizing this combination for sustained weight management in the long run.

Level i: Randomized clinical trial.

Abstract Image

Abstract Image

Abstract Image

安帕格列净和托吡酯双重疗法对限制热量饮食的非糖尿病超重/肥胖患者人体测量和代谢指标影响的随机研究。
研究目的本研究旨在评估联合使用恩格列净(EMPA)和托吡酯(TPM)与安慰剂相比,对限制热量饮食的无糖尿病超重/肥胖者的疗效:在这项研究中,44名接受热量限制饮食的非糖尿病和超重/肥胖受试者被随机分为两组:(1)受试者每天服用10毫克EMPA片剂,同时服用托吡酯片剂(第1周为每天1次,每次25毫克,第2周起为每天2次,每次25毫克);(2)受试者每天服用安格列净安慰剂,同时服用托吡酯安慰剂(与第1组的托吡酯片剂相同),为期12周。在基线和第 4、8、12 周,对体重、身高、体重指数 (BMI)、腰围 (WC) 和身体成分进行评估。干预前后,测量了血压、C 反应蛋白、血糖和血脂指标:结果:与安慰剂相比,EMPA/TPM 组在第 12 周的体重变化百分比更大(- 8.92 ± 1.80 对 - 4.93 ± 1.17)。第 12 周时,干预组的脂肪量和脂肪百分比变化更大(P 0.05):结论:在非糖尿病超重/肥胖者中,EMPA/TPM 和热量限制相结合可显著降低体重,而且普遍耐受性良好。还需要进一步研究,以评估长期利用这种组合进行持续体重管理的潜在优势:i级:随机临床试验。
本文章由计算机程序翻译,如有差异,请以英文原文为准。
求助全文
约1分钟内获得全文 求助全文
来源期刊
CiteScore
6.50
自引率
10.30%
发文量
170
审稿时长
>12 weeks
期刊介绍: Eating and Weight Disorders - Studies on Anorexia, Bulimia and Obesity is a scientific journal whose main purpose is to create an international forum devoted to the several sectors of eating disorders and obesity and the significant relations between them. The journal publishes basic research, clinical and theoretical articles on eating disorders and weight-related problems: anorexia nervosa, bulimia nervosa, subthreshold eating disorders, obesity, atypical patterns of eating behaviour and body weight regulation in clinical and non-clinical populations.
×
引用
GB/T 7714-2015
复制
MLA
复制
APA
复制
导出至
BibTeX EndNote RefMan NoteFirst NoteExpress
×
提示
您的信息不完整,为了账户安全,请先补充。
现在去补充
×
提示
您因"违规操作"
具体请查看互助需知
我知道了
×
提示
确定
请完成安全验证×
copy
已复制链接
快去分享给好友吧!
我知道了
右上角分享
点击右上角分享
0
联系我们:info@booksci.cn Book学术提供免费学术资源搜索服务,方便国内外学者检索中英文文献。致力于提供最便捷和优质的服务体验。 Copyright © 2023 布克学术 All rights reserved.
京ICP备2023020795号-1
ghs 京公网安备 11010802042870号
Book学术文献互助
Book学术文献互助群
群 号:604180095
Book学术官方微信