The role of wide local excision of a primary lesion in cutaneous malignant melanoma: a retrospective analysis of its usefulness in local and general control of disease.

IF 1.9 4区 医学 Q3 DERMATOLOGY
Melanoma Research Pub Date : 2024-12-01 Epub Date: 2024-09-25 DOI:10.1097/CMR.0000000000000999
Eleonora Nacchiero, Massimo Giotta, Fabio Robusto, Maria Elvira Metta, Valentina Ronghi, Rossella Elia, Paolo Trerotoli, Michele Maruccia, Giuseppe Giudice
{"title":"The role of wide local excision of a primary lesion in cutaneous malignant melanoma: a retrospective analysis of its usefulness in local and general control of disease.","authors":"Eleonora Nacchiero, Massimo Giotta, Fabio Robusto, Maria Elvira Metta, Valentina Ronghi, Rossella Elia, Paolo Trerotoli, Michele Maruccia, Giuseppe Giudice","doi":"10.1097/CMR.0000000000000999","DOIUrl":null,"url":null,"abstract":"<p><p>Currently, wide local excision is recommended after the primary excision of cutaneous melanomas. The definition of margins for wide local excision indicated by the guidelines has remained unchanged over the years, although the reported indications are derived from fairly dated studies in which melanomas tended to be thicker or in advanced stages at diagnosis. This study aimed to retrospectively evaluate the usefulness of wide local excision for local and general control of the disease and to identify patients who had benefited from the wide local excision procedure in terms of prognosis improvement. This retrospective observational study was conducted on patients who had undergone surgery for melanoma at a single institution. The primary endpoint was progression-free survival after wide local excision in patients with or without residual melanoma. The secondary endpoint was to evaluate which patients' demographic features and melanoma histological data were associated with residual melanoma after wide local excision. In the univariate model, melanoma-positive wide local excision resulted in the worst progression-free survival; however, this association was not confirmed in the multivariate model. The results also showed that Breslow thickness was the only factor associated with an increased risk of metastasis to the wide local excision area. According to the receiver operating characteristic analysis, the optimum cutoff value of Breslow's thickness to predict a tumor-positive wide local excision was 2.31 mm for males and 2.4 mm for females.</p>","PeriodicalId":18550,"journal":{"name":"Melanoma Research","volume":" ","pages":"519-527"},"PeriodicalIF":1.9000,"publicationDate":"2024-12-01","publicationTypes":"Journal Article","fieldsOfStudy":null,"isOpenAccess":false,"openAccessPdf":"https://www.ncbi.nlm.nih.gov/pmc/articles/PMC11524624/pdf/","citationCount":"0","resultStr":null,"platform":"Semanticscholar","paperid":null,"PeriodicalName":"Melanoma Research","FirstCategoryId":"3","ListUrlMain":"https://doi.org/10.1097/CMR.0000000000000999","RegionNum":4,"RegionCategory":"医学","ArticlePicture":[],"TitleCN":null,"AbstractTextCN":null,"PMCID":null,"EPubDate":"2024/9/25 0:00:00","PubModel":"Epub","JCR":"Q3","JCRName":"DERMATOLOGY","Score":null,"Total":0}
引用次数: 0

Abstract

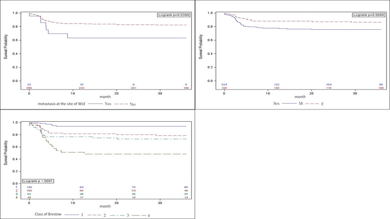
Currently, wide local excision is recommended after the primary excision of cutaneous melanomas. The definition of margins for wide local excision indicated by the guidelines has remained unchanged over the years, although the reported indications are derived from fairly dated studies in which melanomas tended to be thicker or in advanced stages at diagnosis. This study aimed to retrospectively evaluate the usefulness of wide local excision for local and general control of the disease and to identify patients who had benefited from the wide local excision procedure in terms of prognosis improvement. This retrospective observational study was conducted on patients who had undergone surgery for melanoma at a single institution. The primary endpoint was progression-free survival after wide local excision in patients with or without residual melanoma. The secondary endpoint was to evaluate which patients' demographic features and melanoma histological data were associated with residual melanoma after wide local excision. In the univariate model, melanoma-positive wide local excision resulted in the worst progression-free survival; however, this association was not confirmed in the multivariate model. The results also showed that Breslow thickness was the only factor associated with an increased risk of metastasis to the wide local excision area. According to the receiver operating characteristic analysis, the optimum cutoff value of Breslow's thickness to predict a tumor-positive wide local excision was 2.31 mm for males and 2.4 mm for females.

