Spatial Cognition Ability in Surgeons Performing Endoscopic Endonasal Transsphenoidal Surgery.

IF 2.3 4区 医学 Q2 CLINICAL NEUROLOGY
Neurologia medico-chirurgica Pub Date : 2024-11-15 Epub Date: 2024-09-26 DOI:10.2176/jns-nmc.2024-0080
Juli Yamashita, Takeshi Okuda, Takayuki Tasaki, Jun C Takahashi
{"title":"Spatial Cognition Ability in Surgeons Performing Endoscopic Endonasal Transsphenoidal Surgery.","authors":"Juli Yamashita, Takeshi Okuda, Takayuki Tasaki, Jun C Takahashi","doi":"10.2176/jns-nmc.2024-0080","DOIUrl":null,"url":null,"abstract":"<p><p>Endoscopic surgery, including endoscopic endonasal transsphenoidal surgery (ETSS), requires special psychomotor skills from surgeons. The learning curve in the acquisition of psychomotor skills varies among individuals, and studies about laparoscopy indicate that the difference can be predicted using spatial ability tests. We examined the association between the results of such tests and the learning curve in ETSS to determine the need for a personalized curriculum for ETSS skill training. A total of 30 fifth-year medical students from Kindai University School of Medicine (17 men, 13 women; mean age, 26 years) without ETSS experience completed the spatial orientation test (SOT) for the measurement of spatial visualization ability. They performed the dural incision task (DIT) twice on an ETSS training model for surgical psychomotor skill evaluation. The SOT scores (angle errors) exhibited substantial individual differences in spatial visualization ability, whereas the DIT scores significantly improved in the second trial (Wilcoxon signed-rank test, P = 0.0035). However, no significant difference was observed in the DIT scores between the smaller error and larger error groups of the SOT. The results indicated that two DIT trials were sufficient to acquire psychomotor skills for the DIT as the endoscope was almost fixed and learning only one viewpoint and line of sight combination was adequate. In conclusion, a personalized ETSS training program based on the trainee's spatial ability is not necessary for the DIT. Further research is warranted to determine the effect of spatial ability on more complex tasks, such as suturing in cranial base repair.</p>","PeriodicalId":19225,"journal":{"name":"Neurologia medico-chirurgica","volume":" ","pages":"395-400"},"PeriodicalIF":2.3000,"publicationDate":"2024-11-15","publicationTypes":"Journal Article","fieldsOfStudy":null,"isOpenAccess":false,"openAccessPdf":"https://www.ncbi.nlm.nih.gov/pmc/articles/PMC11617353/pdf/","citationCount":"0","resultStr":null,"platform":"Semanticscholar","paperid":null,"PeriodicalName":"Neurologia medico-chirurgica","FirstCategoryId":"3","ListUrlMain":"https://doi.org/10.2176/jns-nmc.2024-0080","RegionNum":4,"RegionCategory":"医学","ArticlePicture":[],"TitleCN":null,"AbstractTextCN":null,"PMCID":null,"EPubDate":"2024/9/26 0:00:00","PubModel":"Epub","JCR":"Q2","JCRName":"CLINICAL NEUROLOGY","Score":null,"Total":0}
引用次数: 0

