Native Hawaiian and Pacific Islander populations in genomic research.

IF 4.8 2区 医学 Q1 GENETICS & HEREDITY
Edra K Ha, Daniel Shriner, Shawneequa L Callier, Lorinda Riley, Adebowale A Adeyemo, Charles N Rotimi, Amy R Bentley
{"title":"Native Hawaiian and Pacific Islander populations in genomic research.","authors":"Edra K Ha, Daniel Shriner, Shawneequa L Callier, Lorinda Riley, Adebowale A Adeyemo, Charles N Rotimi, Amy R Bentley","doi":"10.1038/s41525-024-00428-6","DOIUrl":null,"url":null,"abstract":"<p><p>The role of genomic research and medicine in improving health continues to grow significantly, highlighting the need for increased equitable inclusion of diverse populations in genomics. Native Hawaiian and Pacific Islander (NHPI) communities are often missing from these efforts to ensure that the benefits of genomics are accessible to all individuals. In this article, we analyze the qualities of NHPI populations relevant to their inclusion in genomic research and investigate their current representation using data from the genome-wide association studies (GWAS) catalog. A discussion of the barriers NHPI experience regarding participating in research and recommendations to improve NHPI representation in genomic research are also included.</p>","PeriodicalId":19273,"journal":{"name":"NPJ Genomic Medicine","volume":"9 1","pages":"45"},"PeriodicalIF":4.8000,"publicationDate":"2024-09-30","publicationTypes":"Journal Article","fieldsOfStudy":null,"isOpenAccess":false,"openAccessPdf":"https://www.ncbi.nlm.nih.gov/pmc/articles/PMC11442686/pdf/","citationCount":"0","resultStr":null,"platform":"Semanticscholar","paperid":null,"PeriodicalName":"NPJ Genomic Medicine","FirstCategoryId":"3","ListUrlMain":"https://doi.org/10.1038/s41525-024-00428-6","RegionNum":2,"RegionCategory":"医学","ArticlePicture":[],"TitleCN":null,"AbstractTextCN":null,"PMCID":null,"EPubDate":"","PubModel":"","JCR":"Q1","JCRName":"GENETICS & HEREDITY","Score":null,"Total":0}
引用次数: 0

Abstract

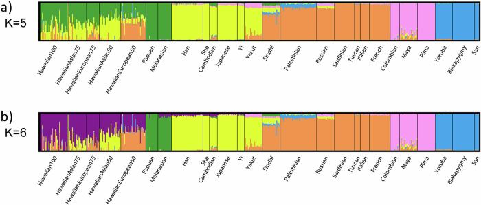
The role of genomic research and medicine in improving health continues to grow significantly, highlighting the need for increased equitable inclusion of diverse populations in genomics. Native Hawaiian and Pacific Islander (NHPI) communities are often missing from these efforts to ensure that the benefits of genomics are accessible to all individuals. In this article, we analyze the qualities of NHPI populations relevant to their inclusion in genomic research and investigate their current representation using data from the genome-wide association studies (GWAS) catalog. A discussion of the barriers NHPI experience regarding participating in research and recommendations to improve NHPI representation in genomic research are also included.

Abstract Image

Abstract Image

Abstract Image

基因组研究中的夏威夷原住民和太平洋岛民。
基因组研究和医学在改善健康状况方面的作用持续大幅增长,这凸显了将不同人群更公平地纳入基因组学的必要性。夏威夷原住民和太平洋岛民(NHPI)群体往往没有参与到这些努力中,以确保所有人都能享受到基因组学的益处。在本文中,我们分析了 NHPI 群体与将其纳入基因组研究相关的特质,并利用全基因组关联研究 (GWAS) 目录中的数据调查了他们目前的代表性。文章还讨论了非高血压患者在参与研究方面遇到的障碍,并就如何提高非高血压患者在基因组研究中的代表性提出了建议。
本文章由计算机程序翻译,如有差异,请以英文原文为准。
求助全文
约1分钟内获得全文 求助全文
来源期刊
NPJ Genomic Medicine
NPJ Genomic Medicine Biochemistry, Genetics and Molecular Biology-Molecular Biology
CiteScore
9.40
自引率
1.90%
发文量
67
审稿时长
17 weeks
期刊介绍: npj Genomic Medicine is an international, peer-reviewed journal dedicated to publishing the most important scientific advances in all aspects of genomics and its application in the practice of medicine. The journal defines genomic medicine as "diagnosis, prognosis, prevention and/or treatment of disease and disorders of the mind and body, using approaches informed or enabled by knowledge of the genome and the molecules it encodes." Relevant and high-impact papers that encompass studies of individuals, families, or populations are considered for publication. An emphasis will include coupling detailed phenotype and genome sequencing information, both enabled by new technologies and informatics, to delineate the underlying aetiology of disease. Clinical recommendations and/or guidelines of how that data should be used in the clinical management of those patients in the study, and others, are also encouraged.
×
引用
GB/T 7714-2015
复制
MLA
复制
APA
复制
导出至
BibTeX EndNote RefMan NoteFirst NoteExpress
×
提示
您的信息不完整,为了账户安全,请先补充。
现在去补充
×
提示
您因"违规操作"
具体请查看互助需知
我知道了
×
提示
确定
请完成安全验证×
copy
已复制链接
快去分享给好友吧!
我知道了
右上角分享
点击右上角分享
0
联系我们:info@booksci.cn Book学术提供免费学术资源搜索服务,方便国内外学者检索中英文文献。致力于提供最便捷和优质的服务体验。 Copyright © 2023 布克学术 All rights reserved.
京ICP备2023020795号-1
ghs 京公网安备 11010802042870号
Book学术文献互助
Book学术文献互助群
群 号:604180095
Book学术官方微信