How does adulteration of wax foundation affect phenoloxidase and lysozyme activities as selected parameters of immunity in Apis mellifera?

IF 1.5 3区 农林科学 Q2 VETERINARY SCIENCES
Journal of Veterinary Research Pub Date : 2024-08-01 eCollection Date: 2024-09-01 DOI:10.2478/jvetres-2024-0040
Aneta Strachecka, Magdalena Chęć, Krzysztof Olszewski, Patrycja Staniszewska, Piotr Dziechciarz, Mariusz Gagoś
{"title":"How does adulteration of wax foundation affect phenoloxidase and lysozyme activities as selected parameters of immunity in <i>Apis mellifera</i>?","authors":"Aneta Strachecka, Magdalena Chęć, Krzysztof Olszewski, Patrycja Staniszewska, Piotr Dziechciarz, Mariusz Gagoś","doi":"10.2478/jvetres-2024-0040","DOIUrl":null,"url":null,"abstract":"<p><strong>Introduction: </strong>The adulteration of wax foundation is, for many reasons, a growing problem of modern beekeeping not only in Europe but also around the world. Wax foundation contaminated with stearin addition leads to a brood die-off, while paraffin addition negatively affects the strength of combs. It is tenable that such adulterated wax foundation reduces bees' immunity. The aim of the study was to determine the activities of two bee immune enzymes, lysozyme and phenoloxidase, in the haemolymph of worker bees which had emerged from combs with wax foundations contaminated with stearin or paraffin.</p><p><strong>Material and methods: </strong>Combs built with stearin- or paraffin-adulterated wax (both adulterants at concentrations of 10%, 30% or 50%) or pure wax (0% adulterated) foundations were placed in the colonies, one for each adulterant and percentage. The workers were marked upon emergence from these combs and those bees were introduced into one strong colony per adulterant and percentage. Phenoloxidase and lysozyme activities were determined in the haemolymph of 1-, 7- and 14-day-old workers.</p><p><strong>Results: </strong>The higher the concentrations of stearin and paraffin in the wax foundation, the lower the phenoloxidase activities were. These activities increased with the bee age. In contrast, the trends in lysozymes were opposite. Paraffin seems to be less toxic than stearin.</p><p><strong>Conclusion: </strong>Adulteration of wax foundation with even a small amount of stearin or paraffin has negative effects on the functioning of the bee.</p>","PeriodicalId":17617,"journal":{"name":"Journal of Veterinary Research","volume":"68 3","pages":"395-400"},"PeriodicalIF":1.5000,"publicationDate":"2024-08-01","publicationTypes":"Journal Article","fieldsOfStudy":null,"isOpenAccess":false,"openAccessPdf":"https://www.ncbi.nlm.nih.gov/pmc/articles/PMC11418384/pdf/","citationCount":"0","resultStr":null,"platform":"Semanticscholar","paperid":null,"PeriodicalName":"Journal of Veterinary Research","FirstCategoryId":"97","ListUrlMain":"https://doi.org/10.2478/jvetres-2024-0040","RegionNum":3,"RegionCategory":"农林科学","ArticlePicture":[],"TitleCN":null,"AbstractTextCN":null,"PMCID":null,"EPubDate":"2024/9/1 0:00:00","PubModel":"eCollection","JCR":"Q2","JCRName":"VETERINARY SCIENCES","Score":null,"Total":0}
引用次数: 0

Abstract

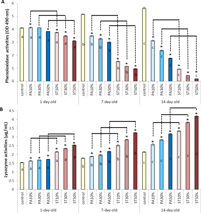
Introduction: The adulteration of wax foundation is, for many reasons, a growing problem of modern beekeeping not only in Europe but also around the world. Wax foundation contaminated with stearin addition leads to a brood die-off, while paraffin addition negatively affects the strength of combs. It is tenable that such adulterated wax foundation reduces bees' immunity. The aim of the study was to determine the activities of two bee immune enzymes, lysozyme and phenoloxidase, in the haemolymph of worker bees which had emerged from combs with wax foundations contaminated with stearin or paraffin.