Abstract

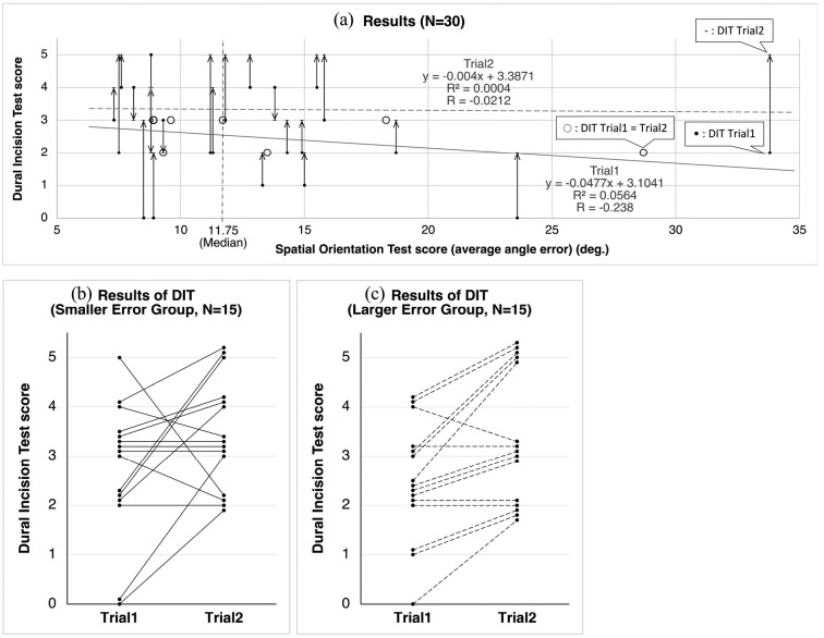
Endoscopic surgery, including endoscopic endonasal transsphenoidal surgery (ETSS), requires special psychomotor skills from surgeons. The learning curve in the acquisition of psychomotor skills varies among individuals, and studies about laparoscopy indicate that the difference can be predicted using spatial ability tests. We examined the association between the results of such tests and the learning curve in ETSS to determine the need for a personalized curriculum for ETSS skill training. A total of 30 fifth-year medical students from Kindai University School of Medicine (17 men, 13 women; mean age, 26 years) without ETSS experience completed the spatial orientation test (SOT) for the measurement of spatial visualization ability. They performed the dural incision task (DIT) twice on an ETSS training model for surgical psychomotor skill evaluation. The SOT scores (angle errors) exhibited substantial individual differences in spatial visualization ability, whereas the DIT scores significantly improved in the second trial (Wilcoxon signed-rank test, P = 0.0035). However, no significant difference was observed in the DIT scores between the smaller error and larger error groups of the SOT. The results indicated that two DIT trials were sufficient to acquire psychomotor skills for the DIT as the endoscope was almost fixed and learning only one viewpoint and line of sight combination was adequate. In conclusion, a personalized ETSS training program based on the trainee's spatial ability is not necessary for the DIT. Further research is warranted to determine the effect of spatial ability on more complex tasks, such as suturing in cranial base repair.

Abstract Image

Abstract Image

Abstract Image

执行内窥镜鼻内镜经蝶手术的外科医生的空间认知能力。
内窥镜手术,包括内窥镜鼻内镜经蝶手术(ETSS),需要外科医生具备特殊的心理运动技能。心理运动技能的学习曲线因人而异,有关腹腔镜手术的研究表明,这种差异可以通过空间能力测试来预测。我们研究了此类测试结果与 ETSS 学习曲线之间的关联,以确定是否需要个性化的 ETSS 技能培训课程。来自金台大学医学院的 30 名五年级医学生(17 名男生,13 名女生;平均年龄 26 岁)没有 ETSS 经验,他们完成了用于测量空间视觉能力的空间定向测试(SOT)。他们在 ETSS 训练模型上进行了两次硬膜切开任务 (DIT),以评估手术心理运动技能。SOT得分(角度误差)显示了空间视觉能力的巨大个体差异,而DIT得分在第二次试验中显著提高(Wilcoxon符号秩检验,P = 0.0035)。然而,在 SOT 中,较小误差组和较大误差组之间的 DIT 分数没有明显差异。结果表明,由于内窥镜几乎是固定的,只学习一种视角和视线组合就足以掌握 DIT 的心理运动技能,因此两次 DIT 试验就足够了。总之,DIT 不需要根据受训者的空间能力制定个性化的 ETSS 培训计划。有必要进一步研究空间能力对更复杂任务(如颅底修复中的缝合)的影响。
本文章由计算机程序翻译,如有差异,请以英文原文为准。
求助全文
约1分钟内获得全文 求助全文
来源期刊
Neurologia medico-chirurgica
Neurologia medico-chirurgica 医学-临床神经学
CiteScore
3.70
自引率
10.50%
发文量
63
审稿时长
3-8 weeks
期刊介绍: Information not localized
×
引用
GB/T 7714-2015
复制
MLA
复制
APA
复制
导出至
BibTeX EndNote RefMan NoteFirst NoteExpress
×
提示
您的信息不完整,为了账户安全,请先补充。
现在去补充
×
提示
您因"违规操作"
具体请查看互助需知
我知道了
×
提示
确定
请完成安全验证×
copy
已复制链接
快去分享给好友吧!
我知道了
右上角分享
点击右上角分享
0
联系我们:info@booksci.cn Book学术提供免费学术资源搜索服务,方便国内外学者检索中英文文献。致力于提供最便捷和优质的服务体验。 Copyright © 2023 布克学术 All rights reserved.
京ICP备2023020795号-1
ghs 京公网安备 11010802042870号
Book学术文献互助
Book学术文献互助群
群 号:604180095
Book学术官方微信