Abstract Image

Abstract Image

对皮肤恶性黑色素瘤原发病灶进行大范围局部切除的作用:对其在局部和总体控制疾病方面作用的回顾性分析。
目前,在对皮肤黑色素瘤进行初诊切除后,建议进行大范围局部切除。多年来,指南中关于局部广泛切除术的边缘定义一直未变,尽管所报告的适应症来自于年代久远的研究,在这些研究中,黑色素瘤在确诊时往往较厚或处于晚期。本研究旨在回顾性评估大范围局部切除术在局部和总体控制病情方面的作用,并找出在改善预后方面受益于大范围局部切除术的患者。这项回顾性观察研究的对象是在一家医疗机构接受过黑色素瘤手术的患者。研究的主要终点是有或无黑色素瘤残留的患者在广泛局部切除术后的无进展生存期。次要终点是评估哪些患者的人口统计学特征和黑色素瘤组织学数据与广泛局部切除术后残留黑色素瘤有关。在单变量模型中,黑色素瘤阳性的广泛局部切除术导致最差的无进展生存期;但这一关联在多变量模型中并未得到证实。结果还显示,布瑞斯洛厚度是唯一与宽局部切除区域转移风险增加有关的因素。根据接受者操作特征分析,预测肿瘤阳性宽局部切除的最佳布氏厚度临界值男性为2.31毫米,女性为2.4毫米。
本文章由计算机程序翻译,如有差异,请以英文原文为准。
求助全文
约1分钟内获得全文 求助全文
来源期刊
Melanoma Research
Melanoma Research 医学-皮肤病学
CiteScore
3.40
自引率
4.50%
发文量
139
审稿时长
6-12 weeks
期刊介绍: ​​​​​​Melanoma Research is a well established international forum for the dissemination of new findings relating to melanoma. The aim of the Journal is to promote the level of informational exchange between those engaged in the field. Melanoma Research aims to encourage an informed and balanced view of experimental and clinical research and extend and stimulate communication and exchange of knowledge between investigators with differing areas of expertise. This will foster the development of translational research. The reporting of new clinical results and the effect and toxicity of new therapeutic agents and immunotherapy will be given emphasis by rapid publication of Short Communications. ​Thus, Melanoma Research seeks to present a coherent and up-to-date account of all aspects of investigations pertinent to melanoma. Consequently the scope of the Journal is broad, embracing the entire range of studies from fundamental and applied research in such subject areas as genetics, molecular biology, biochemistry, cell biology, photobiology, pathology, immunology, and advances in clinical oncology influencing the prevention, diagnosis and treatment of melanoma.
×
引用
GB/T 7714-2015
复制
MLA
复制
APA
复制
导出至
BibTeX EndNote RefMan NoteFirst NoteExpress
×
提示
您的信息不完整,为了账户安全,请先补充。
现在去补充
×
提示
您因"违规操作"
具体请查看互助需知
我知道了
×
提示
确定
请完成安全验证×
copy
已复制链接
快去分享给好友吧!
我知道了
右上角分享
点击右上角分享
0
联系我们:info@booksci.cn Book学术提供免费学术资源搜索服务,方便国内外学者检索中英文文献。致力于提供最便捷和优质的服务体验。 Copyright © 2023 布克学术 All rights reserved.
京ICP备2023020795号-1
ghs 京公网安备 11010802042870号
Book学术文献互助
Book学术文献互助群
群 号:604180095
Book学术官方微信