Material and methods: Combs built with stearin- or paraffin-adulterated wax (both adulterants at concentrations of 10%, 30% or 50%) or pure wax (0% adulterated) foundations were placed in the colonies, one for each adulterant and percentage. The workers were marked upon emergence from these combs and those bees were introduced into one strong colony per adulterant and percentage. Phenoloxidase and lysozyme activities were determined in the haemolymph of 1-, 7- and 14-day-old workers.

Results: The higher the concentrations of stearin and paraffin in the wax foundation, the lower the phenoloxidase activities were. These activities increased with the bee age. In contrast, the trends in lysozymes were opposite. Paraffin seems to be less toxic than stearin.

Conclusion: Adulteration of wax foundation with even a small amount of stearin or paraffin has negative effects on the functioning of the bee.

Abstract Image

蜡基掺假如何影响作为免疫力选定参数的酚氧化酶和溶菌酶活性?
导言:由于多种原因,蜡基掺假不仅在欧洲,而且在全世界都是现代养蜂业中一个日益严重的问题。添加了硬脂的蜡基会导致蜂群死亡,而添加石蜡则会对蜂巢的强度产生负面影响。这种掺假的蜡基可能会降低蜜蜂的免疫力。这项研究的目的是测定从被硬脂或石蜡污染的蜡基蜂巢中出来的工蜂血淋巴中两种蜜蜂免疫酶--溶菌酶和酚氧化酶--的活性:将掺有硬脂或石蜡(两种掺合物的浓度分别为 10%、30% 或 50%)或纯蜡(掺合物含量为 0%)的蜂巢放置在蜂群中,每种掺合物和掺合比例各一个。工蜂从这些蜂箱中出来后进行标记,然后将这些工蜂按掺假剂和掺假率引入一个强群中。在 1、7 和 14 日龄工蜂的血液淋巴中测定酚氧化酶和溶菌酶活性:蜡基中硬脂和石蜡的浓度越高,酚氧化酶活性越低。这些活性随着蜂龄的增加而增加。相比之下,溶菌酶的变化趋势则相反。石蜡的毒性似乎低于硬脂:结论:在蜡基中掺入即使是少量的硬脂或石蜡也会对蜜蜂的功能产生负面影响。
本文章由计算机程序翻译,如有差异,请以英文原文为准。
求助全文
约1分钟内获得全文 求助全文
来源期刊
Journal of Veterinary Research
Journal of Veterinary Research Veterinary-General Veterinary
CiteScore
0.90
自引率
5.60%
发文量
58
审稿时长
18 weeks
期刊介绍: Journal of Veterinary Research (formerly Bulletin of the Veterinary Institute in Pulawy) is a quarterly that publishes original papers, review articles and short communications on bacteriology, virology, parasitology, immunology, molecular biology, pathology, toxicology, pharmacology, and biochemistry. The main emphasis is, however, on infectious diseases of animals, food safety and public health, and clinical sciences.
×
引用
GB/T 7714-2015
复制
MLA
复制
APA
复制
导出至
BibTeX EndNote RefMan NoteFirst NoteExpress
×
提示
您的信息不完整,为了账户安全,请先补充。
现在去补充
×
提示
您因"违规操作"
具体请查看互助需知
我知道了
×
提示
确定
请完成安全验证×
copy
已复制链接
快去分享给好友吧!
我知道了
右上角分享
点击右上角分享
0
联系我们:info@booksci.cn Book学术提供免费学术资源搜索服务,方便国内外学者检索中英文文献。致力于提供最便捷和优质的服务体验。 Copyright © 2023 布克学术 All rights reserved.
京ICP备2023020795号-1
ghs 京公网安备 11010802042870号
Book学术文献互助
Book学术文献互助群
群 号:604180095
Book学术官方微信